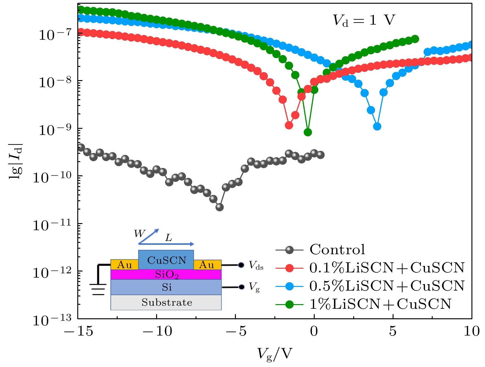
Perovskite solar cells have attracted extensive attention because of their photoelectric characteristics. Since 2009, the photoelectric conversion rate of the solar cells has soared from 3.8% to 25.7%. Perovskite material has become a focus of extensive academic research due to its advantages of high carrier mobility, low exciton binding energy, wide absorption spectrum and high optical absorption coefficient. However, organic P-type semiconductor material is usually used as a hole transport layer in high efficiency perovskite solar cells, for example, Spiro-OMeTAD, PEDOT:PSS, and PTAA. Because Spiro-OMeTAD is difficult to purify, many hole transport materials containing triphenylamine like Spiro-OMeTAD have been synthesized, such as triphenylamine polymer PTAA. As the conjugate parts of these triphenylamine transport materials are not coplanar and the space is distorted, they cannot form ordered stacks by spin-coating method, so their charge properties are weak, and li-TFSI and tBP are often added to improve the hole transport, so as to achieve better device effects. Moreover, the PTAA has the problem of infiltration, and it is difficult to form a completely covered perovskite film on it, which seriously affects the quality and surface morphology of perovskite film. The PEDOT:PSS itself has an acidic and corrosive electrode, and is easy to absorb moisture, which will affect the stability of the solar cell. The performance of organic material will deteriorate seriously under environmental factors such as humidity, temperature and UV irradiation, which will accelerate the aging of perovskite solar cells and become one of the main obstacles to their practical applications. In this work, the inorganic cuprous thiocyanate (CuSCN) is used as a hole transport material, the CuSCN is a rich and stable P-type semiconductor material, which has the characteristics of abundance, low cost, high carrier mobility, appropriate energy level, low defect density, good thermal stability, and excellent light transmittance. The CuSCN is one of the few known compounds with both high optical transparency (its wide band gap is 3.7–3.9 eV) and significant P-type electrical conductivity. Most importantly, CuSCN is inexpensive and can be prepared by solution method at room temperature. And its hole transport properties are improved by lithium doping. On this basis, the surface of CuSCN is modified with PTAA to avoid the interaction between CuSCN and lead iodide (PbI
2), and the large-grained and dense perovskite films are prepared. Finally, the performance of perovskite solar cells is effectively improved. This work provides a reference for the preparation of the stable and efficient perovskite solar cells.