-
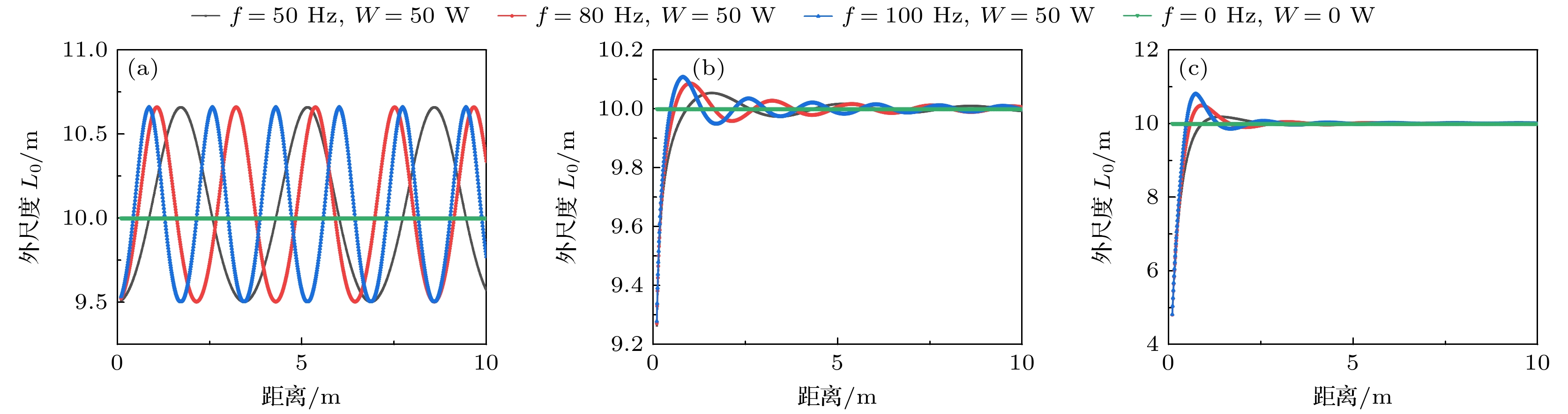
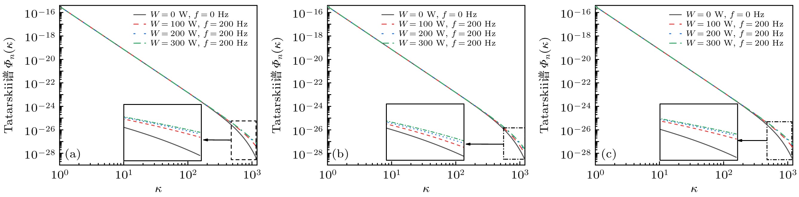
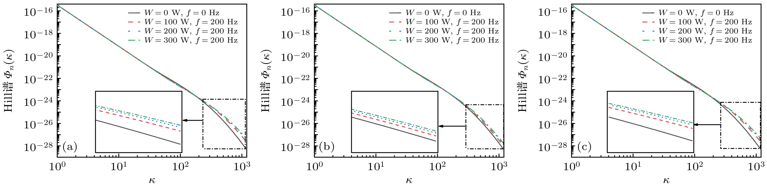
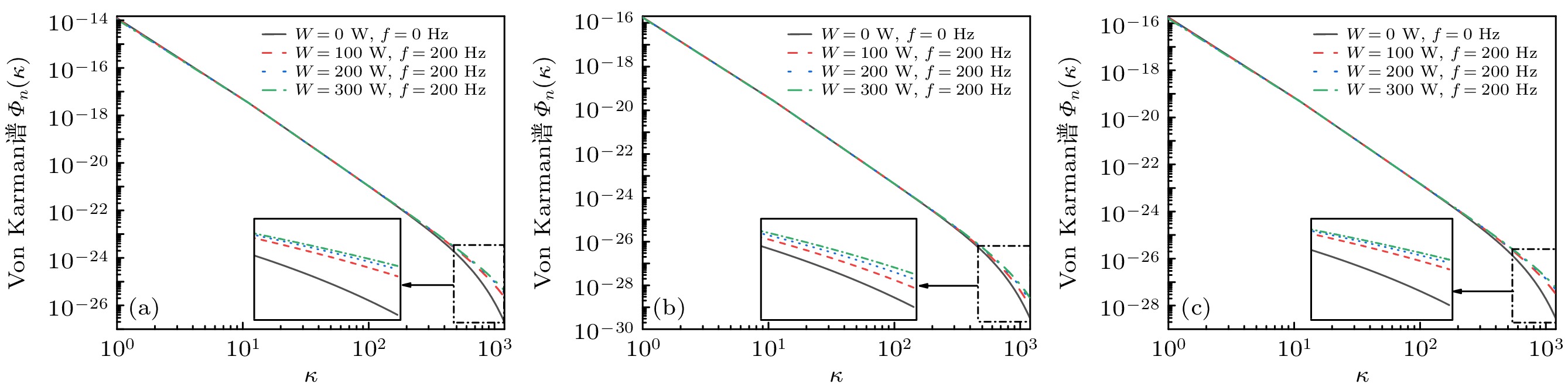
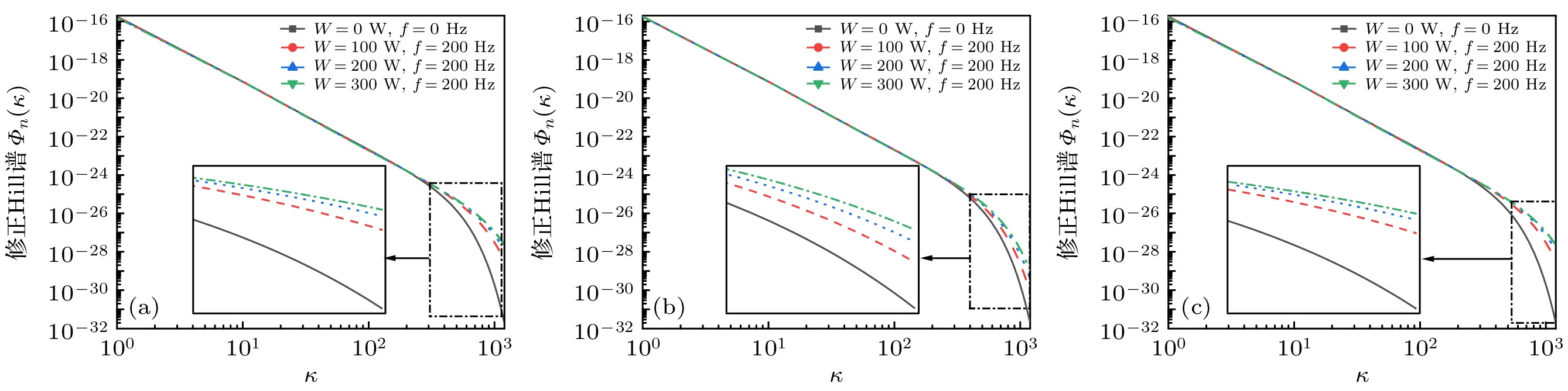
声波是一种机械波, 作为能量的载体, 在大气湍流环境下传输会“扰动”湍流耗散率的变化, 从而会影响湍流物理结构演化. 本文基于声波能量和湍流能量平衡方程, 结合湍流内外尺度和大气折射率功率谱函数, 研究了在不同声波扰动下大气湍流的内外尺度和折射率功率谱函数的变化特征. 结果表明: 不同声波的传播会使得湍流的内外尺度发生变化, 声源功率越大, 对湍流尺度的影响越大, 然而声源频率越大, 对湍流尺度的影响并不是特别明显; 不同声波的传播会使大气折射率功率谱函数发生改变, 在惯性区内, 考虑到声波对湍流内外尺度的影响, 不同声源对大气折射率功率谱的影响程度不同, 在耗散区内, 大气折射率功率谱都出现随声波传输距离波动的情况. 本文探索声波扰动对大气湍流折射率功率谱函数特征参数的变化规律, 为激光在声波扰动大气湍流中传输特性以及声光耦合研究提供理论依据.Sound wave is a kind of mechanical wave, and as the carrier of energy, its transmission in the atmospheric turbulence environment will “disturb” the change of turbulence dissipation rate, thus affecting the evolution of turbulence physical structure. Using the acoustic energy and turbulent energy balance equations and combining the inner and outer scales of turbulence and the atmospheric refractive index power spectral function, this work studies the variation characteristics of the inner and outer scales and refractive index power spectral functions of atmospheric turbulence under different acoustic disturbances. The results show that the propagation of different acoustic waves can cause the internal and external scales of turbulence to change. The greater the sound source power, the stronger the influence on the scale of turbulence is. However, the greater the sound source frequency, the less significant the influence on the scale of turbulence is. The propagation of different sound waves can change the atmospheric refractive index power spectrum function. In the inertial region, considering the effects of sound waves on the inner and outer scales of turbulence, the influences of different sound sources on the atmospheric refractive index power spectrum are different. In a dissipative region, the atmospheric refractive index power spectrum fluctuates with the transmission distance of sound wave. This work explores the acoustic-wave caused variation of the characteristic parameters of the refractive index power spectrum function of atmospheric turbulence, providing a theoretical basis for studying the laser propagation characteristics and acoustooptic coupling in atmospheric turbulence caused by acoustic waves.
[1] [2] [3] [4] [5] [6] [7] [8] [9] [10] [11] [12] [13] [14] [15] [16] [17] [18] [19] [20] -
[1] [2] [3] [4] [5] [6] [7] [8] [9] [10] [11] [12] [13] [14] [15] [16] [17] [18] [19] [20]
计量
- 文章访问数:3307
- PDF下载量:101
- 被引次数:0












下载:













