搜索

x

留言板

姓名
邮箱
手机号码
标题
留言内容
验证码

downloadPDF
引用本文:
Citation:

徐诗琳, 胡岳芳, 袁丹文, 陈巍, 张薇

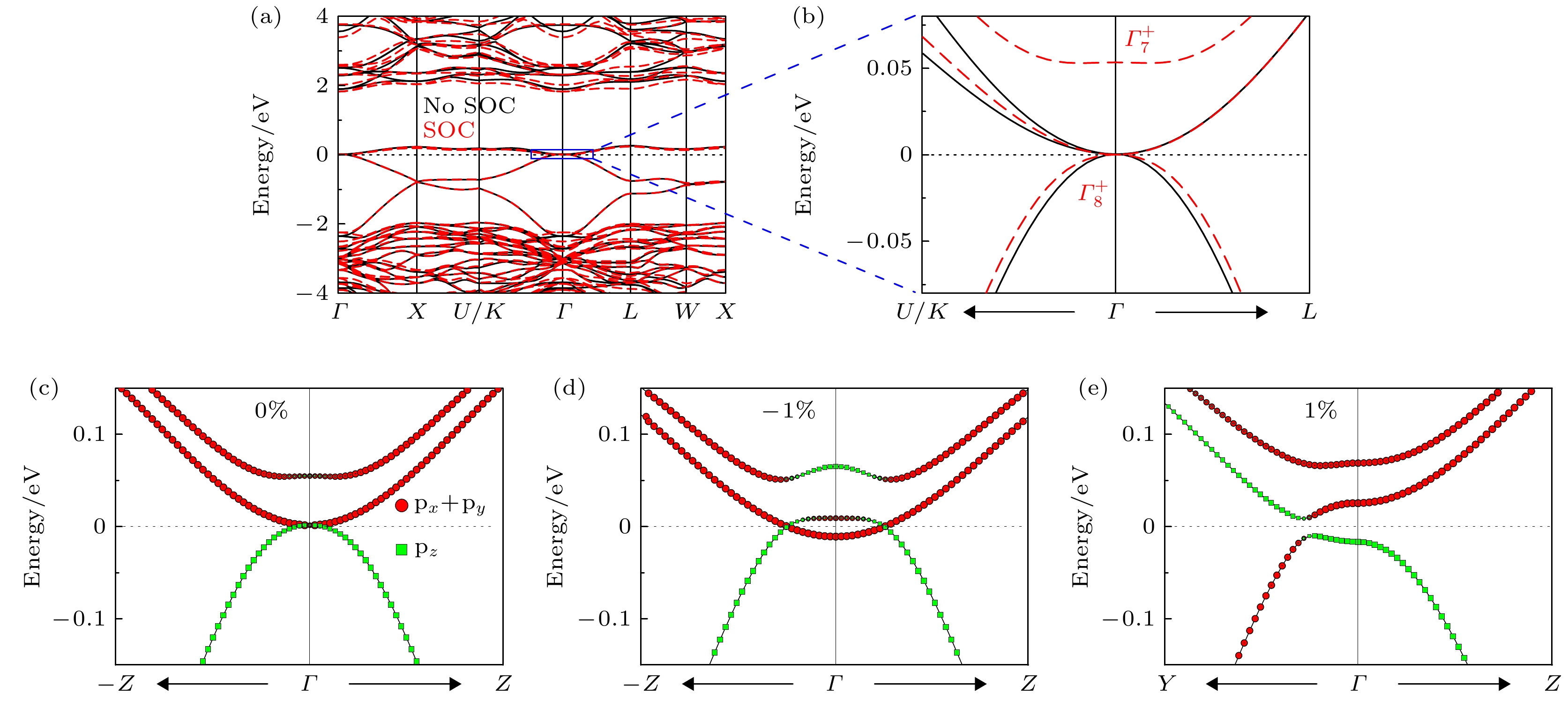
Topological phase transitions in Tl2Ta2O7under strain regulation

Xu Shi-Lin, Hu Yue-Fang, Yuan Dan-Wen, Chen Wei, Zhang Wei
PDF
HTML
导出引用
计量
  • 文章访问数:3069
  • PDF下载量:80
  • 被引次数:0
出版历程
  • 收稿日期:2023-01-09
  • 修回日期:2023-03-31
  • 上网日期:2023-04-24
  • 刊出日期:2023-06-20

    返回文章
    返回