-
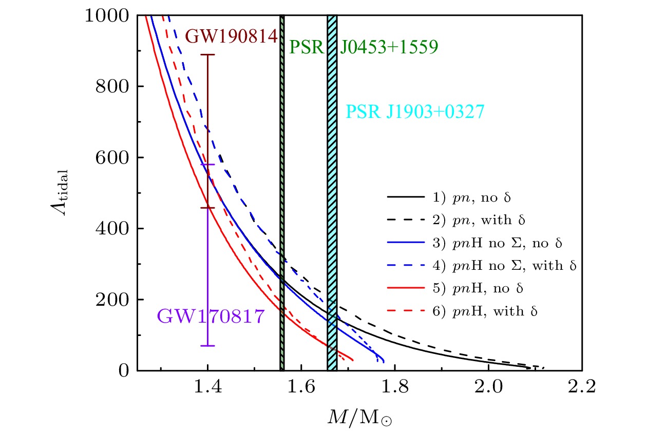
开展中子星宏观性质的研究, 对于揭示中子星内部组成和结构具有重要意义. 本文基于相对论平均场理论模型, 研究了 δ 介子对传统中子星和超子星物态方程、最大质量、勒夫数和潮汐形变能力的影响. 结果表明, 对于中小质量传统中子星(或超子星), δ介子使其潮汐形变能力变强; 随着传统中子星(或超子星)质量的增加, δ介子对其潮汐形变能力影响逐渐减弱; 尤其对于大质量超子星, 含有δ介子的超子星潮汐形变能力相比不含δ介子的超子星变弱. 此外, 在相同质量下超子的存在会降低星体的潮汐形变能力, 在本文所选的参数下, 含有δ介子的星体中, 仅同时含Λ, Σ和Ξ超子的超子星潮汐形变能力能同时满足GW170817和GW190814天文观测约束. 随着与中子星相关的引力波数据逐渐增加, 将为人们判断超子星内超子种类提供一个可能的途径.The research on the macroscopic properties of neutron stars is of great significance in revealing the internal composition and structure of neutron star. In this work, We analyze the influence of δmesons on the equation of states, the maximum mass, the tidal Love numbers and the tidal deformabilities for the conventional neutron stars and the hyperon stars within the relativistic mean field theory. It is found that the presence of δmesons can strengthen the tidal deformabilities of the low and medium-mass conventional neutron stars (or hyperon stars). However, the strengthening trends of the tidal deformabilities with δmesons gradually weaken with the increase of the mass of the conventional neutron stars (or hyperon stars). Especially for massive hyperon stars, the tidal deformabilities of the superstars with δmesons is weaker than the corresponding values without δmesons. Moreover, the presence of hyperons can reduce the tidal deformabilities of stars with the same mass. For the stars containing δmesons, only the tidal deformabilities in the hyperon stars with Λ, Σand Ξhyperons can satisfy the constraints of GW170817 and GW190814 events under the parameters selected in the paper. As the data about gravitational waves associated with the neutron stars gradually increase, there will be a possible way of judging the hyperon species in the hyperon stars.
-
Keywords:
- neutron star/
- δmeson/
- tidal deformabilities
[1] [2] [3] [4] [5] [6] [7] [8] [9] [10] [11] [12] [13] [14] [15] [16] [17] [18] [19] [20] [21] [22] [23] [24] [25] [26] [27] [28] [29] [30] [31] [32] [33] [34] [35] [36] [37] [38] [39] [40] [41] [42] [43] [44] [45] [46] [47] [48] [49] [50] [51] [52] -
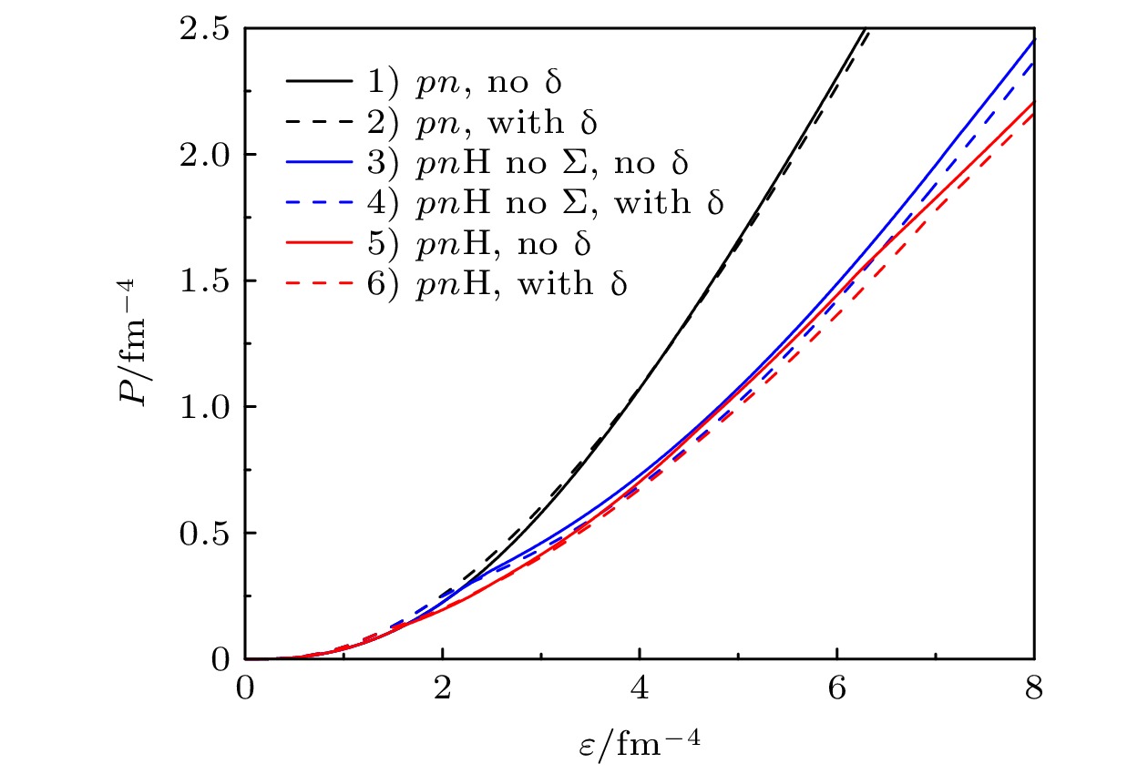
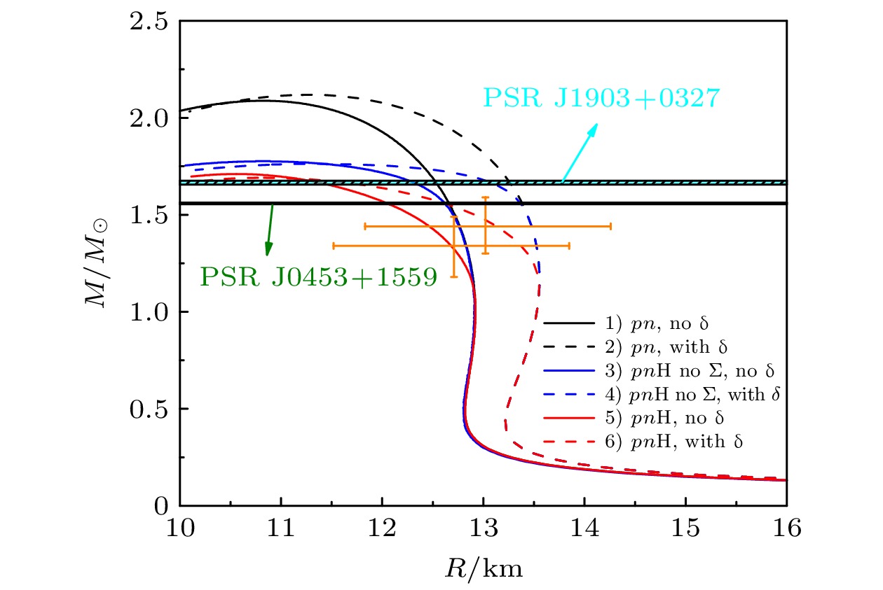
参数 $ {f}_{\sigma } $ $ {f}_{\omega } $ $ {f}_{\rho } $ $ {f}_{\delta } $ $ {g}_{2}/{\rm{f}\rm{m}}^{-1} $ $ {g}_{3} $ 不包含$ \rm{\delta } $介子 10.33 5.42 0.95 0.00 $ 0.033{g}_{\sigma }^{3} $ $ -0.0048{g}_{\sigma }^{4} $ 包含$ \rm{\delta } $介子 10.33 5.42 3.15 2.50 $ 0.033{g}_{\sigma }^{3} $ $ -0.0048{g}_{\sigma }^{4} $ 参数 $ {\rho }_{0}/{\rm{f}\rm{m}}^{-3} $ $ {E}_{\rm{s}\rm{y}\rm{m}}/\rm{M}\rm{e}\rm{V} $ $ L/\rm{M}\rm{e}\rm{V} $ $ {K}_{\rm{v}}/\rm{M}\rm{e}\rm{V} $ 不包含$ \rm{\delta } $介子 0.16 31.3 84 240 包含$ \rm{\delta } $介子 0.16 31.3 103 240 中子星最大质量处 中子星最大半径处 $ M/{\rm{M}}_{\odot } $ $ R/\rm{k}\rm{m} $ $ {k}_{2} $ Λtidal $ M/{\rm{M}}_{\odot } $ $ R/\rm{k}\rm{m} $ $ {k}_{2} $ Λtidal 1) 2.088 10.89 0.021 8 0.995 12.973 0.124 4405 2) 2.119 11.31 0.019 8 1.138 13.570 0.105 2417 3) 1.776 10.89 0.032 28 0.995 12.973 0.124 4405 4) 1.763 11.40 0.031 36 1.138 13.570 0.105 2417 5) 1.709 10.71 0.033 31 0.995 12.937 0.124 4405 6) 1.691 10.91 0.028 31 1.109 13.566 0.107 2791 R/km $ {K}_{2} $ $\varLambda$
($ 1.4{\rm{M}}_{\odot } $中子星)1) 12.80 0.090 545 2) 13.51 0.085 682 3) 12.81 0.090 548 4) 13.51 0.085 682 5) 12.58 0.084 468 6) 13.25 0.079 568 PSR J1903+0327
($ {1.666}_{-0.01}^{+0.01}{\rm{M}}_{\odot } $)1) [12.53, 12.56] [0.066, 0.067] [146, 162] 2) [13.26, 13.29] [0.061, 0.064] [180, 205] 3) [12.28, 12.37] [0.060, 0.063] [120, 140] 4) [13.04, 13.13] [0.058, 0.061] [158, 184] 5) [11.29, 11.48] [0.042, 0.046] [055, 070] 6) [11.49, 11.80] [0.034, 0.039] [050, 070] PSR J0453+1559
($ {1.559}_{-0.004}^{+0.004}{\rm{M}}_{\odot } $)1) [12.67, 12.68] [0.076, 0.077] [255, 265] 2) [13.39, 13.40] [0.072, 0.073] [313, 329] 3) [12.63, 12.64] [0.075, 0.075] [251, 256] 4) [13.37, 12.38] [0.071, 0.073] [309, 328] 5) [12.04, 12.08] [0.061, 0.062] [159, 169] 6) [12.61, 12.65] [0.055, 0.057] [179, 194] -
[1] [2] [3] [4] [5] [6] [7] [8] [9] [10] [11] [12] [13] [14] [15] [16] [17] [18] [19] [20] [21] [22] [23] [24] [25] [26] [27] [28] [29] [30] [31] [32] [33] [34] [35] [36] [37] [38] [39] [40] [41] [42] [43] [44] [45] [46] [47] [48] [49] [50] [51] [52]
计量
- 文章访问数:3352
- PDF下载量:74
- 被引次数:0












下载:


