| [1] |
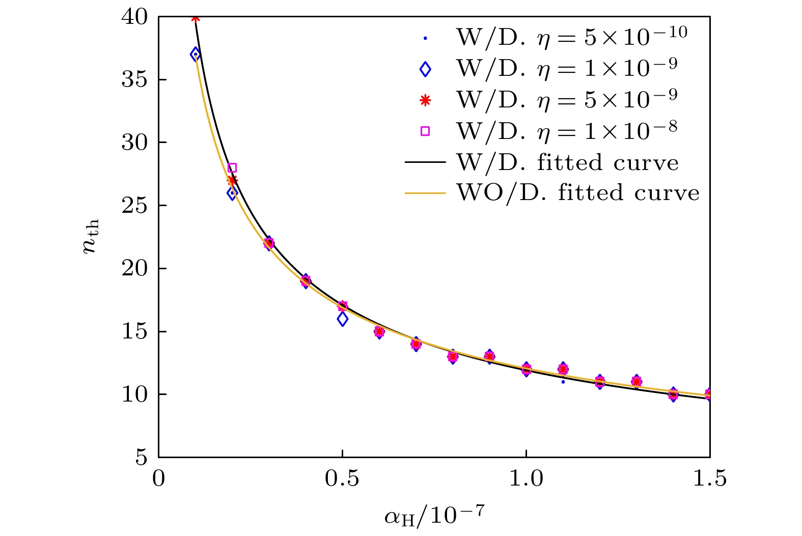
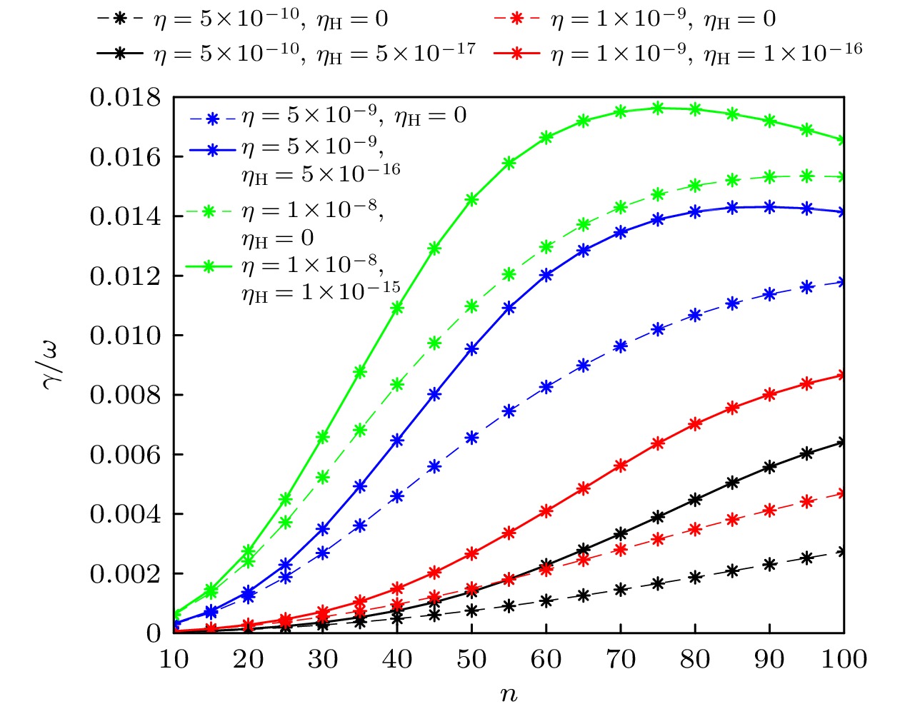
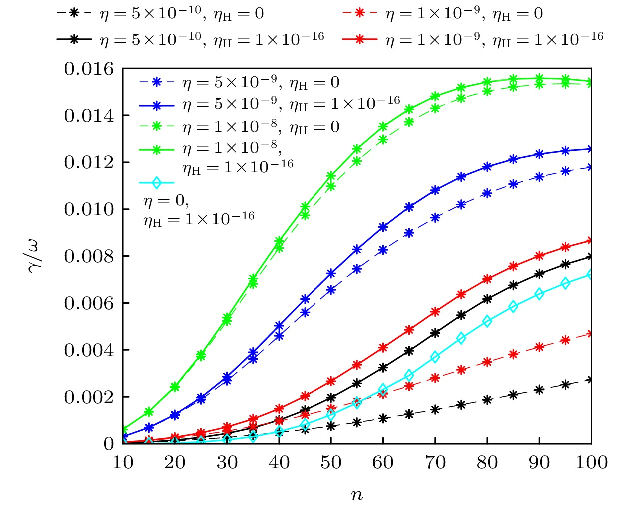
张启凡, 乐文成, 张羽昊, 葛忠昕, 邝志强, 萧声扬, 王璐.钨杂质辐射对托卡马克等离子体大破裂快速热猝灭阶段热能损失过程的影响. 必威体育下载 , 2024, 0(0): .doi:10.7498/aps.73.20240730 |
| [2] |
刘冠男, 李新霞, 刘洪波, 孙爱萍.HL-2M托卡马克装置中螺旋波与低杂波的协同电流驱动. 必威体育下载 , 2023, 72(24): 245202.doi:10.7498/aps.72.20231077 |
| [3] |
王福琼, 徐颖峰, 查学军, 钟方川.托卡马克边界等离子体中钨杂质输运的多流体及动力学模拟. 必威体育下载 , 2023, 72(21): 215213.doi:10.7498/aps.72.20230991 |
| [4] |
朱霄龙, 陈伟, 王丰, 王正汹.托卡马克中低频磁流体不稳定性协同作用引起快粒子输运的混合模拟研究. 必威体育下载 , 2023, 72(21): 215210.doi:10.7498/aps.72.20230620 |
| [5] |
沈勇, 董家齐, 何宏达, 潘卫, 郝广周.托卡马克理想导体壁与磁流体不稳定性. 必威体育下载 , 2023, 72(3): 035203.doi:10.7498/aps.72.20222043 |
| [6] |
刘朝阳, 章扬忠, 谢涛, 刘阿娣, 周楚.托卡马克无碰撞捕获电子模在时空表象中的群速度. 必威体育下载 , 2021, 70(11): 115203.doi:10.7498/aps.70.20202003 |
| [7] |
章扬忠, 谢涛.轴对称环状静电模的漂移波湍流参量激发理论研究. 必威体育下载 , 2014, 63(3): 035202.doi:10.7498/aps.63.035202 |
| [8] |
黄艳, 孙继忠, 桑超峰, 丁芳, 王德真.边界局域模对EAST钨偏滤器靶板腐蚀程度的数值模拟研究. 必威体育下载 , 2014, 63(3): 035204.doi:10.7498/aps.63.035204 |
| [9] |
张重阳, 刘阿娣, 李弘, 陈志鹏, 李斌, 杨州军, 周楚, 谢锦林, 兰涛, 刘万东, 庄革, 俞昌旋.双极化频率调制微波反射计在J-TEXT托卡马克上的应用. 必威体育下载 , 2014, 63(12): 125204.doi:10.7498/aps.63.125204 |
| [10] |
杜海龙, 桑超峰, 王亮, 孙继忠, 刘少承, 汪惠乾, 张凌, 郭后扬, 王德真.东方超环托卡马克高约束模式边界等离子体输运数值模拟研究. 必威体育下载 , 2013, 62(24): 245206.doi:10.7498/aps.62.245206 |
| [11] |
卢洪伟, 查学军, 胡立群, 林士耀, 周瑞杰, 罗家融, 钟方川.HT-7托卡马克slide-away放电充气对等离子体行为的影响. 必威体育下载 , 2012, 61(7): 075202.doi:10.7498/aps.61.075202 |
| [12] |
洪斌斌, 陈少永, 唐昌建, 张新军, 胡有俊.托卡马克中电子回旋波与低杂波协同驱动的物理研究. 必威体育下载 , 2012, 61(11): 115207.doi:10.7498/aps.61.115207 |
| [13] |
卢洪伟, 胡立群, 林士耀, 钟国强, 周瑞杰, 张继宗.HT-7托卡马克等离子体slide-away放电研究. 必威体育下载 , 2010, 59(8): 5596-5601.doi:10.7498/aps.59.5596 |
| [14] |
徐强, 高翔, 单家方, 胡立群, 赵君煜.HT-7托卡马克大功率低混杂波电流驱动的实验研究. 必威体育下载 , 2009, 58(12): 8448-8453.doi:10.7498/aps.58.8448 |
| [15] |
龚学余, 彭晓炜, 谢安平, 刘文艳.托卡马克等离子体不同运行模式下的电子回旋波电流驱动. 必威体育下载 , 2006, 55(3): 1307-1314.doi:10.7498/aps.55.1307 |
| [16] |
徐 伟, 万宝年, 谢纪康.HT-6M托卡马克装置杂质输运. 必威体育下载 , 2003, 52(8): 1970-1978.doi:10.7498/aps.52.1970 |
| [17] |
王文浩, 俞昌旋, 许宇鸿, 闻一之, 凌必利, 宋梅, 万宝年.HT-7超导托卡马克边界等离子体参量及其涨落的实验研究. 必威体育下载 , 2001, 50(8): 1521-1527.doi:10.7498/aps.50.1521 |
| [18] |
张先梅, 万宝年, 阮怀林, 吴振伟.HT-7托卡马克等离子体欧姆放电时电子热扩散系数的研究. 必威体育下载 , 2001, 50(4): 715-720.doi:10.7498/aps.50.715 |
| [19] |
王文浩, 许宇鸿, 俞昌旋, 闻一之, 凌必利, 宋梅, 万宝年.HT-7超导托卡马克边缘涨落谱特征及湍流输运研究. 必威体育下载 , 2001, 50(10): 1956-1963.doi:10.7498/aps.50.1956 |
| [20] |
石秉仁.托卡马克低混杂波电流驱动实验中低混杂波传播的解析分析. 必威体育下载 , 2000, 49(12): 2394-2398.doi:10.7498/aps.49.2394 |