Hydrogen maser uses the transition frequency of hydrogen atom at hyperfine energy level of ground state to realize precise timing. It has excellent frequency stability, especially in medium- and short-term, and low frequency drift. It has been used as high-precision frequency standard in engineering fields such as time keeping, navigation, and very long baseline interferometry. Clock transition of hydrogen maser is the transition between states of
$|F = 1, m_{\rm F} = 0\rangle $
and
$|F = 0, m_{\rm F} = 0\rangle $
. State selection is realized by state selection magnet, through which high energy atoms are converged and low energy atoms are dispersed. In conventional magnet state-selecting system, both atoms of
$|F = 1, m_{\rm F} = 0\rangle $
states, which are required for the maser transition, and useless atoms of
$|F = 1, m_{\rm F} = 1\rangle $
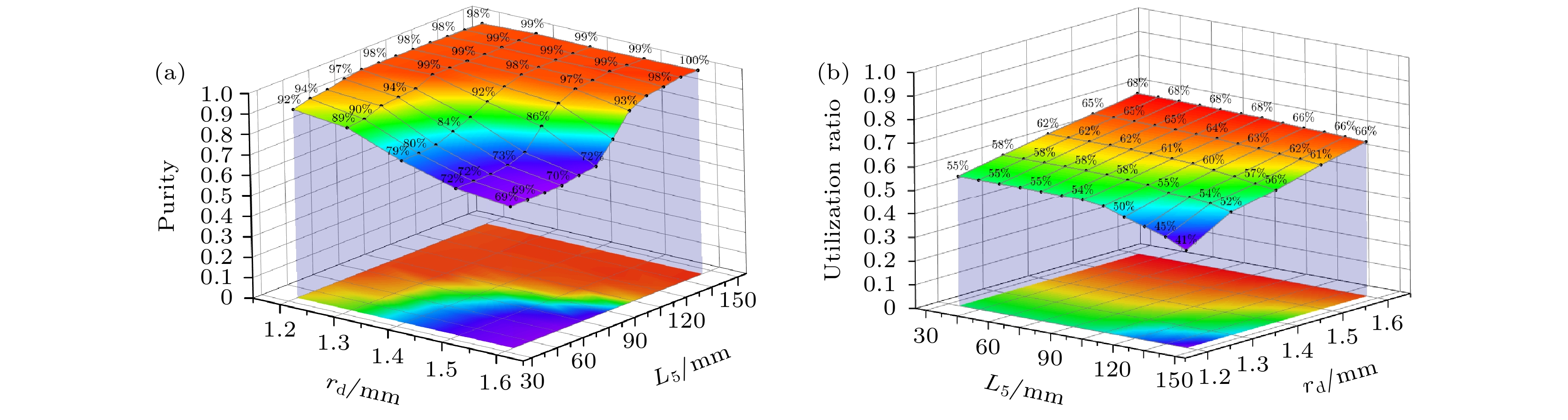
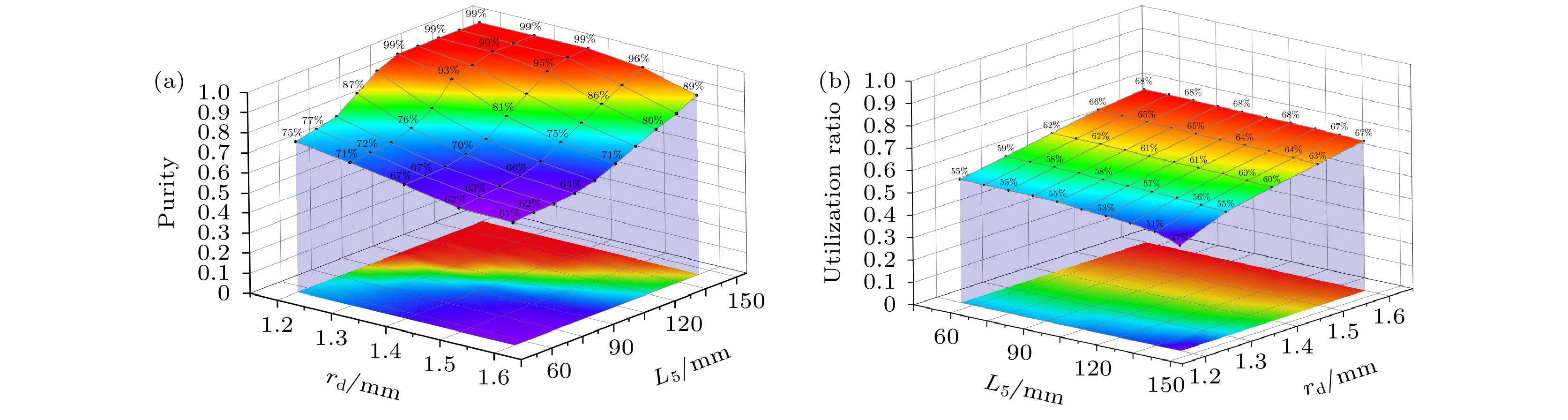
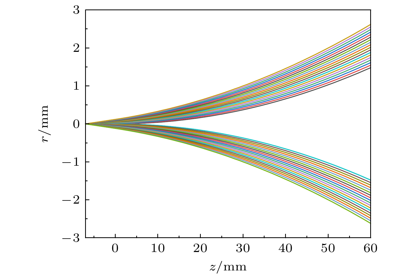
states are focused into storage bulb, which places restrictions on the medium- and long-term frequency stability performance of hydrogen maser. In order to further improve the quality of atomic transition spectral lines and the performance of hydrogen maser, double state-selection beam optical system which is based on the Majorana transition mode is constructed through calculations and simulations. In this work, we use Majorana method to invert atomic states. The magnetic field required for Majorana transition is established by using two coils with reverse current. The two coils are separated by 71 mm, and the coil axes are aligned with the direction of atomic beam. The other two pairs of transverse Helmholtz coils are separated by 22 mm in the center of the state reversal to adjust the zero point of magnetic field, which should coincide with the atomic beam to ensure a complete reversal of atomic polarity. The state reversal region is surrounded by four magnetic shields to reduce the influence of stray magnetic fields. Relationship between selected-state magnetic field gradient and distance of magnetic poles is analyzed by simulation, and trajectories of the atoms with high and low energy under different selected-state magnetic fields are calculated. The utilization and purity of high energy state atoms entering into bulb atoms are obtained. The purity of the selected
$|F = 1, m_{\rm F} = 0\rangle $
state atoms reaches 99% and the utilization rate is 58%. This is ideal for engineering applications. It effectively enhances the proportion of
$|F = 1, m_{\rm F} = 0\rangle $
state atoms entering into the atomic storage bulb and ensures the utilization of atoms. We verify the state-selection beam optical system experimentally. By turning on double state-selection system the maser signal can be enhanced. By adjusting the coil current of the double state-selection system, the maser signal varies with coil current, which verifies the effectiveness of double state-selection system.