-
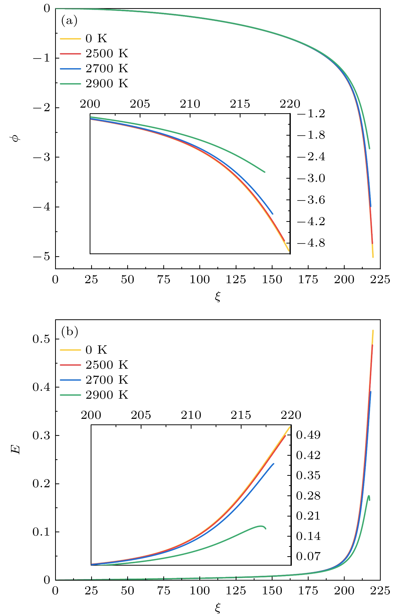
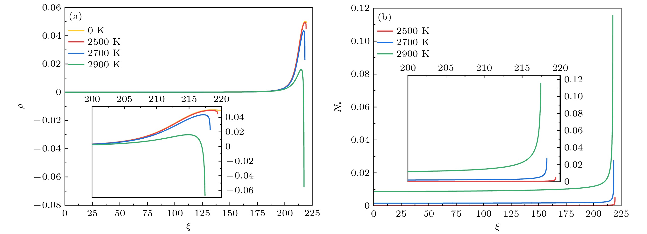
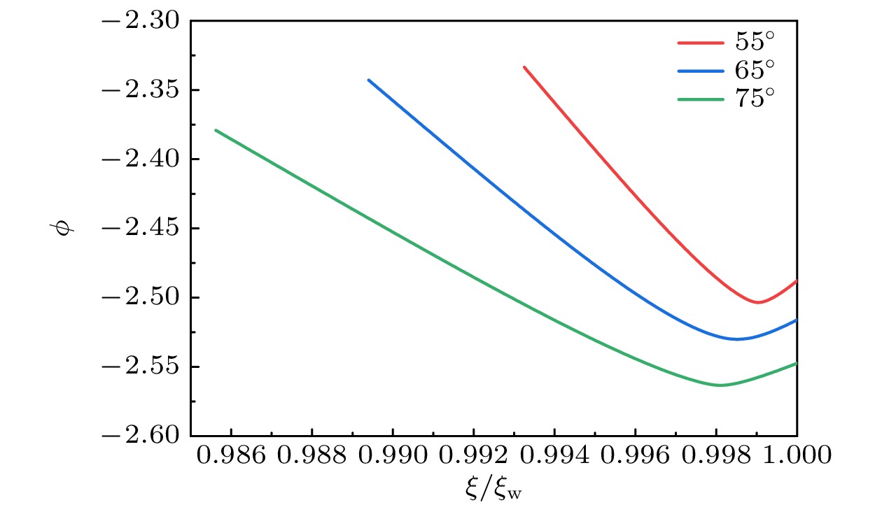
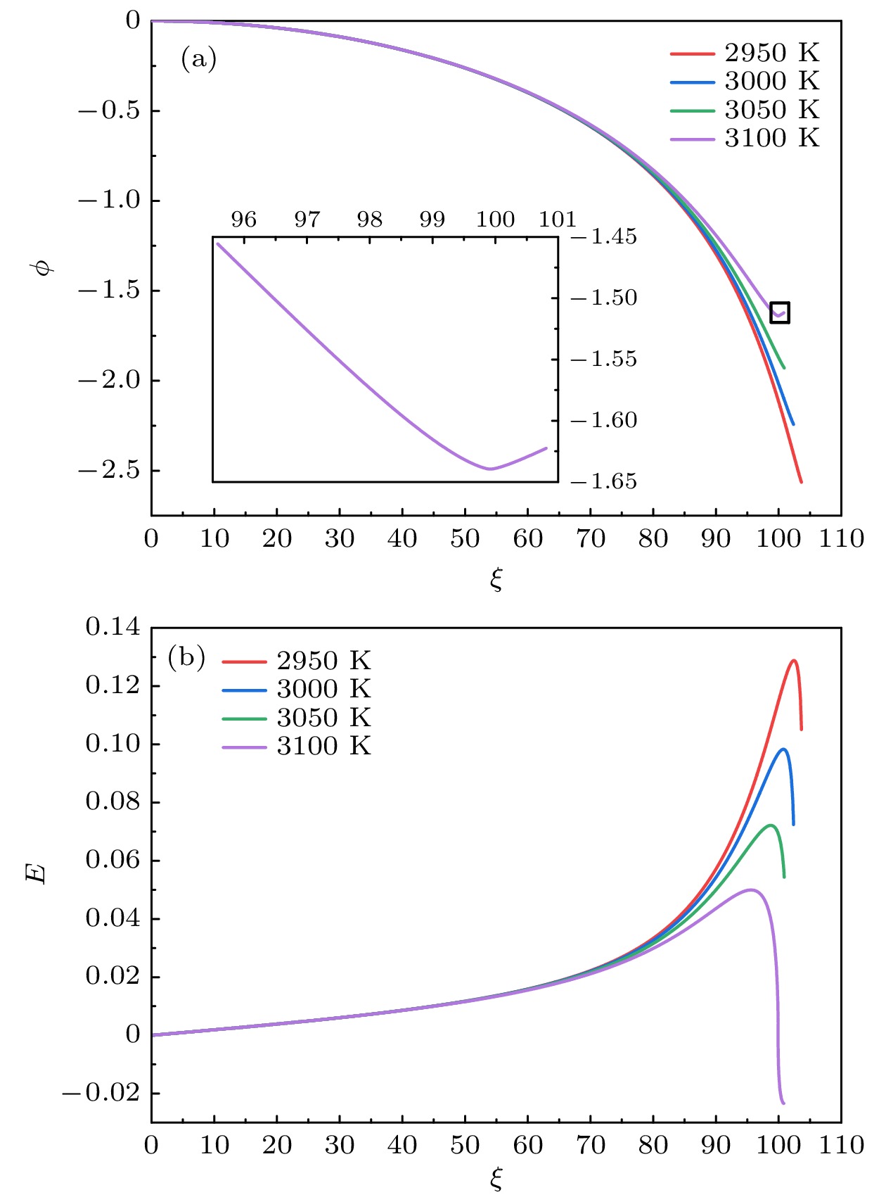
高约束模式是先进托卡马克装置的首选运行方式, 但边界局域模的爆发会使沉积到偏滤器靶板的热负荷急剧增大, 导致靶板温度迅速上升, 表面热电子发射增强. 本文采用一维流体模型模拟了热电子发射对磁化鞘层特性的影响. 结果表明, 在热电子发射的作用下, 靶板的悬浮电势幅值减小, 电场强度减弱. 大量的热发射电子离开靶板, 使得在靶板附近出现净电荷密度为负的区域, 将磁化鞘层划分为离子鞘和电子鞘两部分. 在电子鞘中, 随着靶板表面温度的升高, 靶板前累积的电子增多, 电势分布呈现非单调性, 出现虚拟阴极结构. 靶板附近形成的反向电场会限制热发射电子离开靶板, 离子运动减速, 导致沉积到靶板的离子能量降低. 随着磁场与靶板法线夹角的增大, 磁化鞘层总电势降变大, 虚拟阴极电势降低, 磁化鞘层中电子鞘的占比增加, 形成虚拟阴极所需的靶板温度升高.The high confinement mode (H-mode) is a preferred operation mode of tokamak devices in the future, but the burst of edge localized mode (ELM) will sharply increase the heat load deposited on the divertor target, raising the target temperature rapidly and strengthening surface thermionic emission. In this paper, a one-dimensional fluid model is used to simulate the influence of thermionic emission on the characteristics of the magnetized sheath. The results show that the amplitude of float potential and the electric field strength both decrease under the action of thermionic emission. Plenty of thermionic emission electrons leave the target, resulting in a region with negative charge density near the target plate, and the magnetized sheath is divided into two parts: ion sheath and electron sheath. In the electron sheath, with the rise of the target surface temperature, electrons accumulated in front of the target also increase, the potential distribution is non-monotonic, and a “virtual cathode” structure appears. The reverse electric field formed near the target will confine the thermionic emission electrons leaving the target and slow down the ion movement, leading to a decrease of the ion energy deposited on the target. With the increase of the angle between the magnetic field and the target normal, the potential of the magnetized sheath and the proportion of the thickness of the electron sheath in the magnetized sheath both increase. The virtual cathode potential decreases, the temperature of the target required to form the virtual cathode rises.
-
Keywords:
- magnetized sheath/
- thermionic emission/
- virtual cathode
[1] [2] [3] [4] [5] [6] [7] [8] [9] [10] [11] [12] [13] [14] [15] [16] [17] [18] [19] [20] [21] [22] [23] [24] [25] [26] [27] -
[1] [2] [3] [4] [5] [6] [7] [8] [9] [10] [11] [12] [13] [14] [15] [16] [17] [18] [19] [20] [21] [22] [23] [24] [25] [26] [27]
计量
- 文章访问数:2504
- PDF下载量:58
- 被引次数:0












下载:








