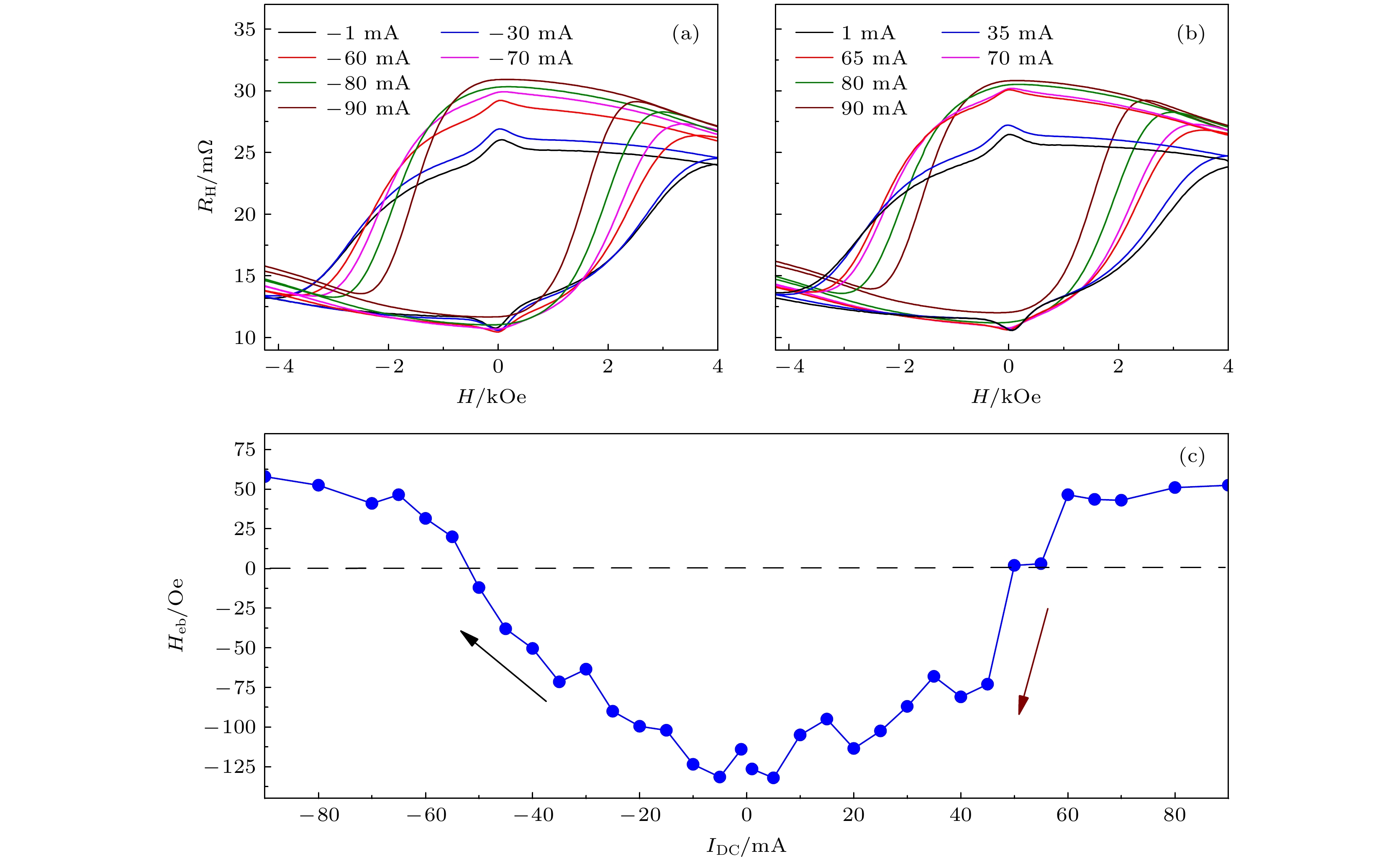
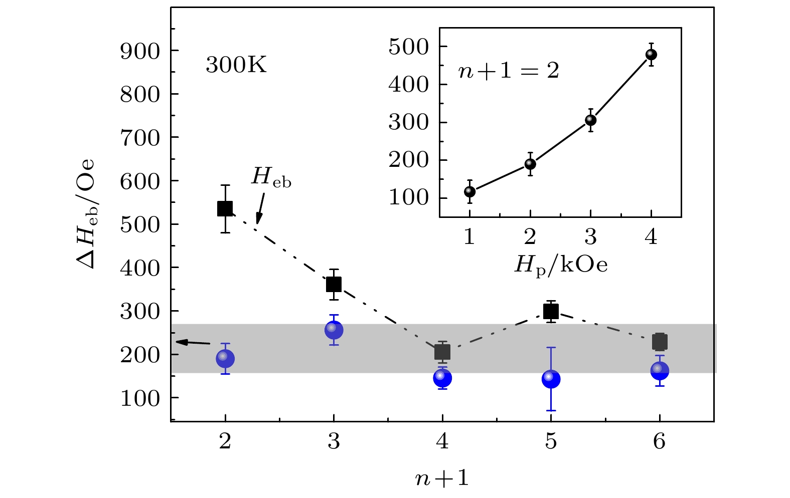
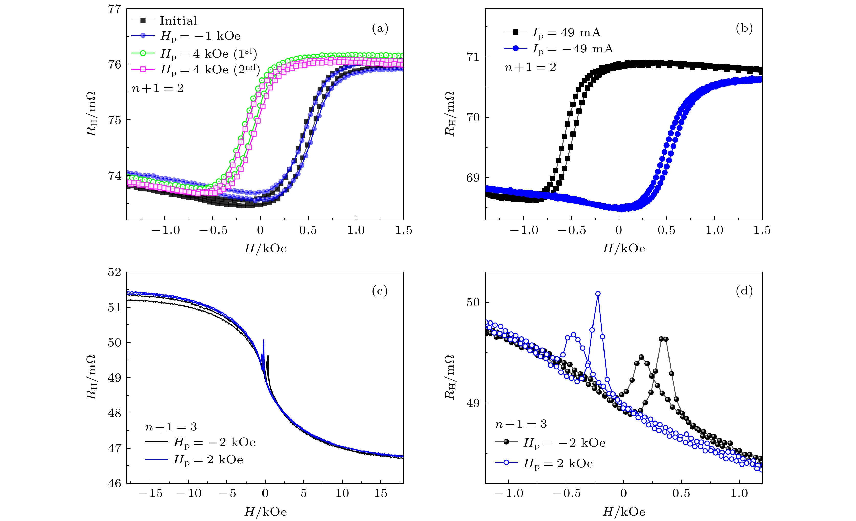
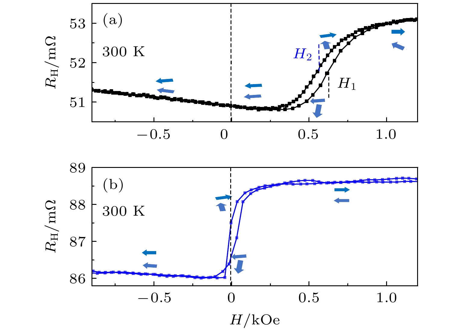
| [1] |
何宇, 陈伟斌, 洪宾, 黄文涛, 张昆, 陈磊, 冯学强, 李博, 刘菓, 孙笑寒, 赵萌, 张悦.热效应在电流驱动反铁磁/铁磁交换偏置场翻转中的显著作用. 必威体育下载 , 2024, 73(2): 027501.doi:10.7498/aps.73.20231374 |
| [2] |
丰家峰, 陈星, 魏红祥, 陈鹏, 兰贵彬, 刘要稳, 郭经红, 黄辉, 韩秀峰.自由层磁性交换偏置效应调控隧穿磁电阻磁传感单元性能. 必威体育下载 , 2023, 72(19): 197103.doi:10.7498/aps.72.20231003 |
| [3] |
张雅婧, 王铭浩, 雷照康, 申文洁, 马嫣嫱, 莫润阳.多层膜结构载磁微泡声散射特性. 必威体育下载 , 2022, 71(18): 184302.doi:10.7498/aps.71.20220847 |
| [4] |
韩秀峰, 张雨, 丰家峰, 陈川, 邓辉, 黄辉, 郭经红, 梁云, 司文荣, 江安烽, 魏红祥.基于MgO磁性隧道结的五种隧穿磁电阻线性传感单元性能比较. 必威体育下载 , 2022, 71(23): 238502.doi:10.7498/aps.71.20221278 |
| [5] |
Algethami Obaidallah A, 李歌天, 柳祝红, 马星桥.Heusler合金Mn50–xCrxNi42Sn8的相变、磁性与交换偏置效应. 必威体育下载 , 2020, 69(5): 058102.doi:10.7498/aps.69.20191551 |
| [6] |
曹亚庆, 黄火林, 孙仲豪, 李飞雨, 白洪亮, 张卉, 孙楠, Yung C.Liang.基于宽禁带GaN基异质结结构的垂直型高温霍尔传感器. 必威体育下载 , 2019, 68(15): 158502.doi:10.7498/aps.68.20190413 |
| [7] |
赵博硕, 强晓永, 秦岳, 胡明.氧化钨纳米线气敏传感器的制备及其室温NO2敏感特性. 必威体育下载 , 2018, 67(5): 058101.doi:10.7498/aps.67.20172236 |
| [8] |
杨易, 徐贲, 刘亚铭, 李萍, 王东宁, 赵春柳.基于游标效应的增敏型光纤法布里-珀罗干涉仪温度传感器. 必威体育下载 , 2017, 66(9): 094205.doi:10.7498/aps.66.094205 |
| [9] |
王帆, 李豫东, 郭旗, 汪波, 张兴尧, 文林, 何承发.基于4晶体管像素结构的互补金属氧化物半导体图像传感器总剂量辐射效应研究. 必威体育下载 , 2016, 65(2): 024212.doi:10.7498/aps.65.024212 |
| [10] |
罗毅, 赵国平, 杨海涛, 宋宁宁, 任肖, 丁浩峰, 成昭华.单一晶相氧化锰纳米颗粒的交换偏置效应. 必威体育下载 , 2013, 62(17): 176102.doi:10.7498/aps.62.176102 |
| [11] |
竺云, 韩娜.引入纳米氧化层的CoFe/Pd双层膜结构中增强的垂直磁各向异性研究. 必威体育下载 , 2012, 61(16): 167505.doi:10.7498/aps.61.167505 |
| [12] |
孔延梅, 高超群, 景玉鹏, 陈大鹏.基于光子晶体分光的气敏传感器研究. 必威体育下载 , 2011, 60(5): 054215.doi:10.7498/aps.60.054215 |
| [13] |
吕庆荣, 方庆清, 刘艳美.纳米结构CoxFe3-xO4多孔微球的磁性及交换偏置效应研究. 必威体育下载 , 2011, 60(4): 047501.doi:10.7498/aps.60.047501 |
| [14] |
白宇浩, 云国宏, 那日苏.外应力对铁磁/反铁磁体系交换偏置的影响及阶跃现象. 必威体育下载 , 2009, 58(7): 4962-4969.doi:10.7498/aps.58.4962 |
| [15] |
潘靖, 周岚, 胡经国.交换偏置系统中的反铁磁磁化与自旋波. 必威体育下载 , 2009, 58(9): 6487-6493.doi:10.7498/aps.58.6487 |
| [16] |
田宏玉, 胡经国, 许小勇.铁磁/反铁磁双层膜中冷却场对交换偏置场的影响. 必威体育下载 , 2009, 58(4): 2757-2761.doi:10.7498/aps.58.2757 |
| [17] |
马 梅, 蔡 蕾, 王兴福, 胡经国.掺杂下铁磁/反铁磁双层膜中交换偏置的增强. 必威体育下载 , 2007, 56(1): 529-534.doi:10.7498/aps.56.529 |
| [18] |
许小勇, 潘 靖, 胡经国.交换偏置双层膜中的反铁磁自旋结构及其交换各向异性. 必威体育下载 , 2007, 56(9): 5476-5482.doi:10.7498/aps.56.5476 |
| [19] |
潘 靖, 陶永春, 胡经国.外应力场下铁磁/反铁磁双层膜系统中的交换偏置. 必威体育下载 , 2006, 55(6): 3032-3037.doi:10.7498/aps.55.3032 |
| [20] |
翟中海, 滕 蛟, 李宝河, 王立锦, 于广华, 朱逢吾.具有垂直各向异性(Pt/Co)n/FeMn多层膜的交换偏置. 必威体育下载 , 2006, 55(4): 2064-2068.doi:10.7498/aps.55.2064 |