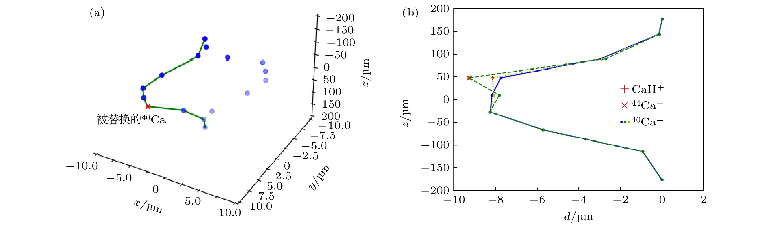
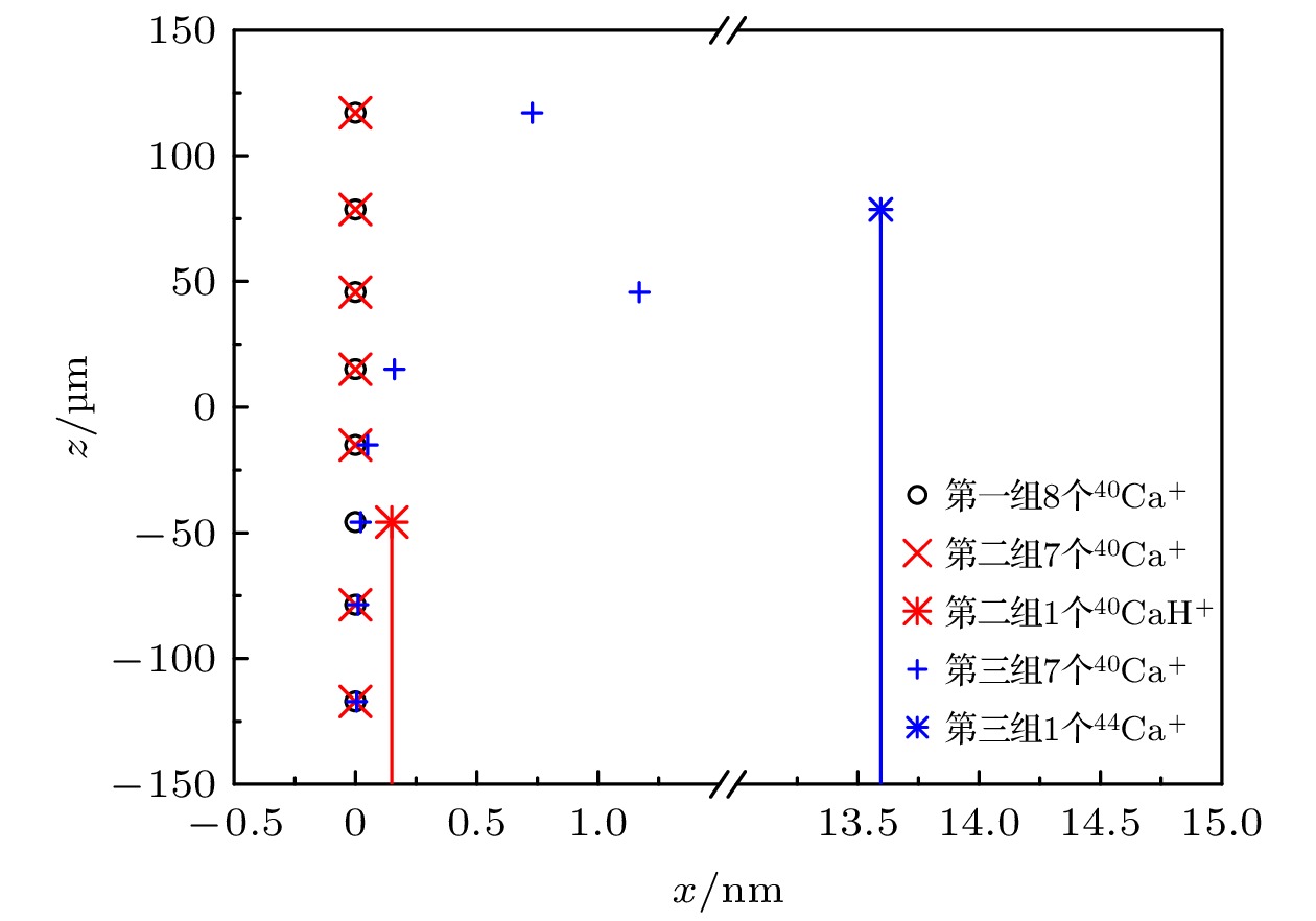
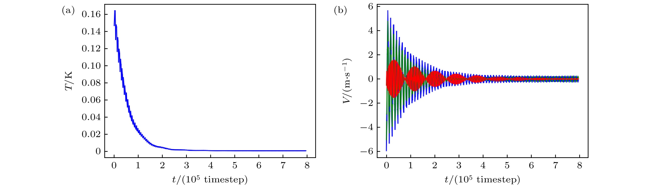
| [1] |
邢人芳, 陈明, 李芮羽, 李淑倩, 张瑞, 胡笑钏.冷大气压等离子体诱导的交变电场对白细胞介素-6结构及功能的影响. 必威体育下载 , 2024, 73(18): 188703.doi:10.7498/aps.73.20240927 |
| [2] |
袁用开, 陈茜, 高廷红, 梁永超, 谢泉, 田泽安, 郑权, 陆飞.GaAs晶体在不同应变下生长过程的分子动力学模拟. 必威体育下载 , 2023, 72(13): 136801.doi:10.7498/aps.72.20221860 |
| [3] |
安敏荣, 李思澜, 宿梦嘉, 邓琼, 宋海洋.尺寸依赖的CoCrFeNiMn晶体/非晶双相高熵合金塑性变形机制的分子动力学模拟. 必威体育下载 , 2022, 71(24): 243101.doi:10.7498/aps.71.20221368 |
| [4] |
杨亚帆, 王建州, 商翔宇, 王涛, 孙树瑜.高温下钙蒙脱石膨胀特性的分子动力学模拟. 必威体育下载 , 2022, 71(4): 043102.doi:10.7498/aps.71.20211565 |
| [5] |
辛勇, 包宏伟, 孙志鹏, 张吉斌, 刘仕超, 郭子萱, 王浩煜, 马飞, 李垣明.U1–xThxO2混合燃料力学性能的分子动力学模拟. 必威体育下载 , 2021, 70(12): 122801.doi:10.7498/aps.70.20202239 |
| [6] |
李兴欣, 李四平.退火温度调控多层折叠石墨烯力学性能的分子动力学模拟. 必威体育下载 , 2020, 69(19): 196102.doi:10.7498/aps.69.20200836 |
| [7] |
耿俊娴, 李少强, 王诗琪, 黄春, 吕云杰, 胡睿, 屈军乐, 刘丽炜.近红外光刺激神经细胞钙离子光激活. 必威体育下载 , 2020, 69(15): 158701.doi:10.7498/aps.69.20200489 |
| [8] |
管桦, 黄垚, 李承斌, 高克林.高准确度的钙离子光频标. 必威体育下载 , 2018, 67(16): 164202.doi:10.7498/aps.67.20180876 |
| [9] |
王启东, 彭增辉, 刘永刚, 姚丽双, 任淦, 宣丽.基于混合液晶分子动力学模拟比较液晶分子旋转黏度大小. 必威体育下载 , 2015, 64(12): 126102.doi:10.7498/aps.64.126102 |
| [10] |
覃业宏, 唐超, 张春小, 孟利军, 钟建新.硅晶体表面石墨烯褶皱形貌的分子动力学模拟研究. 必威体育下载 , 2015, 64(1): 016804.doi:10.7498/aps.64.016804 |
| [11] |
张崇龙, 孔伟, 杨芳, 刘松芬, 胡北来.修正屏蔽库仑势下二维尘埃等离子体的动力学和结构特性. 必威体育下载 , 2013, 62(9): 095201.doi:10.7498/aps.62.095201 |
| [12] |
汪俊, 张宝玲, 周宇璐, 侯氢.金属钨中氦行为的分子动力学模拟. 必威体育下载 , 2011, 60(10): 106601.doi:10.7498/aps.60.106601 |
| [13] |
权伟龙, 李红轩, 吉利, 赵飞, 杜雯, 周惠娣, 陈建敏.类金刚石薄膜力学特性的分子动力学模拟. 必威体育下载 , 2010, 59(8): 5687-5691.doi:10.7498/aps.59.5687 |
| [14] |
陈育祥, 谢国锋, 马颖, 周益春.BaTiO3晶体结构及弹性的分子动力学模拟. 必威体育下载 , 2009, 58(6): 4085-4089.doi:10.7498/aps.58.4085 |
| [15] |
开花, 李运超, 郭德成, 李双, 李之杰.斜入射离子束辅助沉积对类金刚石薄膜结构影响的分子动力学模拟. 必威体育下载 , 2009, 58(7): 4888-4894.doi:10.7498/aps.58.4888 |
| [16] |
谢 芳, 朱亚波, 张兆慧, 张 林.碳纳米管振荡的分子动力学模拟. 必威体育下载 , 2008, 57(9): 5833-5837.doi:10.7498/aps.57.5833 |
| [17] |
李 瑞, 胡元中, 王 慧, 张宇军.单壁碳纳米管在石墨基底上运动的分子动力学模拟. 必威体育下载 , 2006, 55(10): 5455-5459.doi:10.7498/aps.55.5455 |
| [18] |
王昶清, 贾 瑜, 马丙现, 王松有, 秦 臻, 王 飞, 武乐可, 李新建.不同温度下Si(001)表面各种亚稳态结构的分子动力学模拟. 必威体育下载 , 2005, 54(9): 4313-4318.doi:10.7498/aps.54.4313 |
| [19] |
李 欣, 胡元中, 王 慧.磁盘润滑膜全氟聚醚的分子动力学模拟研究. 必威体育下载 , 2005, 54(8): 3787-3792.doi:10.7498/aps.54.3787 |
| [20] |
李之杰, 潘正瑛, 朱 靖, 魏 启, 王月霞, 臧亮坤, 周 亮, 刘提将.离子束辅助沉积对类金刚石膜结构影响的计算机模拟. 必威体育下载 , 2005, 54(5): 2233-2238.doi:10.7498/aps.54.2233 |