-
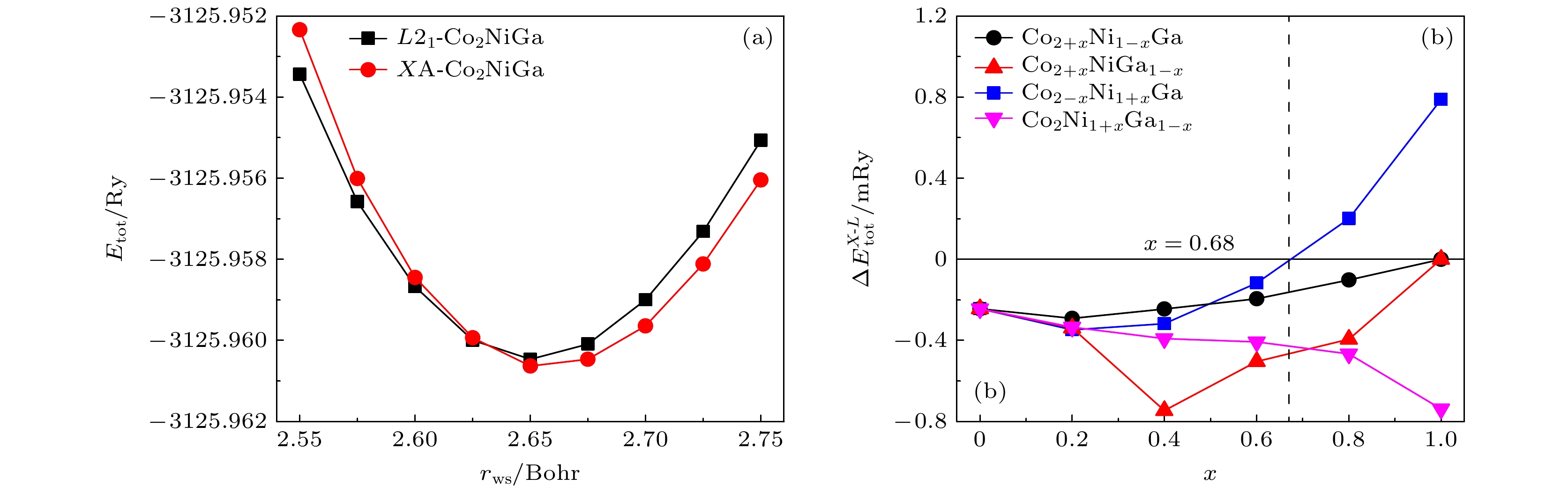
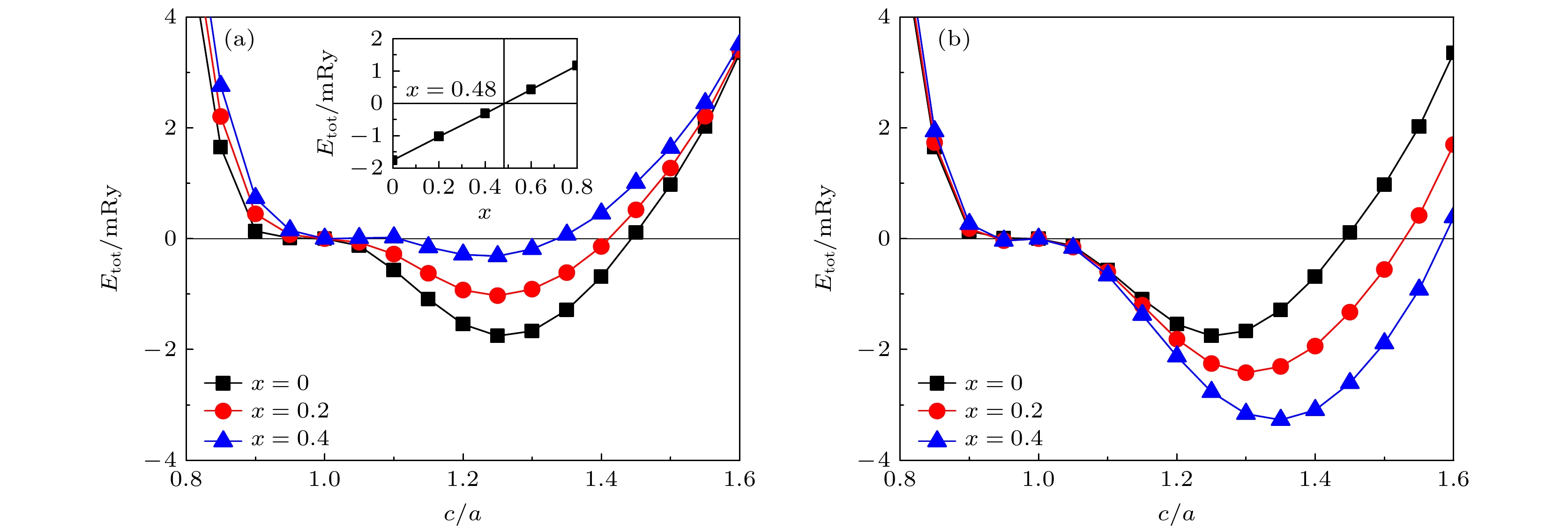
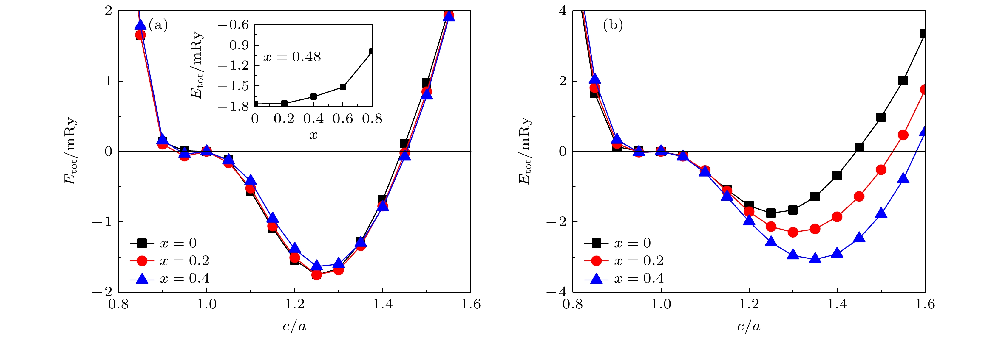
采用精确的Muffin-Tin轨道结合相干势近似方法, 系统计算研究了0 K下Co和Ni过量对Co 2+xNi 1–xGa, Co 2+xNiGa 1–x, Co 2–xNi 1+xGa和Co 2Ni 1+xGa 1–x(0 ≤ x≤ 0.4)合金晶体结构及原子占位、马氏体相变、磁矩和弹性常数的影响规律及其物理机理. 研究结果表明: 绝大多数合金奥氏体相均具有 XA稳定结构, 且过量Co和Ni原子均占据在不足原子位置, 仅当Ni取代Ga时其处于反常占位; 随 x的增加, 仅有两组Ga不足合金的 L1 0相对于 XA的电子总能逐渐降低, 前者四方剪切弹性常数逐渐增加, 而后者其则逐渐减小, 在能量和力学上Co和Ni取代Ga均促进了马氏体相变的发生, 并有望提高马氏体相变温度; 各合金 XA和 L1 0相总磁矩( μ tot)主要源于Co原子的贡献, Ni原子仅贡献较小部分, 且两相 μ tot在四组合金中随 x变化关系相同, 在同一组分下, 它们相差不超过约0.32 μ B; 电子结构计算分析表明, 相对于 XA相而言, L1 0-Co 2NiGa合金的稳定性主要源于Co和Ni原子在费米能级附近自旋向下的电子态密度分布, 即归结于Jahn-Teller效应. 上述结果有望为实验上Co 2NiGa基三元合金结构与性能的优化设计提供理论参考.Using the first-principles exact muffin-tin orbital method combined with the coherent potential approximation, the crystal structure and site occupation, martensitic transformation, magnetic moment and elastic constant for each of Co 2+xNi 1–xGa, Co 2+xNiGa 1–x, Co 2–xNi 1+xGa and Co 2Ni 1+xGa 1–x(0 ≤ x≤ 0.4) alloys with Co and Ni excess at 0 K are systematically investigated. It is shown that most of the austenitic phases of the alloys have XA stable structure, and the excess Co and Ni atoms occupy the insufficient atomic positions, and it is inversely occupied only when Ni replaces Ga. With the increase of x, the total electron energy of L1 0relative to XA of only two Ga-insufficient alloys gradually decreases, for the former, the tetragonal shear elastic constant gradually increases, but for the latter, it gradually decreases. It is indicated that the martensitic transformation is promoted by the substitution of both Co and Ni for Ga in the energy and mechanics, and the martensitic transformation temperature is expected to increase. The values of total magnetic moment ( μ tot) of the XA phase and L1 0phase of each alloy are mainly contributed by Co atoms, but onlya relatively small portion by Ni atoms. And the values of μ totof two phases in the four alloys have the same relationship with x, and the difference between them with the same compositions is not more than about 0.32 μ B. The analyses of electronic structure calculations show that the distributions of spin-down electronic density of states of Co and Ni atoms near the Fermi energy level have contributed significantly to the stability of L1 0relative to the XA phase, which is attributed to the Jahn-Teller effect. The above results are expected to provide a theoretical reference for the optimal design of the structure and properties of Co 2NiGa-based ternary alloys.
[1] [2] [3] [4] [5] [6] [7] [8] [9] [10] [11] [12] [13] [14] [15] [16] [17] [18] [19] [20] [21] [22] [23] [24] [25] [26] [27] [28] [29] [30] [31] [32] [33] [34] [35] [36] [37] [38] [39] [40] [41] [42] [43] -
Alloys Site occupancy ∆Etot/mRy $ \Delta {E'_{{\text{tot}}}} $/mRy V/(Å3·atom–1) μtot/μB Co2.2Ni0.8Ga Co2(Ni0.8Co0.2)Ga 0 0 11.706 3.064 Co2(Ni0.8Ga0.2)(Ga0.8Co0.2) 5.395 5.568 11.801 3.356 Co2.2NiGa0.8 Co2Ni(Ga0.8Co0.2) 0 0 11.630 3.488 Co2(Ni0.8Co0.2)(Ga0.8Ni0.2) 0.688 0.211 11.624 3.402 Co1.8Ni1.2Ga (Co0.8Ni0.2)CoNiGa 0 0 11.700 2.539 Co(Co0.8Ni0.2)NiGa 0.317 0.681 11.710 2.559 (Co0.8Ga0.2)CoNi(Ga0.8Ni0.2) 2.441 1.953 11.748 2.569 Co(Co0.8Ga0.2)Ni(Ga0.8Ni0.2) 5.791 5.798 11.855 2.798 Co2Ni1.2Ga0.8 Co2Ni(Ga0.8Ni0.2) 0 0 11.607 3.167 (Co0.8Ni0.2)CoNi(Ga0.8Co0.2) –1.023 –0.617 11.648 3.253 Co(Co0.8Ni0.2)Ni(Ga0.8Co0.2) –0.717 –0.153 11.615 3.255 Alloys e/a XA L10 V/Å3 n/Å–3 V/Å3 c/a Co2NiGa 7.0 11.706 0.598 11.629 1.260 11.650[32] 0.601[32] 11.550[32] — Co2.1Ni0.9Ga 6.9 11.709 0.590 11.630 1.254 Co2.2Ni0.8Ga 6.8 11.706 0.581 11.630 1.248 Co2.3Ni0.7Ga 6.7 11.700 0.573 11.628 1.242 Co2.4Ni0.6Ga 6.6 11.694 0.564 11.627 1.236 Co2.1NiGa0.9 7.6 11.661 0.652 11.579 1.282 Co2.2NiGa0.8 8.2 11.630 0.705 11.525 1.305 Co2.3NiGa0.7 8.8 11.494 0.766 11.466 1.326 Co2.4NiGa0.6 9.4 11.458 0.820 11.405 1.344 Co1.9Ni1.1Ga 7.1 11.710 0.606 11.634 1.260 Co1.8Ni1.2Ga 7.2 11.700 0.615 11.635 1.263 Co1.7Ni1.3Ga 7.3 11.698 0.624 11.636 1.266 Co1.6Ni1.4Ga 7.4 11.691 0.633 11.637 1.269 Co2Ni1.1Ga0.9 7.7 11.660 0.660 11.580 1.284 Co2Ni1.2Ga0.8 8.4 11.648 0.721 11.525 1.306 Co2Ni1.3Ga0.7 9.1 11.445 0.795 11.467 1.327 Co2Ni1.4Ga0.6 9.8 11.439 0.857 11.405 1.346 -
[1] [2] [3] [4] [5] [6] [7] [8] [9] [10] [11] [12] [13] [14] [15] [16] [17] [18] [19] [20] [21] [22] [23] [24] [25] [26] [27] [28] [29] [30] [31] [32] [33] [34] [35] [36] [37] [38] [39] [40] [41] [42] [43]
计量
- 文章访问数:2711
- PDF下载量:79
- 被引次数:0












下载:






