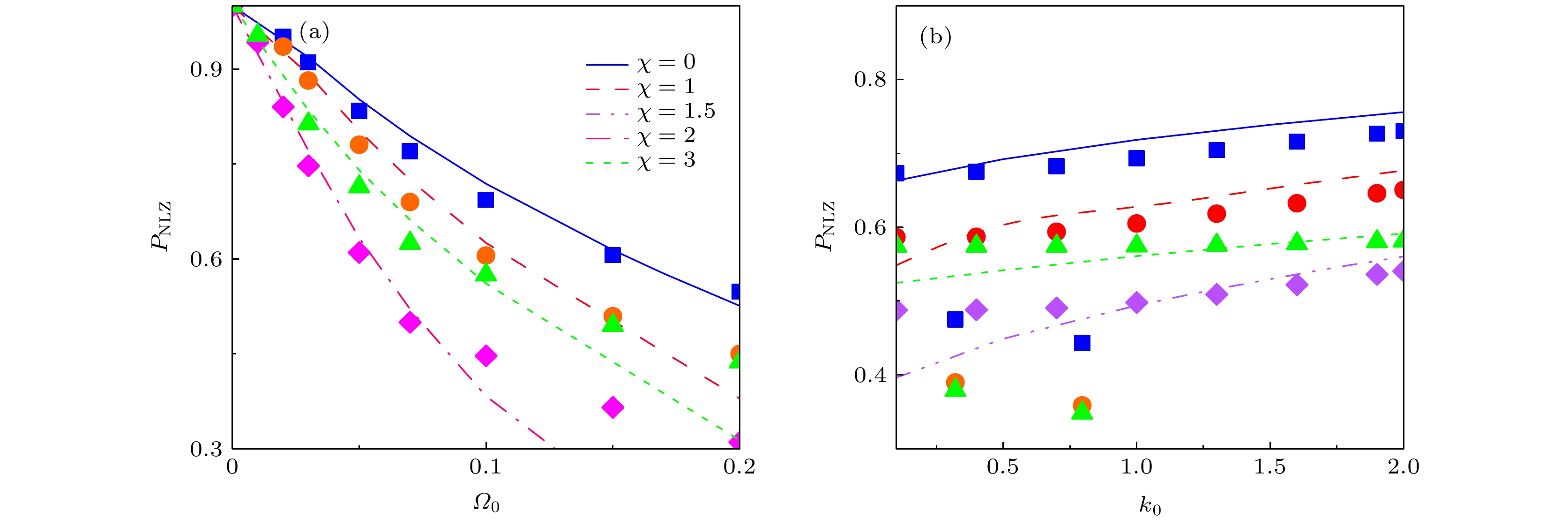
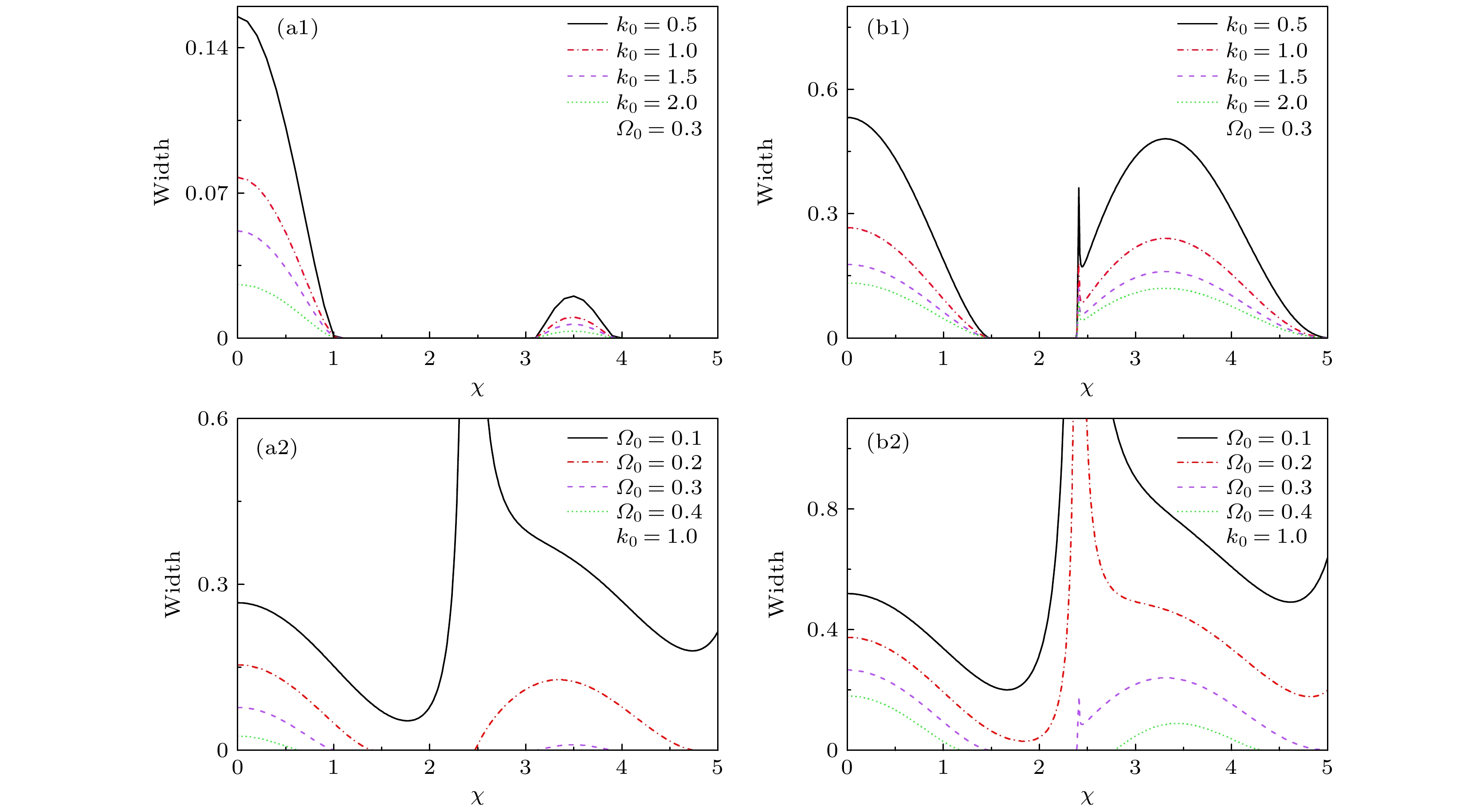
We theoretically study the band structure, tunneling dynamics, and tunneling probability of tunable spin-orbit-coupled Bose-Einstein condensates under the periodic driving of Raman coupling. The time-independent Floquet Hamiltonian is obtained in the high-frequency approximation. It is found that the periodic driving can effectively tune spin-orbit coupling and nonlinear interaction. The system is mapped to a standard nonlinear two-level model, and the critical condition for the appearance of the loop in energy band structure and the width of the loop are obtained analytically. When the interspecies atomic interaction is equal to the intraspecies atomic interaction, there is no loop. However, when the intraspecies atomic interaction is smaller (larger) than the interspecies atomic interaction, the loop appears in the lower (upper) energy band. In this case, both spin-orbit coupling and Raman coupling will suppress the appearance of loop. In particular, the critical condition for the appearance of loop structure can be controlled by adjusting external driving. We also study the tunneling dynamics of Bose-Einstein condensate with tunable spin-orbit coupling. More importantly, by tuning the periodic driving, the tunneling dynamics of the system and the location of nonlinear Landau-Zener tunneling can be controlled. We also find that the spin components of the system can be reversed. Finally, the Landau-Zener tunneling probability of the system is calculated. The research shows that the periodic driving can effectively change the tunneling probability of the system.