-
近年来, 人工智能的发展对计算和存储的需求不断提升. 但是, 摩尔定律的放缓以及传统冯·诺依曼架构中计算与存储单元的分离, 导致了大量数据在搬运过程中功耗增加和时间延迟, 致使集成电路以及芯片设计面临越来越多的挑战. 这迫切需要开发新型计算范式来应对这种挑战. 而基于存算一体架构的神经形态器件, 可利用欧姆定律和基尔霍夫定律实现原位计算, 从而有望克服传统冯·诺依曼架构瓶颈. 通过调节具有“记忆”功能的忆阻器阻值, 实现类似生物大脑的人工神经网络, 并对复杂网络信号进行处理, 例如图像识别、模式分类和决策执行等. 二维材料由于其层状超薄特性和新奇的物理效应, 为进一步缩小器件尺寸并实现感存算一体提供了方案. 本文综述了基于二维材料的神经形态器件中的物理效应和忆阻特性, 并详细阐述了神经形态器件对LIF (leaky integrate and fire)模型、Hodgkin-Huxley模型等神经元模型以及长期可塑性、短期可塑性、放电时间依赖可塑性和尖峰频率依赖可塑性的模拟. 在此基础上, 进一步介绍了基于二维材料的神经形态器件在视觉、听觉以及触觉等领域的探索性应用. 最后本文总结了当前研究领域面临的问题以及对未来应用前景的展望.In recent years, the development of artificial intelligence has increased the demand for computing and storage. However, the slowing down of Moore’s law and the separation between computing and storage units in traditional von Neumann architectures result in the increase of power consumption and time delays in the transport of abundant data, raising more and more challenges for integrated circuit and chip design. It is urgent for us to develop new computing paradigms to meet this challenge. The neuromorphic devices based on the in-memory computing architecture can overcome the traditional von Neumann architecture by Ohm’s law and Kirchhoff’s current law. By adjusting the resistance value of the memristor, the artificial neural network which can mimic the biological brain will be realized, and complex signal processing such as image recognition, pattern classification and decision determining can be carried out. In order to further reduce the size of device and realize the integration of sensing, memory and computing, two-dimensional materials can provide a potential solution due to their ultrathin thickness and rich physical effects. In this paper, we review the physical effects and memristive properties of neuromorphic devices based on two-dimensional materials, and describe the synaptic plasticity of neuromorphic devices based on leaky integrate and fire model and Hodgkin-Huxley model in detail, including long-term synaptic plasticity, short-term synaptic plasticity, spiking-time-dependent plasticity and spiking-rate-dependent plasticity. Moreover, the potential applications of two-dimensional materials based neuromorphic devices in the fields of vision, audition and tactile are introduced. Finally, we summarize the current issues on two-dimensional materials based neuromorphic computing and give the prospects for their future applications.
[1] [2] [3] [4] [5] [6] [7] [8] [9] [10] [11] [12] [13] [14] [15] [16] [17] [18] [19] [20] [21] [22] [23] [24] [25] [26] [27] [28] [29] [30] [31] [32] [33] [34] [35] [36] [37] [38] [39] [40] [41] [42] [43] [44] [45] [46] [47] [48] [49] [50] [51] [52] [53] [54] [55] [56] [57] [58] [59] [60] [61] [62] [63] [64] [65] [66] [67] [68] [69] [70] [71] [72] [73] [74] [75] [76] [77] [78] [79] [80] [81] [82] [83] [84] [85] [86] [87] [88] [89] [90] [91] [92] [93] [94] [95] [96] [97] [98] [99] [100] [101] [102] [103] [104] [105] [106] [107] [108] [109] [110] [111] [112] [113] [114] [115] [116] [117] [118] [119] [120] [121] [122] [123] [124] [125] [126] [127] [128] [129] [130] [131] [132] [133] [134] [135] [136] [137] [138] [139] [140] [141] [142] [143] [144] [145] [146] [147] [148] [149] [150] [151] [152] [153] [154] [155] [156] [157] [158] [159] [160] [161] [162] [163] [164] [165] [166] [167] [168] [169] [170] [171] [172] [173] [174] [175] [176] [177] [178] [179] [180] [181] [182] [183] [184] [185] [186] [187] [188] [189] [190] [191] [192] [193] [194] [195] [196] [197] [198] [199] [200] [201] [202] [203] [204] [205] [206] [207] [208] [209] [210] [211] [212] [213] [214] [215] [216] [217] -
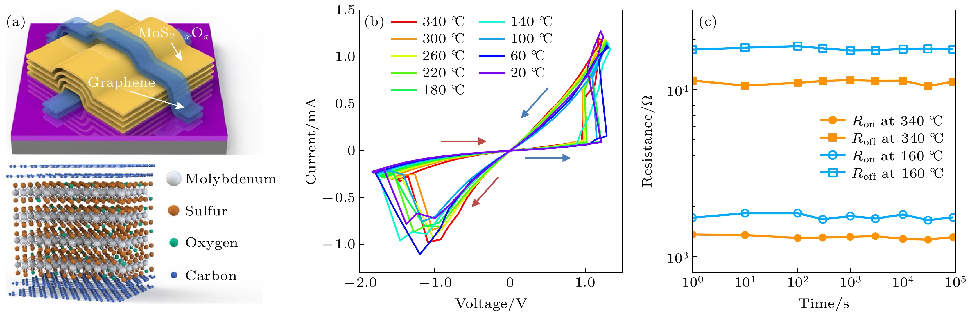
材料 突触可塑性 耐久性
(循环)保持性 功耗/能耗 刺激方式 文献 2D材料 MoS2 LTP, LTD, PPF, SRDP 100 >11 h 4.5 fJ 电 [166] h-BN/WSe2 LTP, LTD, STDP — — 66 fJ 光电 [167] SnSe LTP, LTD, PPF, STDP 230 >104s 66 fJ 电 [44] MoTe2 LTP, LTD, PPF, STDP 570 >104s — 电 [53] 氧化物材料 TiO2 LTP, LTD, PPF, STDP — — 26 pJ 电 [168] ZTO LTP, LTD, STDP — 104s — 电 [169] IGZO LTP, LTD — — 160 pJ 光电 [170] In2O3 LTP, LTD, PPF, SRDP 20 — — 电 [171] 有机材料 C8-BTBT LTP, LTD 105 >3500 s <5 fJ 电 [177] PMMA LTP, LTD, PPF, SRDP, STDP — >103s 10-8W 电 [178] PVA PPF, LTP, LTD, LTM — 600 s — 光 [179] P(VDF-TrFE)
/P(VP-EDMAEMAES)LTP, LTD, PPF — — 75 pJ 电 [180] 钙钛矿材料 BaTiO3 STDP 105 108s 600 pJ 电 [182] PdZr0.52Ti0.48O3 SRTP, LSTP — — 2.5 pJ 电 [183] BiFeO3 STDP — — 200 nW 电 [184] (CH3NH3)3Sb2Br9 LTP, LTD, STDP 300 104s 117.9 fJ 电 [185] -
[1] [2] [3] [4] [5] [6] [7] [8] [9] [10] [11] [12] [13] [14] [15] [16] [17] [18] [19] [20] [21] [22] [23] [24] [25] [26] [27] [28] [29] [30] [31] [32] [33] [34] [35] [36] [37] [38] [39] [40] [41] [42] [43] [44] [45] [46] [47] [48] [49] [50] [51] [52] [53] [54] [55] [56] [57] [58] [59] [60] [61] [62] [63] [64] [65] [66] [67] [68] [69] [70] [71] [72] [73] [74] [75] [76] [77] [78] [79] [80] [81] [82] [83] [84] [85] [86] [87] [88] [89] [90] [91] [92] [93] [94] [95] [96] [97] [98] [99] [100] [101] [102] [103] [104] [105] [106] [107] [108] [109] [110] [111] [112] [113] [114] [115] [116] [117] [118] [119] [120] [121] [122] [123] [124] [125] [126] [127] [128] [129] [130] [131] [132] [133] [134] [135] [136] [137] [138] [139] [140] [141] [142] [143] [144] [145] [146] [147] [148] [149] [150] [151] [152] [153] [154] [155] [156] [157] [158] [159] [160] [161] [162] [163] [164] [165] [166] [167] [168] [169] [170] [171] [172] [173] [174] [175] [176] [177] [178] [179] [180] [181] [182] [183] [184] [185] [186] [187] [188] [189] [190] [191] [192] [193] [194] [195] [196] [197] [198] [199] [200] [201] [202] [203] [204] [205] [206] [207] [208] [209] [210] [211] [212] [213] [214] [215] [216] [217]
计量
- 文章访问数:12187
- PDF下载量:689
- 被引次数:0












下载:















