综述
2023, 72 (12): 120201.
doi:10.7498/aps.72.20222267
摘要 +
量子开放系统在量子科学的发展中占据着举足轻重的地位, 因此对其数值计算方法进行研究具有重要的意义. 对于量子开放系统, 在20世纪90年代发明的准绝热传播子路径积分方法是为数不多的精确的数值计算方法, 但其计算复杂度随着系统的大小和关联时间长度呈指数增长, 因此在实际计算中它所能计算的物理模型比较受限. 近年来, 张量网络的研究和应用有了长足的进展. 使用张量网络来表达该方法可以使其计算复杂度变成多项式增长, 极大地提高了计算效率. 由此发展出的新方法则被称为时间演化矩阵乘积算符方法, 是一种高效的、数值精确的、并且非马尔可夫的计算方法, 在量子开放系统的研究中有着广泛的应用前景. 本文首先综述了准绝热传播子路径积分方法, 接着介绍了矩阵乘积态的基本思路, 然后利用矩阵乘积态来表述准绝热传播子路径积分方法, 从而对时间演化矩阵乘积算符方法进行介绍; 最后综述了该方法在量子开放系统中的应用, 并以自旋-玻色子系统中的关联函数和热流计算为例对该方法进行了展示.
编辑推荐
2023, 72 (12): 120302.
doi:10.7498/aps.72.20222166
摘要 +
稀土离子掺杂晶体具有稳定的固态物性和出色的能级跃迁相干特性, 在量子信息应用研究, 尤其是发展量子存储设备方面独具潜力. 除了宏观的块状稀土离子单晶, 微纳尺度稀土离子晶体在高度集成的杂化量子系统和微型化量子设备方面也具有广泛的应用前景, 且其制备难度较低, 在体积、形状和组分调控上更具灵活性. 因此, 开发高性能的微纳尺度稀土离子晶体系统, 并对其量子态进行精密探测与操控, 已成为量子信息领域的重要研究方向之一. 本文结合稀土离子晶体的高分辨和相干光谱学表征技术, 综述了近年来微纳尺度稀土离子晶体在材料制备加工、量子相干性能测量、物理机理探索以及量子器件开发等方面的研究进展, 对其在量子存储、量子频率转换、量子单光子源以及量子逻辑门等方面取得的最新研究进展进行了总结. 最后, 对微纳尺度稀土晶体材料及其信息器件研究过程中可能的改进方向和策略进行了讨论.
总论
编辑推荐
2023, 72 (12): 120301.
doi:10.7498/aps.72.20230242
摘要 +
近年来, 图像信息的传输安全性已经成为互联网领域的重要研究方向. 本文提出了一种基于量子长短期记忆(quantum long-short term memory, QLSTM)网络的量子图像混沌加密方案. 结果发现, 因为QLSTM网络具有复杂的结构和较多的参数, 应用QLSTM网络对Lorenz混沌序列进行改进, 其最大Lyapunov指数比原序列提高2.5465%, 比经典长短期记忆(long-short term memory, LSTM)网络改进的序列提高0.2844%, 同时在0—1测试中结果更接近1且更稳定, 因此QLSTM网络改进的序列具备更优异的混沌性能, 更难以被预测, 提高了单一混沌系统加密的安全性. 运用NCQI (novel quantum representation of color digital images) 量子图像表示模型, 将原始图像存储为量子态形式, 利用QLSTM网络改进的序列分别控制三级径向扩散、量子广义Arnold变换和量子W变换, 改变量子图像的灰度值与像素位置, 生成最终的加密图像. 本文提出的加密方案在统计学特性测试中, 实现了RGB三通道平均信息熵均大于7.999, 像素数改变率的平均值达99.6047%, 统一平均变化强度的平均值为33.4613%, 平均相关性为0.0038等, 比其他一些传统方法具有更高的安全性, 能够抵抗常见的攻击方式.
2023, 72 (12): 120303.
doi:10.7498/aps.72.20230179
摘要 +
实际量子密钥分发中参数的优化选择能大幅提升系统密钥生成率和最大传输距离, 由于全局搜索算法的成本过大, 本地搜索算法被广泛地应用. 然而该算法存在两个问题, 一是所得解不一定为全局最优解, 二是算法的有效性极大地受制于初始值的选择. 利用蒙特卡罗方法对密钥生成率函数是否为凸函数进行了证明, 并仿真分析了密钥生成率函数在不同参数维度上的特性, 提出了粒子群本地搜索算法并与本地搜索算法进行仿真比较. 结果表明, 密钥生成率函数为非凸函数, 但合理设置初始值, 本地搜索算法仍能求得全局最优解; 在传输距离较远时, 本地搜索算法因难以通过随机取值的方法得到有效的初始值而失效, 粒子群本地搜索算法能克服这一缺点, 以轻微增加算法复杂度为代价, 提升了系统的最大传输距离.
2023, 72 (12): 120701.
doi:10.7498/aps.72.20230301
摘要 +
X射线聚焦镜是一种对粒子污染物颗粒极其敏感的设备, 通常依靠控制地面各流程的污染物积累来限制其影响. 本文根据粒子污染物的特点, 结合Mie散射理论构建了聚焦镜片上的粒子污染颗粒物与入射X射线光子的相互作用模型. 在此基础上, 结合蒙特卡罗法进行光线追迹工作, 构建出爱因斯坦探针后随X射线聚焦镜的粒子污染仿真程序. 通过仿真计算得到入射X射线光子与粒子污染物相互作用时的反应截面与散射角分布函数. 这两个量与粒子污染物的尺度相关联, 本文将聚焦镜片样本上粒子污染颗粒尺度分布的测量结果进行拟合, 得到粒子污染尺度分布. 根据上述结果进行仿真计算, 得到粒子污染物密度与聚焦镜的有效面积和角分辨的关系, 并使用防污染监测数据和爱因斯坦探针后随X射线聚焦镜性能测试数据验证了仿真结果的可靠性. 对爱因斯坦探针后随X射线聚焦镜粒子污染的仿真实现了对粒子污染物影响的定量分析, 明确了粒子污染物对聚焦镜各方面性能的具体影响, 为防污染工作提供了理论支持.
核物理学
2023, 72 (12): 122901.
doi:10.7498/aps.72.20222271
摘要 +
环形正负电子对撞机(circular electron-positron collider, CEPC)通过dE/dx的测量进行长寿命带电粒子的鉴别, 要求对
$\mathrm{d}{E} / \mathrm{d}{x}$
的测量达到约3%的精度. 但
$\mathrm{d}{E} / \mathrm{d}{x}$
的测量对带电粒子
$\pi / \rm{K}$
,
$\pi / \rm{P}$
和
$\rm{K} / \mathrm{P}$
各有一个分辨盲区, 对应的横动量分别为1 GeV/c, 1.6 GeV/c和2 GeV/c. 一种解决方案是采用高精度飞行时间(time of flight, TOF)探测器填补分辨盲区, 探测器系统的时间分辨要求小于50 ps. 针对这一要求本文提出一种小颗粒飞行时间探测器, 具体方案为采用小块塑料闪烁体(
$1 \;\; \mathrm{cm} \times 1 \;\; \mathrm{cm} \times 0.3 \;\; \mathrm{cm}$
)侧面耦合硅光电倍增管读出. 介绍了该探测器的构建以及利用
${ }^{90} \mathrm{Sr} $
电子准直源和高速波形采集电子学对该探测器的性能标定. 结果显示, 采用恒比定时法, 该探测器的时间分辨约为48 ps, 可以满足CEPC对飞行时间探测器的要求.
2023, 72 (12): 122902.
doi:10.7498/aps.72.20230213
摘要 +
鉴于国内核物理实验对高性能硅探测器有大量需求, 而国外对中国进行技术封锁, 满足实验需求的高性能探测器不易获得. 中国科学院近代物理研究所在原有制备工艺基础上首次采用套刻技术, 有效减少了光刻及腐蚀过程造成的SiO2沾污, 大幅提高了探测器性能和成品率. 本文对采用该工艺研制的300 μm厚, 有效面积50 mm×50 mm硅探测器进行电学性能测试和在束探测性能测试. 探测器在–45 V耗尽电压下, 其漏电流小于40 nA, 对5 MeV左右的α粒子的能量分辨(σ)约为45 keV. 将该探测器作为能量沉积(ΔE)探测器, 利用250 MeV/u的11C放射性束流及其在次级碳靶上的反应产物对探测器进行了探测性能测试. 测试结果显示, 该探测器对于C元素的电荷数Z的分辨为0.17, 与文献中记录的国外生产的同类型探测器的实验数据(Z分辨0.19)相当, 可以满足中高能放射性束实验对轻质量区粒子鉴别的要求.
原子和分子物理学
2023, 72 (12): 123101.
doi:10.7498/aps.72.20230004
摘要 +
InSe作为一种典型的二维层状半导体材料, 具有优异的电学性能以及适中可调的带隙, 在光电器件中表现出诱人的应用前景. 然而有研究表明, 单硒空位(Vse)体系的InSe易受O2分子影响, 造成InSe材料降解, 严重影响其在电子器件领域的应用. 本文基于InSe降解机理, 提出了碲(Te)替位掺杂的方法, 用于提升该材料的环境稳定性. 利用密度泛函理论对不同体系电子结构、吸附能、能量反应路径等进行分析, 发现Te掺杂不仅显著改善缺陷引起的InSe降解问题, 同时可消除Vse产生的缺陷态, 起到缺陷补偿作用. 具体研究结果如下: 1) O2分子在Te掺杂InSe表面(InSe-Te)的解离能垒高达2.67 eV, 说明其具有较强的抗氧化能力; 2) O2分子在InSe-Te表面保持3.87 Å的距离, 吸附能仅有–0.03 eV, 表明O2分子物理吸附在其单层表面; 3) Te掺杂不仅提升材料抗氧化能力, 同时还消除了Vse产生的缺陷态. 该研究结果将有助于进一步提升InSe二维材料器件的环境稳定性, 推动InSe二维器件研究和发展.
2023, 72 (12): 123102.
doi:10.7498/aps.72.20230361
摘要 +
石墨烯纳米网(GNM)是一种具有周期性纳米孔分布的单层石墨烯, 在热电能量转换、热能存储、场效应晶体管等领域具有广阔的应用前景. 本文采用非平衡分子动力学与晶格动力学的方法对GNM的热输运机理进行研究. 结果表明: GNM的导热系数随纳米孔数量的增加而减小, 部分原因归因于声子布拉格散射引起的带隙产生和声子群速度的降低; 横向和纵向纳米孔的间距共同影响GNM热输运过程, 当水平间距较小时, GNM的导热系数随纵向间距的增大单调减小, 随横向间距的增大单调增大; 随着水平间距的增大, 在声子干涉和散射的共同作用下, 导热系数产生明显的波动. 这些结论可为GNM中的热输运调控提供理论参考.
电磁学、光学、声学、传热学、经典力学和流体动力学
2023, 72 (12): 123301.
doi:10.7498/aps.72.20230371
摘要 +
在波长慢速均匀扫描和波长快速周期调制的情况下, 基于激光吸收光谱的实验数据, 提出了利用激光调制频率和激光扫描范围两个参数以及透射波信号和参考波信号反演谱线吸收函数的矩阵切片方法. 当波长调制为单频正弦调制时, 利用透射波信号和参考波信号的相除结果得到的矩阵, 通过两个相距半个调制周期的切片积分的最小值即可得到准确的谱线吸收函数轮廓, 并能反演出调制幅度的大小. 当波长的快速调制扭曲为非单频的多频叠加调制时, 可以利用多个切片的互补形成谱线吸收函数. 上述方法可以用于在扫描波长范围内包含由多条吸收谱线且有重叠的真实吸收函数反演过程. 而且, 可以利用扫描波长范围内多条谱线的间隔参数来标定激光波长的扫描范围. 采用上述的矩阵切片法, 通过实验验证, 得到了低吸收状况下CO在4300.700 cm–1吸收谱线的吸收函数和较强吸收状况下CO2在6336 cm–1附近2条吸收谱线的吸收函数信息.
2023, 72 (12): 124201.
doi:10.7498/aps.72.20230304
摘要 +
系统研究了角向矢量涡旋光的紧聚焦焦斑特性, 解释了焦平面自旋角动量局域化分布的形成原因. 角向矢量涡旋光可分解为左、右旋圆偏振电场叠加, 将分解所得的左、右旋分量分别经大数值孔径透镜聚焦, 总聚焦电场可视为左、右旋分量聚焦电场的干涉叠加. 经分析研究后发现, 左、右旋分量各自聚焦电场的纵向分量大小相等、相位相反, 完全干涉相消, 使得总聚焦电场的纵向分量消失; 而各自聚焦电场的横向分量则完全相反, 几乎不发生干涉, 总聚焦电场表现为非相干叠加. 角向偏振光引入涡旋相位后, 使得左、右旋电场分量的轨道角动量的拓扑荷数发生变化, 拓扑荷数的绝对值不再相等, 而是恒定差值为2. 因此左、右旋电场的横向分量由于携带不同的拓扑荷数, 分别聚在焦平面的不同位置, 而横向分量发生非相干叠加, 不相互影响, 最终形成了总电场偏振态的局域化分布, 即自旋角动量局域化分布的现象. 随后, 本文横向对比了1阶角向矢量涡旋光和径向偏振矢量光的超分辨焦斑特性, 分析了各自的优、缺点以及影响焦斑尺寸的因素. 最后, 兼顾了超分辨光针的性能和实际实现难度, 设计了6环带的二元相位板对1阶角向矢量涡旋光进行了波前调制, 实现了横向半高全宽为
$0.391\lambda $
, 纵向半高全宽为
$25.5\lambda $
的超长超分辨光针.
2023, 72 (12): 124202.
doi:10.7498/aps.72.20222030
摘要 +
处于同一偶极阻塞区域的里德伯原子系综可以看作一个超级原子, 如果它们被捕获在两个不同的光偶极阱中, 那么每一个光偶极阱中的子原子系综可以看作为一个亚超级原子. 由于这两个亚超级原子共享不超过一个激发的里德伯原子, 所以它们会强烈地关联起来. 本文研究这两个里德伯亚超级原子的稳态关联集体激发特性和量子纠缠行为. 结果表明原子数目带来的影响非常明显: 里德伯亚超级原子越大(包含原子数目越多), 集体激发概率越大; 最大纠缠只发生在等大的两个里德伯亚超级原子之间. 通过增加原子数目, 可以实现介观领域的量子纠缠, 对量子-经典对应的研究以及量子信息处理有着重要的作用.
编辑推荐
2023, 72 (12): 124203.
doi:10.7498/aps.72.20230422
摘要 +
腔增强的光学自发参量下转换是量子光学中产生量子光场的基本方法之一, 然而下转换过程往往受到非线性晶体的双折射效应的影响. 特别是在利用II类准相位匹配非线性晶体产生双光子对的过程中, 晶体的双折射效应使得信号光和闲置光不能同时起振. 本文提出并验证了一种利用1/4波片补偿信号光和闲置光的光程的方法, 在保证较小内腔损耗及良好的调节自由度的情况下, 以相对简洁的装置实现信号光和闲置光的双共振.
2023, 72 (12): 124204.
doi:10.7498/aps.72.20222171
摘要 +
设计了一种3层结构的太赫兹编码超表面, 其顶部是嵌入VO2的金属十字架结构, 中间是聚酰亚胺, 底部为纯金属. 利用该编码超表面的各向异性特点, 可以实现对正交极化波(x极化波和y极化波)的独立调控; 通过在编码超表面中引入VO2材料, 改变其相变状态, 可进一步增加调控的灵活性. 对设计的超表面进行建模仿真和分析, 结果表明: 对于垂直入射的1 THz正交极化波, VO2处于绝缘态时, 设计的超表面可视为2 bit的各向异性编码超表面, 产生模式为1和2的涡旋波; VO2处于金属态时, 设计的超表面可视为1 bit的各向异性编码超表面, 产生对称的2束反射波和4束反射波. 所提出的各向异性和相变材料结合的方法, 实现了同一超表面上产生多种不同形式太赫兹波束的功能, 一定程度上解决了超表面调控太赫兹波形式单一的问题, 为实现能够灵活应用于多种场景的多功能编码超表面提供了参考.
2023, 72 (12): 124301.
doi:10.7498/aps.72.20221691
摘要 +
为了充分考虑介质运动对声传播的影响, 建立了一种利用高斯波束法求解亚音速运动介质中的声传播问题的模型. 该模型基于高频近似任意马赫数的速度势函数亥姆霍兹方程, 采用波束追踪方法, 推导了运动介质中的动态射线方程组, 进而将偏微分方程转换成常微分方程组的形式. 理论表明运动介质中波束的扩展更为复杂, 并且声线管束内的能量不一定守恒. 将该模型应用于标准问题、水平分层大气次声三维远距离传播问题和墨西哥湾流流域的声传播问题, 仿真结果表明, 相比于常用的N×2D近似计算方法, 运动介质中的高斯波束追踪法充分考虑了介质运动的影响, 特别是横风的作用, 可以更加精确地计算运动介质中的三维声场; 尽管海流的马赫数很小, 但是同样会定量地改变声传播, 影响会聚区位置, 在一些区域考虑海流和不考虑海流的计算结果相差5 dB 以上.
2023, 72 (12): 124302.
doi:10.7498/aps.72.20230383
摘要 +
声悬浮技术可以在无接触的情况下操控微粒和液滴, 因此已被广泛应用于化学分析、液滴动力学和生物反应器等领域. 目前声悬浮技术的主要工作是在开放环境中进行悬浮等操控. 本文提出了亚波长管道增强型空气声镊的概念, 利用亚波长声波导管进行声场操控及微粒和液滴悬浮. 通过4个小型换能器激发有限长度亚波长圆波导管的单一低阶声学模态, 可以在有限长度的波导管内产生漩涡声场. 实验发现由于亚波长结构对声场的增强作用, 亚波长管道增强的漩涡声场在径向和轴向悬浮力大小上均有较大提升, 因此可对发泡聚苯乙烯颗粒和水滴实施悬浮和自转等操控. 这项工作将亚波长声波导管的概念引入声场操控中, 有望加深对声场和物质相互作用的物理理解, 开发新型小型化悬浮微粒和液滴的声学操纵器件.
2023, 72 (12): 124303.
doi:10.7498/aps.72.20230003
摘要 +
声波是一种机械波, 作为能量的载体, 在大气湍流环境下传输会“扰动”湍流耗散率的变化, 从而会影响湍流物理结构演化. 本文基于声波能量和湍流能量平衡方程, 结合湍流内外尺度和大气折射率功率谱函数, 研究了在不同声波扰动下大气湍流的内外尺度和折射率功率谱函数的变化特征. 结果表明: 不同声波的传播会使得湍流的内外尺度发生变化, 声源功率越大, 对湍流尺度的影响越大, 然而声源频率越大, 对湍流尺度的影响并不是特别明显; 不同声波的传播会使大气折射率功率谱函数发生改变, 在惯性区内, 考虑到声波对湍流内外尺度的影响, 不同声源对大气折射率功率谱的影响程度不同, 在耗散区内, 大气折射率功率谱都出现随声波传输距离波动的情况. 本文探索声波扰动对大气湍流折射率功率谱函数特征参数的变化规律, 为激光在声波扰动大气湍流中传输特性以及声光耦合研究提供理论依据.
编辑推荐
2023, 72 (12): 124304.
doi:10.7498/aps.72.20230067
摘要 +
利用倾斜光纤光栅在发生弯曲时其存在的多种纤芯-包层模式耦合方式容易发生改变, 进而使其光谱特征发生明显变化的特点, 提出并验证了一种基于大角度倾斜光纤光栅包层模的低频声传感方案. 将倾斜光纤光栅与设计的聚对苯二甲酸乙二酯(PET)换能膜片及腔体结构相结合, 得到了一种有效的低频声传感系统. 该换能膜片在被测声波信号作用下产生振动, 使固定在膜片表面的倾斜光纤光栅发生周期性动态弯曲, 引起倾斜光纤光栅的包层模式光谱发生周期性漂移, 最后采用边缘滤波法进行解调, 实现低频被测声波的有效探测. 实验结果显示, 该传感方案可以在45—220 Hz范围内实现高灵敏度声波探测, 在传感系统固有频率附近54 Hz处获得最大声灵敏度115.88 mV/Pa, 且最小探测声压为539.2 μPa/Hz1/2. 该传感方案具有灵敏度高、重复性好、结构简单、容易加工等优势, 在低频声探测等相关应用领域具有较大的发展前景.
编辑推荐
2023, 72 (12): 124401.
doi:10.7498/aps.72.20230354
摘要 +
通过运用非平衡格林函数方法, 研究了基于并苯连接石墨烯纳米带的分子结的热电性质. 主要考虑了并苯分子长度、并苯分子与石墨烯纳米带电极的接触位置对并苯分子结热电参量的影响. 结果发现并苯分子结最大热电优值(ZTmax)对应的热导中声子贡献往往占据主导地位. 当并苯分子的长度增加, 声子热导单调减少, 最终变得与并苯分子长度几乎无关. 当并苯分子与石墨烯纳米带左(右)电极的中(上)部接触时, 对应的ZTmax是最高的, 然而当并苯分子与石墨烯纳米带左(右)电极的中(中)部接触时, 对应的ZTmax是最低的. 当温度增加时,ZTmax有单调增加的趋势, 无关于接触位置. 随着并苯分子长度的增加,ZTmax对应化学势的位置越靠近本征费米能级. 以上发现能对未来设计基于并苯分子结的热电器件提供有价值的参考.
气体、等离子体和放电物理
2023, 72 (12): 125201.
doi:10.7498/aps.72.20222014
摘要 +
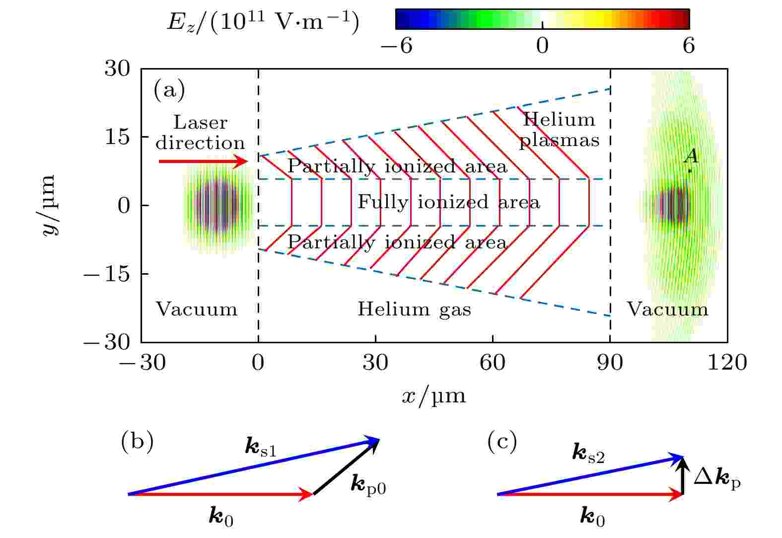
通过二维粒子模拟(particle-in-cell)方法研究了强激光与亚临界密度等离子体相互作用中的近前向光子加速机制. 该机制利用强激光在亚临界密度气体传输过程中的电离效应产生在纵向和横向上密度分布不均匀的电子等离子体. 在纵向上, 入射激光电离氦气产生一个陡峭的电子密度前沿分布. 在密度前沿处, 入射激光与电子等离子体波作用发生近前向散射. 散射光频率较激光频率增大, 在频谱中产生了第一个特征峰. 在横向上, 密度不均匀造成电子等离子体波具有不同的相速度并与入射激光相互作用, 使入射激光发生近前向散射, 在频谱中产生了第2个特征峰. 由于密度分布的不均匀性较电子等离子体波的密度扰动大得多, 因此基于微扰理论的散射模型和色散关系, 如受激拉曼散射, 无法解释频谱中两个特征峰的出现. 进一步研究发现: 在密度不均匀的情况下, 入射激光、电子等离子体波和散射光三者之间仍满足动量和能量守恒的三波耦合关系. 这能够解释两个特征峰对应的频率和强度增长过程. 该研究对于强激光在亚临界密度气体传输过程中的频谱演化具有重要参考意义.
2023, 72 (12): 125202.
doi:10.7498/aps.72.20222390
摘要 +
计算了广温度范围(300—30000 K)和广压力范围(0.1—10 atm, 1 atm=101.325 kPa)下, 不同混合物比例、碳和硅蒸气浓度的局域热力学平衡(LTE)和化学平衡(LCE)的氩-碳-硅等离子体组分、热力学性质和输运系数. 等离子体气相平衡组分使用质量作用定律计算, 同时凝聚相组分采用相平衡的方法计算. 输运系数的计算包括黏度、电导率和热导率, 使用拓展到高阶近似的Chapman-Enskog方法. 采用文献中较新的数据得到了较为准确的碰撞积分, 导出了Ar-C-Si等离子体的输运系数. 结果表明, 在相变温度以下, 凝聚态物种的引入导致Ar-C-Si等离子体的热力学性质、输运系数与纯Ar等离子体接近, 在相变温度点则会产生不连续点. 压力、碳/硅蒸气浓度和比例对等离子体热力学性质和输运系数具有较大影响. 最终计算值与文献数据对比符合良好, 有望为氩-碳-硅等离子体传热流动数值模拟提供基础数据.
凝聚物质:结构、力学和热学性质
编辑推荐
2023, 72 (12): 126101.
doi:10.7498/aps.72.20230230
摘要 +
太阳能电池作为航天器的重要能源, 其空间抗辐射性能具有重要的研究意义. 钙钛矿太阳能电池因其较长的载流子寿命、较高的光吸收性能、高载流子迁移率以及成本低和易于制备等优势成为太阳能电池研究的前沿和热点. 近年来, 钙钛矿太阳能电池的光电转换效率已逐渐提升至25.5%, 在各个领域逐渐走向实际应用, 并将有可能应用于航天器的电源系统. 目前, 钙钛矿太阳能电池的空间辐照效应研究较为分散, 实验样品来自不同的制备工艺, 不同器件结构和组分比例会导致实验结果的差异. 本文基于自主研制的钙钛矿太阳能电池样品分别开展了质子、电子以及γ辐照实验研究, 通过分析辐照前后的光电特性预测其辐射效应规律, 为钙钛矿太阳能电池的空间应用提供实验依据.
2023, 72 (12): 126201.
doi:10.7498/aps.72.20230084
摘要 +
磷烯是一种新型的二维半导体材料, 近年来得到了研究者们的广泛关注. 通过分子动力学模拟对磷烯在剪切形变下的力学和热学性能进行了系统探究. 磷烯的剪切力学呈现出各向同性的特点, 沿扶手椅与锯齿方向的剪切模量均约为22 GPa. 磷烯的断裂强度和极限应变对温度十分敏感, 高温会显著削弱磷烯抗剪切形变的能力. 无应变时磷烯沿锯齿与扶手椅方向热导率的各向异性比为2.83. 当对磷烯施加剪切应变时, 磷烯沿扶手椅方向的热导率随着剪切应变的增大而减小, 但是剪切应变对磷烯锯齿方向热导率的影响则相对较弱. 通过对磷烯的声子态密度分析发现, 剪切形变主要对其柔性声子模式的振动特性具有显著影响, 使高频声子发生了红移. 同时, 剪切形变的存在会严重改变晶格的非简谐振动, 继而在不同程度上对磷烯声子间的散射产生重要的影响. 磷烯声子态密度的改变以及声子散射通道的变化共同决定了其在剪切形变下的导热特性.
编辑推荐
2023, 72 (12): 126401.
doi:10.7498/aps.72.20230020
摘要 +
采用高压原位阻抗谱测量技术对锐钛矿TiO2多晶的电输运性质进行了系统研究. 在6.4, 11.5和24.6 GPa压力处发现了晶粒和晶界的电阻、参数因子和弛豫频率的反常变化行为. 研究分析表明: 6.4和11.5 GPa压力点分别对应着TiO2由锐钛矿转变为α-PbO2, 再转变为斜锆石的结构相变, 当压力高于24.6 GPa时, TiO2完全转变为斜锆石相. 通过分析晶粒和晶界电阻在压力作用下的变化行为可知, 本征缺陷的存在对TiO2高压下电输运性质的变化起着关键的作用. 在6.4 GPa压力处, 相变的发生导致缺陷的作用发生了变化, 由作为复合中心的深能级缺陷转变为向导带和价带提供载流子的浅能级缺陷, 并且作为浅能级缺陷存在至实验最高压力点38.9 GPa, 浅能级缺陷在能带中的位置也随着相变发生而改变. 晶粒和晶界的激活能随着压力升高而降低, 表明高压下载流子在晶粒和晶界的输运变得更加容易. 此外, TiO2晶粒和晶界的弛豫频率比值随压力的升高而不断减小, 高压下的晶界效应不明显.
2023, 72 (12): 126801.
doi:10.7498/aps.72.20230012
摘要 +
理论研究了双层石墨烯薄膜体系中的四波混频特性. 计算结果表明: 通过调控声子-激子耦合强度、泵浦强度、激子-泵浦场失谐量的大小, 四波混频谱可以在两峰、三峰、四峰、五峰、六峰结构之间切换. 在弱激子-声子耦合情况下(即声子-激子耦合强度g< 激子退相速率Γ2), 四波混频谱中左/右峰的最大强度随泵浦强度的增大先增大后减弱. 在中间耦合(g=Γ2)和强耦合情况下(g>Γ2), 体系中的四波混频谱展现了呈对称性的两峰结构, 两峰的间距等于2g. 当g从1.0 THz增至4.0 THz时, 两峰的峰值都减小到原来的0.4%. 本研究不仅可以用来测量双层石墨烯体系中的声子-激子耦合强度, 而且有利于进一步探究双层石墨烯内部更深层的物理机理.
凝聚物质:电子结构、电学、磁学和光学性质
2023, 72 (12): 127101.
doi:10.7498/aps.72.20230170
摘要 +
锗烷因其合适的带隙、较高的电子迁移速率、较好的环境稳定性、较小的电噪声和超薄的几何结构, 有望取代现有硅基或锗基材料成为下一代半导体器件的理想载体. 基于密度泛函理论和非平衡格林函数的第一性原理方法, 研究了不同构型和浓度的氢空位簇对锗烷电子结构及锗烷中四硫富瓦烯(tetrathiafulvalene, TTF)分子掺杂性能的影响. 计算结果表明, 不同构型氢空位簇的引入可诱导GermananeDehydrogenated-xH(GD–xH) 体系产生不同性质的磁性, 且磁矩大小亦与Lieb定理的预测结果相符, 并能在GD-xH(x= 1, 4, 6) 体系自旋向下的能带结构中实现由缺陷态引起的类p型半导体掺杂效应, 其电子激发所需的能量则会随着体系脱氢浓度的升高而不断降低. 吸附TTF分子后, G/TTF和GD-xH/TTF (x= 1, 2, 6)体系表现出分子掺杂效应, 且GD-xH/TTF (x= 1, 6)体系因分子轨道与缺陷态的杂化作用, 可在自旋向上与自旋向下的能带结构中形成不同的掺杂类型. 进一步的量子输运计算还表明, Armchair和Zigzag类型的锗烷基器件表现为明显的各向同性, 且TTF分子吸附所导致的载流子掺杂可大幅提高其I-V特性.
编辑推荐
2023, 72 (12): 127102.
doi:10.7498/aps.72.20230043
摘要 +
拓扑电子材料因为具有非平庸的拓扑态, 所以会展现出许多奇异的物理性质. 本文通过第一性原理计算对应变调控下的烧绿石三元氧化物Tl2Ta2O7中的拓扑相变进行了研究. 首先分析了原子轨道投影能带, 发现体系费米能级附近O原子的(px+ py) 与pz轨道发生了能带反转, 再构造了紧束缚模型计算得到体系的Z2拓扑不变量确定了其拓扑非平庸性, 最后研究了表面态等拓扑性质. 研究发现未施加应变的Tl2Ta2O7是一个在费米能级处具有二次能带交叉点的半金属, 而平面内应变会破缺晶体对称性进而使体系发生拓扑相变. 当对体系施加–1%的压缩应变时, 它会转变为狄拉克半金属; 当对体系施加1%的拉伸应变时, 体系相变为拓扑绝缘体. 本研究对于在三维材料中调控拓扑相变有着较重要的指导意义, 并且为低能耗电子器件的设计提供了良好的材料平台.
2023, 72 (12): 127301.
doi:10.7498/aps.72.20230093
摘要 +
单层CuSe属于体相为非层状的二维材料, 本质上具有金属性质, 因此不适合在电子器件中应用. 本文通过外部原子修饰的方法实现CuSe电子结构的改变, 采用密度泛函理论的第一性原理研究了单层CuSe在顶位、中心和桥位添加第二周期原子后的能带结构, 重点分析了单层CuSe添加Li和B原子的电子结构, 包括能带结构、态密度、差分电荷密度和晶体轨道哈密顿布居分析. 添加Li原子后, 从能带结构的结果来看, 三个位置都能实现CuSe由金属性转为半导体性, 且Li原子更倾向修饰在CuSe的六角形中心, 带隙约为1.77 eV; 在Cu原子的顶部位置添加B原子也可以实现CuSe具有半导体性, 带隙约为1.2 eV. 通过差分电荷密度和晶体轨道哈密顿布居的结果来看, B原子用B-Se极性共价键结合在单层CuSe的顶部. 第一原理揭示了从单层CuSe到CuXSe (X= Li, B)的金属到半导体转变的实现, 计算结果使CuSe在未来的电子设备中使用成为可能.
2023, 72 (12): 127302.
doi:10.7498/aps.72.20230198
摘要 +
空腔嵌入绝缘体上硅(void embedded silicon on insulator, VESOI)衬底是一种面向新型互补金属氧化物半导体(complementary metal oxide semiconductor, CMOS)器件及集成技术的新型SOI衬底材料. 当采用离子剥离技术制备该衬底时, 由氢气形成的板状气泡会聚集在衬底剥离界面, 对空腔结构产生挤压作用, 并有可能造成空腔结构的破损, 因而有必要对VESOI衬底制备过程中的应力机制和工艺稳定性进行深入研究. 本文以单个矩形空腔结构为研究对象, 借助固支梁理论分析了其在工艺制备过程中的力学状态, 并利用有限元工具构建了其三维几何模型. 通过应力仿真, 找到了该空腔结构的破裂失效原因, 并确认了其脆弱位点. 结果表明, 矩形空腔结构短边长度w、顶硅薄膜厚度t以及氢气泡压力是影响顶硅薄膜应力状态的主要因素. 当w/t值超过4—5时, 硅薄膜将因应力过大而破裂, 破裂位点分布于空腔结构长边方向. 通过优化顶层硅厚度t, 以及内嵌空腔结构、尺寸, 本工作成功制备了符合CMOS产线要求的高质量8 in (1 in = 2.54 cm) VESOI衬底. 该工作对基于VESOI衬底的集成技术具有较好参考价值.
物理学交叉学科及有关科学技术领域
2023, 72 (12): 128101.
doi:10.7498/aps.72.20230270
摘要 +
利用分子束外延技术, 通过InAs/GaAs数字合金超晶格代替传统的直接生长InGaAs层的方式, 在GaAs(100)衬底上生长了InAs量子点结构并成功制备了1.3 μm InAs量子点激光器. 通过原子力显微镜和光致荧光谱测试手段, 对传统生长模式和数字合金超晶格生长模式的两种样品进行了表征, 研究发现采用32周期InAs/GaAs数字合金超晶格样品的量子点密度非常高, 发光性能良好. 通过与常规生长方式所制备激光器的性能对比, 发现采用InAs/GaAs数字合金超晶格生长InAs量子点的有源区也可以得到高质量的激光器. 利用该方式生长的InAs量子点激光器的阈值电流为24 mA, 相应的阈值电流密度仅为75 A/cm2, 最高工作温度达到120 ℃. InAs/GaAs数字合金超晶格既可以保证生长过程中源炉的温度保持不变, 还可以对InGaAs层的组分实现灵活调控. 不需要改变生长速度, 通过改变InAs/GaAs数字合金超晶格的周期数以及InAs层和GaAs层的厚度, 便可以获得任意组分的InGaAs, 从而得到不同发光波长的激光器. 这种生长方式对量子点有源区的结构设计和外延生长提供了新思路.
2023, 72 (12): 128401.
doi:10.7498/aps.72.20230328
摘要 +
高速旋转的超导转子可用作高精度角速度传感器, 其转子结构的质量偏心和球面误差是限制其精度提升的关键因素, 转子结构越复杂, 其制作和装配过程造成的质量偏心和球面误差就越大, 则其测量角速度的精度越低. 基于此介绍了一种转子结构简单的超导转子磁悬浮结构, 并通过有限元方法对其磁悬浮结构的磁耦合特性进行研究, 分析其对超导转子磁支承力的影响. 然后基于磁路原理对磁支承结构的磁路建模, 提出了一种对超导转子磁支承结构承载能力分析的方法, 并设计出一种优化超导转子磁支承结构承载能力的方案. 研究结果为超导转子磁悬浮系统的结构设计和优化, 及其承载能力的分析和优化提供参考.
封面文章
2023, 72 (12): 128701.
doi:10.7498/aps.72.20230080
摘要 +
提出了一种基于太赫兹(terahertz, THz)类电磁诱导透明(electromagnetically induced transpanrency like, EIT-like) 效应的样品阱超材料传感器. 传感器基础单元结构由一根金属线和一对开口谐振环(split ring resonators, SRRs)组成, 二者耦合产生类EIT效应, 在1.067 THz处得到一个半高全宽为178 GHz的透明峰, 透明峰最大透过率为89.71%. 其传感单位体积灵敏度为
$178\;{\rm{G}}{\rm{H}}{\rm{z}}/({\rm{R}}{\rm{I}}{\rm{U}}{\cdot} {{\rm{m}}{\rm{m}}}^{3})$
, 进一步分析该超材料谐振频点处的电场分布, 发现两侧SRRs的开口处电场最强. 我们设计构建样品阱仅在开口最强电场处, 以光刻胶为待测物填入样品阱, 并成功测得50 GHz频偏, 验证样品阱结构可以运用于传感中. 经研究分析, 样品阱结构成功将样本量缩减至超微量级别, 单位体积灵敏度提升至
$5538\;{\rm{G}}{\rm{H}}{\rm{z}}/({\rm{R}}{\rm{I}}{\rm{U}}{\cdot} {{\rm{m}}{\rm{m}}}^{3})$
, 提高了31倍. 该样品阱成功实现对水、人皮肤和大鼠皮肤样本的鉴别, 表明了构建样品阱在THz超材料超微量检测领域具有潜在的应用价值.
2023, 72 (12): 128801.
doi:10.7498/aps.72.20230081
摘要 +
通过工艺创新和薄膜优化技术成功制备基于CH3NH3PbI3/PM6:Y6(BTP-4F)的钙钛矿/有机集成太阳电池(IPOSCs). 通过添加剂1-8二碘辛烷DIO的调控和热退火处理, 极大优化CH3NH3PbI3/PM6:Y6混合薄膜质量和获得层间欧姆接触. 与此同时, 近红外区有机层的空穴和电子迁移率为 8.3×10–3cm2/(V·s)和8.8×10–3cm2/(V·s), 可以和可见区钙钛矿层的空穴和电子迁移率相匹配, 实现在微观通路上达到载流子运输平衡, 导致器件具有高短路电流密度Jsc和高填充因子FF. 另外, 通过优化聚合物非富勒烯体系PM6:Y6质量比例混合成膜, 使得薄膜中的非辐射复合位点密度和载流子复合明显减少, 使得电子和空穴的提取和传输更加高效, 能够提供更大的驱动力来改善载流子传输, 同时形成更宽的耗尽区来抑制载流子复合以提高器件的开路电压Voc. 优化的集成太阳能电池的短路电流密度提升到25.88 A/cm2, 开路电压Voc增加到1.18 V, 填充因子FF达到80%, 光响应扩宽到950 nm, 外量子效率在可见光区达到90%, 最佳能量转换效率高达24.42%, 这是目前报道的IPOSCs中的最高效率之一. 结果表明, 通过可见区材料和近红外区聚合物非富勒烯体系材料组合和器件结构优化来增强钙钛矿太阳电池对于近红外光的吸收, 从而提升IPOSCs性能是一种有效的手段和方法. 为将来开发高效率IPOSCs奠定了实验工艺和构建理论基础.




