总论
2023, 72 (15): 150201.
doi:10.7498/aps.72.20230501
摘要 +
提出了一种新的处理有耗型德拜色散媒质的单步蛙跳遵从发散隐式-时域有限差分(complying divergence implicit FDTD, CDI-FDTD)方法. 从频域下的Maxwell方程出发, 利用傅里叶变换将电磁场分量从频域转换到时域, 并采用递归积分(recursive integration, RI)方法对频域-时域转换过程中存在的积分项进行近似处理. 然后应用单步蛙跳隐式格式对时域Maxwell方程和辅助变量进行差分离散, 推导出有耗型德拜色散媒质的RI-CDI-FDTD算法的迭代公式. 接着利用von Neumann 方法验证了基于RI方法的CDI-FDTD算法的无条件稳定特性, 最后通过数值算例验证了本文所提方法的正确性和有效性.
编辑推荐
2023, 72 (15): 150301.
doi:10.7498/aps.72.20230609
摘要 +
参考系无关量子密钥分配(RFI-QKD)协议可以免疫参考系缓慢漂移的影响, 从而提高系统的鲁棒性, 具有广泛的应用. 然而, 在此前的RFI-QKD协议和方案中, 均假设光源是可信且服从某种固定的光子数分布, 该假设在实际系统中不一定满足. 本文提出了一种具有被动式光源监控功能的参考系无关量子密钥分发方案, 采用了三强度诱骗方法, 并且考虑了有限长效应. 仿真结果表明, 当存在光源起伏和参考系偏转角时, 本文的方案比原始RFI-QKD协议在成码率上也具有明显的优势.
2023, 72 (15): 150701.
doi:10.7498/aps.72.20230360
摘要 +
复杂背景下低可见度目标追迹是成像领域的一个重要研究方向, 现有方法难以对运动方向和速率均无规则变化的低可见度目标进行追迹成像. 运动衬度成像可大幅提升目标追迹的灵敏度, 已在X射线成像领域取得重要应用, 但仅局限于固定轨迹或单调背景的成像. 本文将运动衬度成像引入到时变复杂背景中轨迹不确定的目标追迹成像任务, 通过解决现有方法受复杂背景和高频噪声干扰严重的问题, 实现目标的高灵敏追迹成像. 天空和树林中飞鸟的追迹结果表明, 该方法能有效地消除野外自然光和树叶无规则摆动导致背景灰度无规则变化的影响, 实现时变复杂背景中自由运动弱信号小目标的高灵敏追迹成像. 本文发展的方法有望为低可见度目标追迹成像提供一种新的手段.
核物理学
编辑推荐
2023, 72 (15): 152101.
doi:10.7498/aps.72.20230530
摘要 +
作为原子核的基本性质, 基态自旋一直是原子核数据与核结构基础研究领域的热点. 本文采用决策树方法对核素图上的奇质量数原子核(奇A核), 包括奇质子数原子核(奇Z核)与奇中子数原子核(奇N核), 进行了深入的研究, 并分别训练了奇Z核与奇N核的基态自旋预测模型. 其中在以75%∶25%的比例随机划分训练集与验证集的情况下, 奇Z核的训练集和验证集的正确率分别达到98.9%和79.3%; 奇N核的训练集和验证集的正确率分别达到98.6%和71.6%. 同时, 通过1000次随机选择训练集和验证集进行重复验证, 得到的正确率的标准误差均小于5%, 进一步验证了决策树的可靠性和泛化性能; 另一方面, 决策树的正确率远高于核结构研究中常用的理论模型, 如Skyrme-Hartree-Fock-Bogoliubov (SHFB)理论、协变密度泛函理论(CDFT)、 有限程液滴模型等. 接下来, 以所有自旋确定的奇Z核和奇N核为学习集, 对共计254和268个自旋未确定但有推荐值的奇Z核和奇N核的基态自旋值进行了预测, 预测集符合率分别达到68.5%和69.0%. 最后, 选择
$Z=59$
,
$Z=77$
,
$N=41$
以及
$N=59$
四条奇质量数链, 讨论了决策树的学习(预测)结果与相应原子核的实验(推荐)值, 以及3种理论模型所给出结果的异同, 进一步展示了决策树在原子核基态自旋方面的研究与应用价值.
原子和分子物理学
2023, 72 (15): 153101.
doi:10.7498/aps.72.20230374
摘要 +
采用密度泛函理论, 对P掺杂的(LiNH2)n(n= 1—4)团簇与LiH的反应机理进行理论分析, 反应中的驻点进行了构型优化, 通过频率和内禀反应坐标的计算来判断各驻点及其相互连接关系的正确性. 计算了能够反映反应物的稳定性参数. 结果表明: P掺杂后对最低未占据轨道影响较小, 最高占据轨道分布有较大幅度向掺杂原子处的转移, 失电子区域集中在P原子处. 经P原子掺杂, 降低了氨基锂团簇的稳定性, 反应脱氢能垒有所降低. 反应更倾向于由—PH2官能团脱氢和在—NH2官能团处储氢. 在循环储放氢过程中, 实现氢在—NH2和—PH2官能团之间的有效转移, 可进一步改善该材料的储放氢的可逆性.
电磁学、光学、声学、传热学、经典力学和流体动力学
2023, 72 (15): 154201.
doi:10.7498/aps.72.20230551
摘要 +
散斑相关成像因为记忆效应的要求, 通常需要空间非相干光源, 这使得成像装置变得复杂且光源利用率低, 同时也限制了这种方法在空间相干光源照射情况下的应用. 本文提出了一种基于空间相干光照明情况下, 通过复用不同偏振方向散斑图案实现的散斑相关成像新方法, 简称偏振复用散射成像. 新方法通过旋转放置在照射光路中的偏振器获得不同偏振方向的散斑图案, 再将这些图案叠加并平均, 最后使用相位恢复算法就可以重建物体图像. 与常规散斑相关成像技术的比较, 本文提出的方法降低了对光源的要求, 提高了光源的利用率, 使得装置更加简单紧凑. 实验结果表明这种方法的可行性, 并具有较强的环境适应性, 从而可拓展散斑相关成像方法的应用范围.
2023, 72 (15): 154202.
doi:10.7498/aps.72.20230603
摘要 +
从叠层相干衍射成像的解析求解模型出发, 通过在频域中将叠层相干衍射成像描述为待测样品与照明光空间频谱的线性方程组, 将探测器的光电参数和线性方程组的个数以及每个方程的未知数个数直接关联. 根据方程组存在唯一解的条件, 从理论上定量分析叠层相干衍射成像对探测器采样间隔、靶面宽度、像元尺寸、灵敏度和动态范围等关键光电参数的要求以及图像重建所受影响. 通过数值模拟, 对理论分析和预测的正确性进行了数值验证, 得出了参数不理想情况下叠层相干衍射成像仍能获得高质量重建像的物理机制, 对于提高重建质量和改进实验装置具有直接促进意义.
2023, 72 (15): 154203.
doi:10.7498/aps.72.20230663
摘要 +
提出了一种多模光力系统, 该系统由一个光学腔与两个机械振子相互作用, 研究了在不同失谐条件下探测透射谱的行为. 在蓝失谐条件下, 探测光谱经历了光力诱导吸收到参量放大的过程, 并且得到过程中的临界泵浦功率. 在红失谐条件下, 研究系统中的光力诱导透明和法诺共振以及相位色散的变化, 比较不同的光机械耦合强度关系、频率关系和失谐的结果. 数值结果表明, 通过控制两个振动镜的频率关系, 探测光的透射强度曲线经历了从法诺共振到光力诱导透明的一系列变化. 由于探测光的透射窗口伴随着快速的相位色散变化, 会导致群延迟, 进一步讨论由光力诱导透明引起的慢光效应, 提出了可以通过改变腔与泵浦失谐来控制快、慢光的传播; 该系统中的光学延迟可以达到毫秒级. 基于阵列结构的多模光力系统将在减缓和存储光脉冲中有潜在的应用前景.
封面文章
2023, 72 (15): 154204.
doi:10.7498/aps.72.20230743
摘要 +
薄膜铌酸锂光学芯片因低损耗、高非线性系数及高电光调制带宽等特性, 有望成为开展集成光学量子信息研究的理想实验平台. 然而, 到目前为止, 基于薄膜铌酸锂的单光子源普遍采用周期性极化准相位匹配技术, 该技术要求精确地制备电极并对铌酸锂波导进行周期性极化, 工艺复杂且对加工精度要求较高. 本文提出了一种基于模式色散相位匹配的薄膜铌酸锂单光子源器件. 该器件无需制作电极, 具备加工简便和集成度更高的优势, 同时单光子产率可达
3.8×10⁷
/(s·mW), 能够满足光学量子信息处理的需求. 此器件有望替代传统准相位匹配单光子源, 进一步推动基于薄膜铌酸锂芯片的光学量子信息研究的发展.
编辑推荐
2023, 72 (15): 154205.
doi:10.7498/aps.72.20230616
摘要 +
准连续光纤激光器在工业领域有着广阔的应用前景, 双端输出结构为工业低成本高功率光纤激光器提供了新思路, 提出并研究了双端输出准连续光纤激光器. 基于稳态速率方程, 建立了双端准连续光纤激光振荡器的理论模型, 对该类型激光器的输出功率、时序及非线性效应进行了仿真研究. 结果表明: 延长泵浦上升时间可以有效抑制弛豫振荡, 在脉冲持续时间内获得稳定的输出; 双端输出准连续激光器相比单端输出结构, 非线性效应累积更小. 实验采用纤芯/包层直径为20/400 μm的掺镱光纤, 首次实现了峰值功率3 kW的双端准连续近单模激光输出, 两端峰值功率分别为1218和2220 W, 对应光束质量因子M2分别为1.34和1.27, 光光转换效率约为60%, 脉宽为100 μs, 重频为1 kHz. 验证了双端输出准连续光纤激光器实现高功率、高光束质量输出的可行性, 为小体积、低成本、高功率和高亮度的准连续光纤激光器提供了支撑.
2023, 72 (15): 154206.
doi:10.7498/aps.72.20230758
摘要 +
为了研究易于实现、结构简单的非球面液体透镜结构, 应用介电泳效应, 设计了一款基于平面电极的非球面双液体透镜. 利用Comsol, Matlab和Zemax软件, 建立了所提出的非球面双液体透镜模型, 分析了其在不同电压下的面型变化与成像特点, 并与球面的双液体透镜模型进行了比较分析. 结果表明, 非球面双液体透镜的变焦范围大于球面的, 前者的成像质量亦优于后者. 而且, 通过该非球面双液体透镜的器件制备与初步实验分析, 获得了其成像分辨率可达40.318 lp/mm的结果.
2023, 72 (15): 154207.
doi:10.7498/aps.72.20230459
摘要 +
多模干涉耦合器结构的功率分束器拥有大带宽、较好制造鲁棒性等优势, 长期以来受到人们的关注. 本文提出的是一种基于相变材料In2Se3的超紧凑可调控功率分束器, 尺寸仅有2.4 μm×3.6 μm, 采用1×2的多模干涉耦合器结构, 在不改变其他结构参数的情况下, 采用直接二进制搜索算法对器件进行优化, 仅通过In2Se3的α态与β态的可逆相变, 利用两种晶态之间的高折射率对比度实现了不同的功率分束比. 与其他可调控的功率分束器相比, 本文设计的这种功率分束器结构紧凑、调控简单, 并且具有较好的鲁棒性. 利用该器件在1540—1560 nm的波长范围内实现了1∶1, 1∶1.5, 1∶2三种分束比, 插入损耗分别小于0.27, 0.13和0.17 dB. 证明了这种基于相变材料In2Se3的超紧凑可调控功率分束器在光子集成电路上应用的可能性.
2023, 72 (15): 154301.
doi:10.7498/aps.72.20230522
摘要 +
高聚物黏结炸药(PBX)是一类由炸药造型颗粒高度填充和少量黏结剂构成的复合材料, 其内部裂纹的有效检出对结构完整性评价和安全可靠性评估具有重要意义. PBX因其特殊的细观结构特征呈现出声速低、衰减强的特点, 利用传统线性超声聚焦成像时, 超声波在颗粒边界发生的多重反射会造成重构图像信噪比低, 裂纹特征淹没在背景噪声中, 难以有效识别. 为改善成像信噪比, 提出一种基带非线性合成聚焦(BB-NSF)超声相控阵成像算法, 充分利用全矩阵数据中各通道接收信号的空间相干性, 增强缺陷位置图像强度的同时抑制了背景噪声, 再结合PBX曲面构形特征对算法的延时法则进行修正, 实现了曲面构形PBX不同取向裂纹缺陷的高信噪比成像, 并对重构图像质量和成像效率进行了定量对比评价. 结果表明, BB-NSF算法可有效地抑制背景噪声, 显著地改善PBX裂纹检出能力. BB-NSF算法中的信号空间相干度p是影响图像信噪比的关键参数.p值大于2.0时, PBX裂纹缺陷超声重构图像的信噪比相比于传统的全聚焦成像算法可以提升10 dB以上. 随着p值增加, 重构图像的信噪比可以得到进一步提升, 而计算效率保持稳定, 体现出BB-NSF算法在强衰减复合材料内部缺陷成像方面的优势和应用前景.
2023, 72 (15): 154302.
doi:10.7498/aps.72.20230323
摘要 +
近年来, 基于微泡非线性的造影超声技术得到了长足发展. 对比传统线性超声成像, 非线性造影超声在克服杂波滤除挑战的同时, 能进一步提高成像分辨率. 仿真可为超声成像新机制和技术研究提供有效工具, 是计算声学长期关注重点. 目前广泛采用的声场仿真工具主要基于有限元法、解析法、k空间伪谱法和时域有限差分法等实现. 有关组织非线性参数仿真已有较为成熟的解决方案. 然而, 因未考虑微泡非线性特点, 仍不适于微泡非线性造影超声仿真分析. 本文从微泡非线性出发, 结合经典k空间伪谱法求解组织的超声回波, 进而基于修正Rayleigh-Plesset方程数值计算微泡处的受迫振荡响应, 提出了一种非线性造影超声成像仿真方法. 随后, 结合平面波成像方法, 分别仿真了单个微泡和成簇微泡的B超图像, 并结合不同对比多脉冲序列成像策略(脉冲反转、幅度调制、幅相调制和阵元交替)和不同平面波发射角度验证了方法有效性. 相关技术有助于基于微泡非线性的造影超声技术发展.
2023, 72 (15): 154303.
doi:10.7498/aps.72.20230581
摘要 +
皮质骨是一种高衰减、各向异性、高声阻抗的多层生物组织. 其结构和材料特性导致高频超声难以穿透其多层结构, 从而获取高质量图像. 传统超声动态聚焦成像以均匀声速假设为前提, 且受制于发射能量和帧率, 难以实现多层结构的准确、快速重建, 限制其临床应用的推广. 针对以上问题, 本文提出一种基于相位迁移的平面波骨成像方法(PSM-PW-VI), 实现了皮质骨多层结构的精确和快速重建. 首先利用超声走时反演估计成像区域的声速分布; 然后应用频域相位迁移平面波相干复合方法并行重建上下两个相控阵探头对应的超声图像; 最后将两幅图像融合得到完整的皮质骨超声图像. 仿真、仿体、离体实验共同验证了该方法的有效性. 无论是三层还是五层模型的皮质骨, 其厚度的平均误差均小于0.2 mm, 相对误差小于7%. 此外, 与基于相位迁移合成孔径(PSM-SA)方法相比, 在相同的工作频率下, 该方法具有更深的成像深度和更快的成像速度. 实验结果表明, 该方法是一种准确高效的皮质骨超声成像方法, 对超声骨成像技术的发展和临床研究具有一定的借鉴意义.
2023, 72 (15): 154701.
doi:10.7498/aps.72.20230430
摘要 +
采用格子Boltzmann方法模拟上下壁面驱动的二维梯形空腔流, 并使用GPU-CUDA程序进行加速计算. 主要采用本征正交分解方法, 分析了4种壁面驱动条件的流场模态, 并探究了雷诺数和驱动速度方向对流场形态的影响. 结果表明: 1)当上壁面单驱动(T1a)时, 若雷诺数为1000—8000, 流场处于稳态流动; 雷诺数为8500时, 流场处于周期性非稳态流动; 雷诺数大于10000时, 流场处于非周期非稳态流动. 2)当下壁面单驱动(T1b)时, 若雷诺数在1000—8000之间, 流场处于稳态流动; 雷诺数增大至11500时, 流场处于周期性非稳态流动; 雷诺数大于12500时, 流场进入非周期非稳态流动. 3)当上下壁面同方向同速度双驱动(T2a)时, 若雷诺数在1000—10000区间, 流场均为稳态流动; 雷诺数为12500—15000时, 流场处于周期性非稳态流动; 当雷诺数大于20000时, 流场为非周期非稳态流动. 4)当上下壁面反方向同速度双驱动(T2b)时, 若雷诺数在1000—5000之间, 流场处于稳态流动; 雷诺数为6000时, 流场处于周期性非稳态流动; 雷诺数大于8000时, 流场为非周期非稳态流动.
气体、等离子体和放电物理
2023, 72 (15): 155201.
doi:10.7498/aps.72.20230676
摘要 +
开展了预混甲烷(CH4)和空气的微波等离子体放电燃烧实验, 研究火焰余辉形态、光谱分布和温度特性随着微波功率、燃空当量比和轴向观测位置的变化规律. 实验发现预混CH4/Air的稀薄燃烧极限当量比Φ= 0.4; 在微波等离子体放电时, 当Φ< 0.4, 以放电诱导的燃烧过程为主要特征, 而当Φ≥ 0.4时, 等离子体放电燃烧的中心区会明显收缩并逐渐出现丝状放电, 这里低约化场强区的燃烧和高约化场强区的放电燃烧相互影响. 利用发射光谱仪测得预混CH4/Air微波等离子体放电燃烧光谱的特征谱带, OH(A-X), NH(A-X)和CN(B-X), 沿着轴向空间位置的强度分布和随着当量比的变化, 发现了轴向上近余辉的等离子体放电燃烧区和远余辉的燃烧区, 并通过分析CN(B-X)振转谱带的强度分布, 计算得到振动与转动温度, 发现以Φ= 0.4为分界点形成两种不同的随当量比变化规律. 最后, 根据CH4扩散燃烧火焰、CH4/N2混合气体等离子体放电以及CH4/Air混合气体等离子体放电燃烧的发射光谱对比分析讨论了等离子体增强燃烧过程中的反应路径和机理.
2023, 72 (15): 155202.
doi:10.7498/aps.72.20230463
摘要 +
雪犁模型是描述预填充模式下同轴枪放电装置加速过程的主要手段, 其能够直接给出枪内等离子体轴向速度与加速时间的解析关系式, 因此在面向不同应用需求的装置结构设计中成为了重要的参考依据. 通过理论推导及光、电、磁信号的测量, 本文对比分析了不同充电电压与预填充气压条件下在加速阶段及喷口处等离子体的理论与实验速度, 并给出了雪犁模型的优化方法. 首先, 用实测电流来替代近似的正弦电流, 有效消除了磁压力计算误差对模型准确性的影响. 其次, 随着加速距离的延长, 喷口处等离子体速度的饱和现象开始出现, 摩擦阻力的存在是其主导的形成原因. 相比于现有模型25.8%—53.6%的偏差范围, 添加摩擦阻力项后不同电压和气压下的理论与实测速度的差值仅为3.1%—8.4%.
凝聚物质:结构、力学和热学性质
2023, 72 (15): 156201.
doi:10.7498/aps.72.20230606
摘要 +
熔石英光学元件是惯性约束核聚变点火装置的核心部件, 由于该装置严苛的点火条件对高功率激光的需求, 熔石英光学元件在强激光下的损伤是制约点火装置运行的关键. 因此, 研究激光辐照下熔石英的表面损伤对惯性约束核聚变点火装置的研制至关重要. 本文采用大规模非平衡分子动力学模拟方法和适用于动态过程的微结构分析技术, 研究激光加载下熔石英表面的损伤过程, 基于理论研究的高温等离子体火球模型模拟高温熔石英等离子体球对熔石英表面的破坏, 通过跟踪局域结构、温度分布和表面形貌状态, 分析影响熔石英表面损伤的因素. 研究表明, 高温熔石英球的尺寸、距表面的距离和温度都对熔石英表面的破坏具有重要的影响. 本文可为认识激光辐照下熔石英中复杂的损伤过程提供指导.
2023, 72 (15): 156301.
doi:10.7498/aps.72.20230626
摘要 +
采用精确的Muffin-Tin轨道结合相干势近似方法, 系统计算研究了0 K下Co和Ni过量对Co2+xNi1–xGa, Co2+xNiGa1–x, Co2–xNi1+xGa和Co2Ni1+xGa1–x(0 ≤x≤ 0.4)合金晶体结构及原子占位、马氏体相变、磁矩和弹性常数的影响规律及其物理机理. 研究结果表明: 绝大多数合金奥氏体相均具有XA稳定结构, 且过量Co和Ni原子均占据在不足原子位置, 仅当Ni取代Ga时其处于反常占位; 随x的增加, 仅有两组Ga不足合金的L10相对于XA的电子总能逐渐降低, 前者四方剪切弹性常数逐渐增加, 而后者其则逐渐减小, 在能量和力学上Co和Ni取代Ga均促进了马氏体相变的发生, 并有望提高马氏体相变温度; 各合金XA和L10相总磁矩(μtot)主要源于Co原子的贡献, Ni原子仅贡献较小部分, 且两相μtot在四组合金中随x变化关系相同, 在同一组分下, 它们相差不超过约0.32μB; 电子结构计算分析表明, 相对于XA相而言,L10-Co2NiGa合金的稳定性主要源于Co和Ni原子在费米能级附近自旋向下的电子态密度分布, 即归结于Jahn-Teller效应. 上述结果有望为实验上Co2NiGa基三元合金结构与性能的优化设计提供理论参考.
凝聚物质:电子结构、电学、磁学和光学性质
2023, 72 (15): 157201.
doi:10.7498/aps.72.20230527
摘要 +
高性能硅基太赫兹调制器是构建超宽带太赫兹-光纤混合通信系统的关键器件之一. 提出了一种基于钙钛矿/石墨烯/硅(MAPbI3/Graphene/Si)复合结构的近红外光驱动的超宽带大调制深度太赫兹调制器. 实验结果表明, 石墨烯薄膜和钙钛矿空穴传输层在近红外光驱动下可有效地促进界面电荷分离, 增大载流子复合寿命, 显著增强器件的表面电导率, 进一步调控太赫兹波的传输幅度, 实现光控型太赫兹波调制器的功能. 通过波长808 nm的近红外调制激励源, 对器件在0.2—2.5 THz超宽频率范围的太赫兹透射特性进行表征, 实验用6.1 mW/mm2的低功率密度近红外光驱动下实现了高达88.3%的大调制深度, 远高于裸硅基底的调制深度(约14.0%), 具有高灵敏、宽带和大调制深度等显著优势, 并且建立了相应的半解析器件模型, 仿真验证了实验结果. 所提出的MAPbI3/Graphene复合薄膜在增强硅基调制器性能方面效果显著, 为未来实现硅基太赫兹调制器在近红外太赫兹-光纤混合通信系统的集成提供了一种新策略.
编辑推荐
2023, 72 (15): 157202.
doi:10.7498/aps.72.20230483
摘要 +
采用三带紧束缚模型和非平衡格林函数的方法理论研究了铁磁电极单层之字形二硫化钼纳米带量子结构中的自旋电子输运性质. 结果发现, 由于铁磁电极的磁交换作用与散射区域电场共同影响, 可获得能量依赖的100%自旋极化, 得到纯的自旋流. 这表明在该结构通过调控入射能可以实现自旋电子开关效应. 此外, 还发现当电导完全自旋极化时, 磁交换场强度可以对巨磁阻效应进行有效的调控. 该工作可为基于单层二硫化钼纳米带设计巨磁阻器件以及自旋过滤器提供理论参考.
编辑推荐
2023, 72 (15): 157301.
doi:10.7498/aps.72.20230502
摘要 +
石墨烯的能带工程是当前凝聚态物理的热点问题, 旨在费米能级处打开能隙. 另外实验报道石墨烯存在多种线缺陷, 但人们尚未讨论线缺陷与石墨烯能带工程间的关系. 本文采用Landauer-Büttiker公式及格林函数方法, 研究了三种4-8环线缺陷随机排列方式对石墨烯纳米带电输运的影响. 计算结果发现: 尽管4-8环线缺陷随机分布的石墨烯纳米带在费米能级处存在电子态, 但该电子态为局域态且体系在费米能级处存在透射能隙, 这是由线缺陷随机排列诱导产生结构无序进而引起的Anderson局域化现象. 当线缺陷无序程度较低或纳米带宽度较窄时, 石墨烯纳米带的透射能隙依赖4-8环线缺陷的随机排列方式; 随着线缺陷无序程度的增强或纳米带宽度的增加, 三种线缺陷石墨烯纳米带的透射能隙趋于一致. 总之, 4-8环线缺陷随机分布的石墨烯纳米带具有透射能隙, 该能隙对线缺陷的排列方式、无序程度及纳米带宽度均表现稳健性.
编辑推荐
2023, 72 (15): 157302.
doi:10.7498/aps.72.20230411
摘要 +
近年来, 神经形态器件的研究受到了人们的广泛关注, 正在成为人工智能技术发展的重要分支. 与此同时, 天然生物材料具有可降解性、良好的生物相容性、无毒性等多种优势, 在新型便携式智能系统中有重要应用价值. 本文采用蛋壳膜(ESM)作为电解质, 具有极高的室温质子电导率(~6.4×10–3S/cm)和极高的室温双电层电容(~2.8 µF/cm2), 因此其具有极强的界面双电层静电调控能力. 以此为基础, 研制了氧化铟锡双电层晶体管, 器件具有优异的电学特性. 基于ESM独特的界面双电层调控特性, 在器件上实现了一些重要仿生突触塑性行为, 如兴奋性突触后电流、双脉冲易化和突触滤波. 通过施加突触刺激, 实现了器件的多重突触权重更新. 在此基础上采用人工神经网络实现了手写数字的模式识别, 最佳识别精度约高达92.59%. 因此, 提出的ESM栅控氧化物神经形态晶体管在低成本生物可降解神经形态系统中有一定的应用潜力.
编辑推荐
2023, 72 (15): 157401.
doi:10.7498/aps.72.20230730
摘要 +
量子自旋液体是一种由于自旋阻挫直到零温都不能形成磁有序的新奇量子态, 并且和高温超导密切相关, 因此, 能否通过压力或化学掺杂等方式在量子自旋液体材料中调控出超导态甚至高温超导是一个重要的物理问题. 二维三角晶格稀土硫属化合物NaYbCh2(Ch = O, S, Se)在比热、核磁共振、中子散射等实验中未出现长程磁有序, 被认为可能具有量子自旋液体基态. 本文研究了NaYbCh2(Ch = Se, S, O)在压力下的电输运行为. 对于NaYbSe2, 当压力加到26.9 GPa时出现超导转变, 表现出零电阻行为, 其超导转变温度(Tc)约为5.6 K, 并且直到45 GPa都保持基本不变, 得出了其超导转变温度对压力的相图; 对于NaYbS2, 压力使其室温电阻从10 GPa下1011Ω量级降低到67 GPa的10 Ω量级, 然而其电阻随温度行为没有出现金属性, 也没有发生超导转变; 而对于NaYbO2, 其从常压到60 GPa高压一直保持完全绝缘态, 没有可观测的电阻.
2023, 72 (15): 157501.
doi:10.7498/aps.72.20230866
摘要 +
利用正、负磁致伸缩系数材料(Terfenol-D, Ni)对相同应变的响应差异, 提出了一种基于异质多铁结构全局应变时钟的纳磁体择多逻辑门, 设计了“高应力启动-低应力计算”的两步择多计算模式, 使用MuMax3微磁学仿真软件建立了该器件的微磁学模型, 并研究了其能量演化情况和周期能耗. 仿真结果表明: 异质多铁结构全局应变时钟纳磁体择多逻辑门能够成功地对任意的3端输入组合连续执行择多计算; 应用两步择多计算模式, 该器件计算正确率可达100%, 其执行连续计算的周期为2.75 ns, 周期能耗约64 aJ. 研究发现: 应力各向异性能和偶极子耦合能变化引起的能量势阱变化是决定该器件磁化动力学行为的主要原因. 本文研究结果可为纳米磁逻辑电路的设计提供重要指导.
编辑推荐
2023, 72 (15): 157801.
doi:10.7498/aps.72.20230543
摘要 +
飞秒激光脉冲辐照在Pt/CoFe/Ta铁磁异质结上, 导致铁磁层中磁化强度超快淬灭并产生瞬态自旋流. 自旋流向重金属层扩散, 基于逆自旋霍尔效应在重金属层中转换成瞬态电荷流, 产生宽带远红外脉冲辐射. 本文通过两方面实验, 研究飞秒激光的光热效应对铁磁异质结产生远红外辐射的调控. 首先, 通过改变外加磁场的大小和方向, 研究远红外辐射脉冲振幅-磁场的磁滞回线. 与振动样品磁力计测量的磁滞回线相比, 远红外辐射脉冲振幅-磁场的磁滞回线表现出更小的矫顽力. 增大抽运光的能量密度, 发现样品的矫顽力进一步下降. 其次, 对Pt/CoFe/Ta三层异质结进行正向磁化饱和后施加一个反向的小磁场, 实验发现当入射的激光能量密度超过1.43 mJ/cm2时, 远红外辐射脉冲信号发生极性的反转. 上述两个实验结果不仅阐明飞秒激光脉冲的光热效应, 也为基于电子自旋的远红外辐射脉冲的调控提供新方法.
2023, 72 (15): 157901.
doi:10.7498/aps.72.20230537
摘要 +
为了探究氮化镓/石墨烯/碳化硅异质界面热输运特性, 采用非平衡分子动力学方法从温度、尺寸以及空位缺陷三个方面研究其对界面热导的影响, 通过声子态密度和声子参与率对界面热导的变化进一步阐述分析. 研究表明: 温度升高使界面热导增大, 分析认为随着温度升高晶格振动加剧, 低频声子态密度变大, 参与热输运声子数量增加; 其中单层石墨烯层结构界面热导的改变要高于多层石墨烯结构的界面热导. 当热输运方向的结构尺寸变化时, 同时改变氮化镓和碳化硅的层数, 界面热导无明显变化, 界面热输运声子散射几乎不受影响; 但中间石墨烯层从1层增加至5层时, 界面热导率先减小后缓慢增大, 由于在4层时低频声子参与率变小, 更多的声子局域化, 不参与传热声子数量更多, 故界面热导到达最小值0.021 GW/(m2·K). 随空位缺陷浓度增加界面热导先逐步增大后减小, 区别在于单空位缺陷在浓度为10%时, 界面热导达到最大值0.064 GW/(m2·K); 而双空位缺陷在浓度为12%时, 界面热导率达到最大值0.065 GW/(m2·K), 分析认为更多的声子从局域进入离域, 参与该传热声子较多, 导致界面热导增大. 研究结果有助于调控氮化镓器件的热输运性能, 可以为异质界面器件的设计提供理论依据.
物理学交叉学科及有关科学技术领域
2023, 72 (15): 158301.
doi:10.7498/aps.72.20230118
摘要 +
钾离子通道作为细胞中阳离子浓度的调节器之一, 在神经细胞动作电位去极化及复极化过程中起着重要作用. KcsA(K+conduction and selectivity architecture)通道结构简单又具有钾离子通道的共性, 常作为钾通道研究的模板. 本文采用布朗动力学数值方法, 系统地对KcsA钾通道的电学特性进行模拟. 得到静电场作用下通道内离子的平均势能分布、均匀与非均匀溶液的电流-电压特性曲线、通道轴向的离子浓度分布曲线以及电导-浓度曲线. 研究结果发现, KcsA钾离子通道选择性过滤区域几乎完全阻隔了Cl–通过, 呈现倾向于K+通过的特异选择特性; 其电流-电压曲线基本呈线性分布, 电导-浓度曲线呈现先增大后平缓的趋势, 基本规律与实验现象一致. 另外, 还模拟分析了太赫兹场对通道K+电流的影响, 相比于仅施加同幅值静电场, 选定的0.6 THz, 1.2 THz, 5 THz的太赫兹场可通过影响离子对之间的相互作用势能, 降低通道平均力势, 从而增大K+电流. 本文的研究不但加深了对于KcsA钾离子通道的规律性认识, 还为其他类型离子通道以及太赫兹场对离子通道特性影响的研究提供了新思路.
2023, 72 (15): 158701.
doi:10.7498/aps.72.20230471
摘要 +
提出了一种基于双开缝环结构的半反射和半透射双偏振超宽带太赫兹超表面, 能实现光束偏折和生成涡旋光束. 该超表面单元结构仅由附着在超薄介质层上的金属双开缝环构成, 在超宽频带范围内同时调控反射和透射太赫兹圆偏振(circular polarization, CP)波和线偏振( linear polarization, LP)波. 基于传输相位和几何相位理论, 改变开缝环的大小和旋转方向, 在0.3—1.2 THz范围内可以实现透射和反射的正交LP波和CP波在0—2π相移全覆盖, 对应的正交LP波和CP波平均幅值为0.45的相对带宽分别达到86%和120%. 本文特别设计了全空间超表面模型, 实现了LP波和CP波光束偏折与生成涡旋光束. 这些研究有助于全空间多功能太赫兹超表面器件的实现和实际应用.
编辑推荐
2023, 72 (15): 158702.
doi:10.7498/aps.72.20230533
摘要 +
不同结构类型的蛋白质的力学稳定性和去折叠动力学有显著的差异, 其中全部由α螺旋构成的蛋白质通常在较小的拉力作用下就会发生快速去折叠, 需要能够精准控制皮牛量级拉力的实验手段来进行定量研究. 酰基辅酶A结合蛋白(ACBP)是一种研究全α螺旋结构蛋白折叠/去折叠动力学性质的模型蛋白, 其由86个氨基酸残基形成一种由4个α螺旋组成的螺旋束结构. 本文利用磁镊对ACBP进行了恒定力加载速率的拉伸实验, 得到了不同力加载速率下的去折叠力的分布. 不同数据分析方法都显示ACBP具有超长的去折叠距离. 对比分子动力学模拟拉伸的结果, ACBP的过渡态中整个N端α螺旋和部分的C端α螺旋发生了去折叠转变. 本研究显示单分子拉伸实验与分子动力学模拟相结合是揭示蛋白质构象转变的分子机制的可靠研究方法.
编辑推荐
2023, 72 (15): 158801.
doi:10.7498/aps.72.20230593
摘要 +
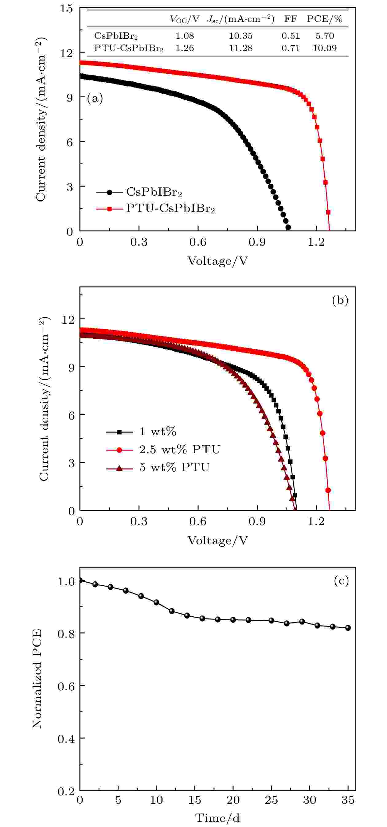
无机CsPbIBr2钙钛矿具有较高的稳定性和适合的带隙, 因此是一种较有应用前景的太阳能电池光吸收材料. 高质量的CsPbIBr2钙钛矿膜是组装高性能CsPbIBr2钙钛矿太阳能电池的关键. 本文通过在CsPbIBr2前驱体中加入苯基硫脲(PTU)调控前驱体反应结晶过程, 制备高质量的CsPbIBr2钙钛矿膜. 由于PTU与CsPbIBr2前驱体组分间存在较强的相互作用, 因此加入PTU导致在前驱体中形成PTU·Pb···Br(I)中间相. PTU·Pb···Br(I)中间相能够降低CsPbIBr2钙钛矿成核速率, 调控结晶生长过程, 从而制备了晶粒尺寸大、结晶度高、缺陷少的高质量CsPbIBr2钙钛矿膜. 同时, 前驱体热处理结晶过程中, PTU分解使S2–嵌入CsPbIBr2钙钛矿晶格, 显著提高了CsPbIBr2钙钛矿的稳定性. 本文所组装的碳基钙钛矿太阳能电池光电转换效率达到10.09%. 未密封电池在空气环境中贮存35 d, 效率仍能保持初始值的82%, 表明具有较高的稳定性.
地球物理学、天文学和天体物理学
2023, 72 (15): 159101.
doi:10.7498/aps.72.20230194
摘要 +
传统的波动方程线性化近似理论, 如一阶Born近似或Rytov近似等, 均隐含“弱散射”假设, 因此仅适用于弱扰动模型. 为克服“弱散射”假设的制约并将波动方程线性化近似理论推广至强扰动模型中, 提出了适用于预测前向散射波相位扰动的保相位理论. 通过将标量声波方程Rytov变换得到的非线性Ricatti方程中关于未知解(即散射场复相位)的积分, 在Wentzel-Kramers-Brillouin-Jeffreys (WKBJ)近似下转化为对散射角和模型扰动的积分, 给出了前向散射场相位扰动的显式积分表达. 理论推导表明: 对于一维波传播问题, 保相位理论可以精确预测任意速度扰动模型中前向散射波的相位扰动. 对于小角度前向散射, 保相位理论可以进行线性化近似, 得到广义Rytov近似. 数值实验表明, 对于高维问题, 相比于一阶Rytov近似, 广义Rytov近似可以更好地预测前向小角度散射场的相位扰动, 且适用于强速度扰动模型. 广义Rytov近似拓展了Rytov近似的成立条件和适用范围, 可以直接应用于地震层析成像及医学超声透射成像中, 从而降低层析反问题对初始模型的依赖性并加速反演收敛.
2023, 72 (15): 159401.
doi:10.7498/aps.72.20230276
摘要 +
高约束模式是先进托卡马克装置的首选运行方式, 但边界局域模的爆发会使沉积到偏滤器靶板的热负荷急剧增大, 导致靶板温度迅速上升, 表面热电子发射增强. 本文采用一维流体模型模拟了热电子发射对磁化鞘层特性的影响. 结果表明, 在热电子发射的作用下, 靶板的悬浮电势幅值减小, 电场强度减弱. 大量的热发射电子离开靶板, 使得在靶板附近出现净电荷密度为负的区域, 将磁化鞘层划分为离子鞘和电子鞘两部分. 在电子鞘中, 随着靶板表面温度的升高, 靶板前累积的电子增多, 电势分布呈现非单调性, 出现虚拟阴极结构. 靶板附近形成的反向电场会限制热发射电子离开靶板, 离子运动减速, 导致沉积到靶板的离子能量降低. 随着磁场与靶板法线夹角的增大, 磁化鞘层总电势降变大, 虚拟阴极电势降低, 磁化鞘层中电子鞘的占比增加, 形成虚拟阴极所需的靶板温度升高.




