The fiber optic surface plasmon resonance (SPR) technologies can directly detect the change of the refractive index on the surface of the sensor, caused by the interaction of biochemical molecules. Fiber optic SPR technologies have advantages of small size, low cost, no labeling, high sensitivity, and are easy to realize the miniaturization, multi-parameter, real-time and
in-situdetection. Two types of probe-type fiber optic SPR refractometers are constructed based on the novel two-dimensional nanomaterial, i.e., violet phosphorus (VP), the mature fabrication and characterization technologies. The fabrication processes of the fiber optic SPR refractometers are first introduced, and then the feasibility of the fabrication processes is verified via multiple characterization methods. In terms of the signal demodulation, the noise of the resonance spectrum is suppressed by the variational mode decomposition algorithm, and the resonance wavelength is interrogated and monitored in real time by the centroid method. The refractive index sensing performances of the near-field enhanced fiber optic SPR refractometers coated with different layers of VP are investigated. With the increase of the VP layer number, the resonance spectrum exhibits redshift and broadening and the sensitivity is enhanced. The refractive index sensing performance of the nearly guided wave fiber optic SPR refractometer is also investigated. In the low refractive index range of 1.33-1.34 corresponding to the refractive index of the low-concentration biological solution, the sensitivity and the figure of merit of the near-field enhanced fiber optic SPR refractometer with the sensing structure of fiber core/VP dielectric layer/Au layer/sample layer reach to 2335.64 nm/RIU and 24.15 RIU
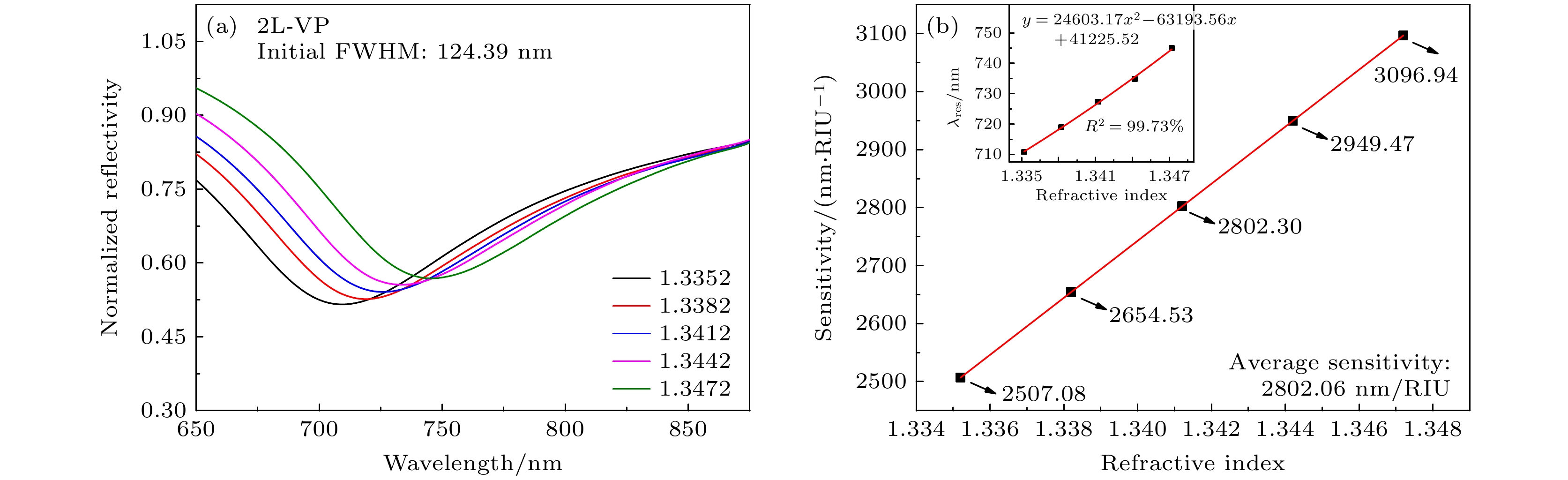
–1, respectively, which are 1.31 times and 1.25 times higher than the counterparts of the single Au layer fiber optic SPR refractometer, respectively. The sensitivity and the figure of merit of the nearly guided wave fiber optic SPR refractometer with the sensing structure of fiber core/Au layer/VP dielectric layer/sample layer can reach to 2802.06 nm/RIU and 22.53 RIU
–1, respectively, which are 1.57 times and 1.16 times higher than the counterparts of the single Au layer fiber optic SPR refractometer. Finally, the near-field enhanced SPR and the nearly guided wave SPR are integrated into a single fiber probe to achieve the double-lane sensing. The fiber optic SPR refractometers developed in this study can realize the high-sensitivity, plug-and-play and double-lane detection of the combination of surface refractive index and volume refractive index. The probe-type refractometer also provides a new idea for detecting multi-type protein molecules and heavy metal ions in the biochemical field.