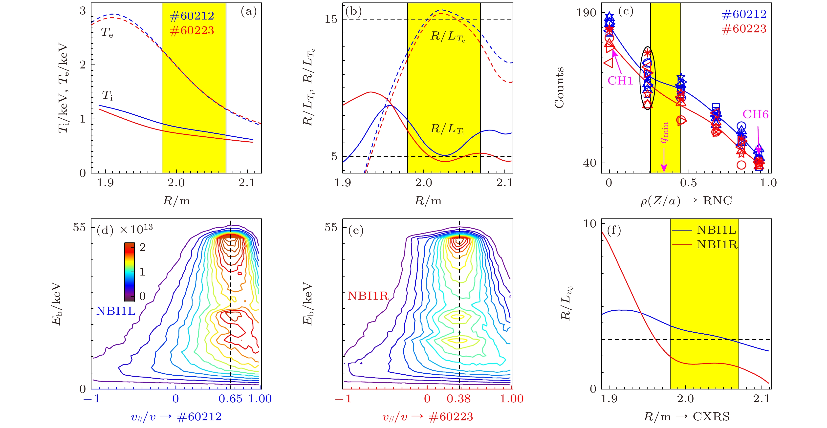
Establishment and sustainment of the structure of internal transport barriers (ITBs) is an important guarantee for the magnetic fusion plasma. The related physics processes for the establishing and sustaining of ITBs with
$q_{{\rm{min}}} \approx 2$
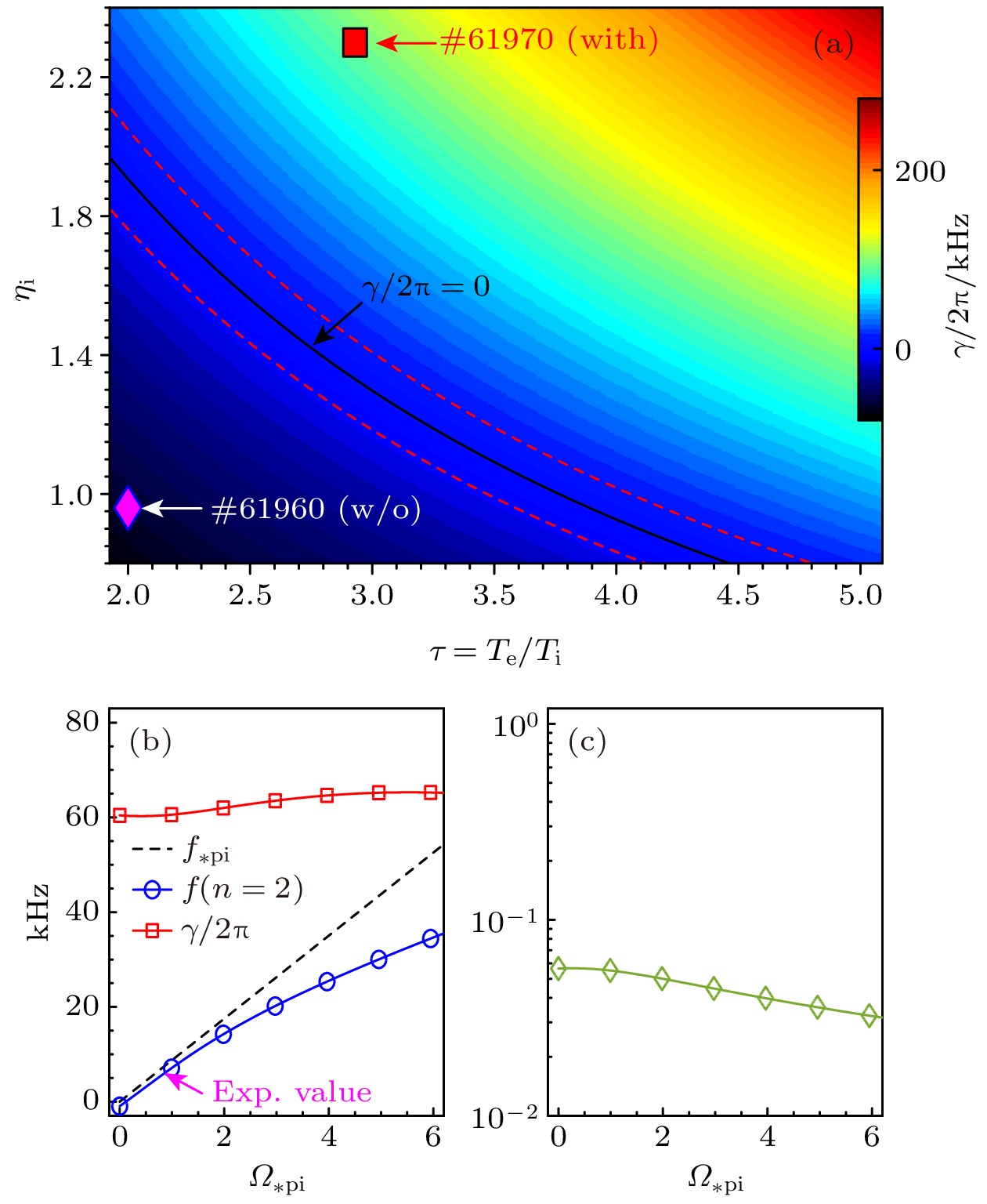
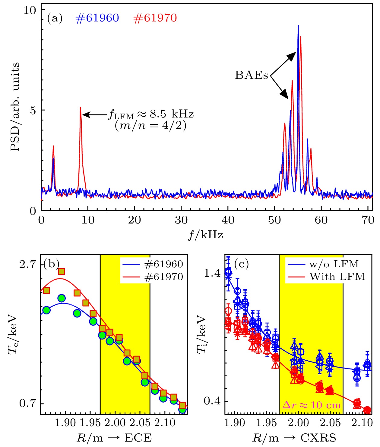
are simply summarized as follows: the “off-axis sawteeth” (OAS) mode instability and double tearing mode (DTM) instability, fast ions induced Alfvén eigenmode instability, thermal pressure gradient induced low-frequency modes (LFMs) instability, etc. Firstly, the burst of OAS is an important criterion for evaluating reversed
q-profile with
$q_{{\rm{min}}} \approx 2$
. The excitation conditions, classifications and the structures of precursor modes of OAS are given in detail, and the collapse event is triggered off by the magnetic reconnection of
m/
n= 2/1 DTM. Secondly, the beta-induced Alfvén eigenmode and reversed shear Alfvén eigenmode are easily excited by the fast ions during the oscillation of OAS. The toroidal mode numbers of the two kinds of Alfvén waves are
$1 \leqslant n \leqslant 5$
, respectively, which are located at
$1.98\ {\rm{m}} \leqslant R \leqslant 2.07\ {\rm{m}}$
with normalized minor radius
$0.2 \leqslant \rho \leqslant 0.45$
. The excitation conditions are investigated for the condition of
$q_{{\rm{min}}} \approx 2$
, and three different physical variables, i.e. thermal pressure gradient, fast ions distribution function, and the toroidal flow or flow shear are considered. Thirdly, the LFMs instabilities are excited by the pressure gradient during the oscillation of OAS. The general fishbone-like dispersion relationship (GFLDR) is adopted for solving the basic features of LFMs: 1) the frequency of LFMs scales with ion diamagnetic frequency; 2) the LFMs has the Alfvén polarization direction; 3) the LFMs are a reactive-type kinetic ballooning mode. The excitation of LFMs does not depend on the fast ions, which is taken place in a higher pressure gradient regime
$\alpha \propto (1 + \tau) $
$ (1 + \eta_{\rm{i}})$
,
$\tau = T_{\rm{e}}/T_{\rm{i}}$
,
$\eta_{\rm{i}} = L_{n_{\rm{i}}}/ L_{T_{\rm{i}}}$
. In the end, the suppression of OAS and establishment of ITBs are achieved. Three important processes appear under the condition of
$q_{{\rm{min}}} \approx 2$
in EAST: 1) the tangential injection (NBI1L) of NBI is easier for the suppression of OAS than the perpendicular injection (NBI1R); 2) the micro-instability can be suppressed during the oscillation of OAS, and the reversed shear
q-profile is more favorable in the establishment of the structure of ITBs; 3) the establishment of ITBs is accompanied by the excitation of Alfvén wave instability (bigger toroidal mode number:
$1 \leqslant n \leqslant 5$
), the sustainment of ITBs is accompanied by the thermal ion temperature gradient induced instability (median size:
$5 \leqslant n \leqslant 10$
). Therefore, for the establishment of ITBs, it is important to understand the establishment and suppression of OAS, the excitation of Alfvén wave instability and the redistributed fast ions, and the related instability of thermal pressure gradient.