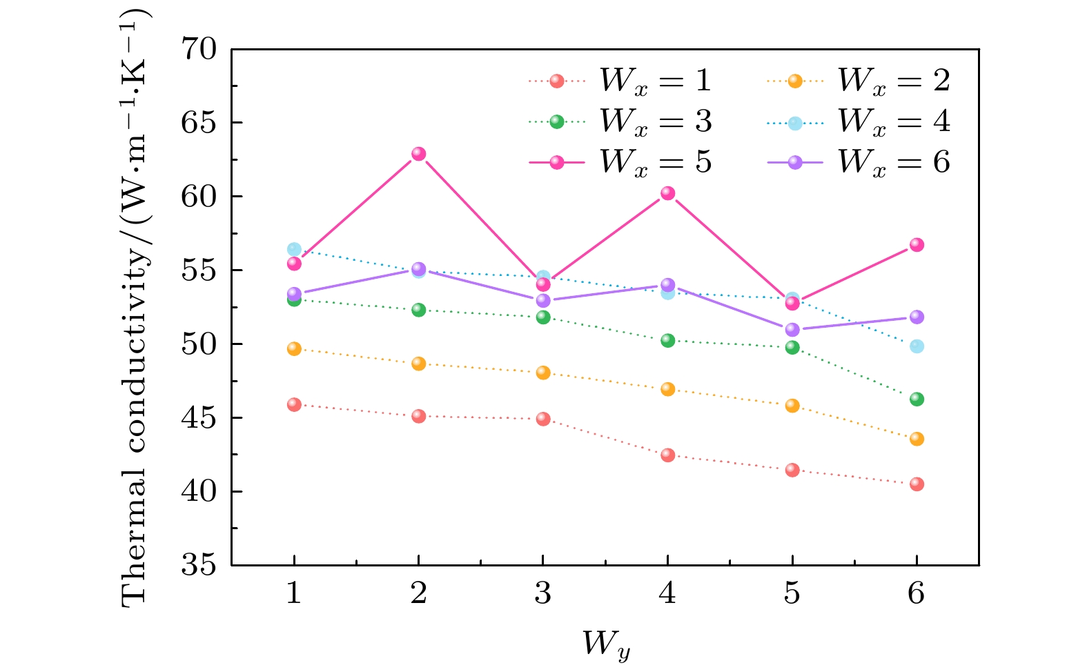
Graphene nanomesh (GNM) is a single-layer graphene material that has a periodic distribution of nanoscale pores. GNM shows great potential applications in various fields such as thermoelectric energy conversion, energy storage, and field-effect transistors. In this study we utilize non-equilibrium molecular dynamics and lattice dynamics method to investigate the thermal transport mechanism of GNM. The thermal conductivity of GNM is mainly affected by the number of nanoscale pores and their horizontal and vertical spacing. Our study finds that as the number of nanoscale pores increases, the thermal conductivity of GNM decreases significantly. Additionally, the increase of the number of nanoscale pores causes phonon branch to be folded and confined, which results in a flatter dispersion curve, wider bandgap, and slower phonon group velocity. Moreover, the horizontal and vertical spacing of the nanoscale pores jointly affect the thermal transport process of GNM. When the horizontal spacing is small, the thermal conductivity of GNM decreases monotonically with the increase of vertical spacing, and increases monotonically with an increase of horizontal spacing. However, as the horizontal spacing increases, the interference effect caused jointly by phonon reflection and superposition leads to significant fluctuations in thermal conductivity. The analysis of the spectral heat flow, density of states, participation rate, and group velocity of GNM indicate that the variation in vertical spacing leads to different phonon contributions to heat flow, resulting in fluctuations in the thermal conductivity of GNM. These findings could serve as a reference for controlling the thermal transport of graphene nanomesh, and are of great significance in regulating the thermal conductivity and designing nanoscale pores in GNM.