-
采用格子Boltzmann方法模拟上下壁面驱动的二维梯形空腔流, 并使用GPU-CUDA程序进行加速计算. 主要采用本征正交分解方法, 分析了4种壁面驱动条件的流场模态, 并探究了雷诺数和驱动速度方向对流场形态的影响. 结果表明: 1)当上壁面单驱动(T1a)时, 若雷诺数为1000—8000, 流场处于稳态流动; 雷诺数为8500时, 流场处于周期性非稳态流动; 雷诺数大于10000时, 流场处于非周期非稳态流动. 2)当下壁面单驱动(T1b)时, 若雷诺数在1000—8000之间, 流场处于稳态流动; 雷诺数增大至11500时, 流场处于周期性非稳态流动; 雷诺数大于12500时, 流场进入非周期非稳态流动. 3)当上下壁面同方向同速度双驱动(T2a)时, 若雷诺数在1000—10000区间, 流场均为稳态流动; 雷诺数为12500—15000时, 流场处于周期性非稳态流动; 当雷诺数大于20000时, 流场为非周期非稳态流动. 4)当上下壁面反方向同速度双驱动(T2b)时, 若雷诺数在1000—5000之间, 流场处于稳态流动; 雷诺数为6000时, 流场处于周期性非稳态流动; 雷诺数大于8000时, 流场为非周期非稳态流动.
-
关键词:
- 格子Boltzmann方法/
- 梯形空腔/
- 双壁面驱动/
- GPU-CUDA计算
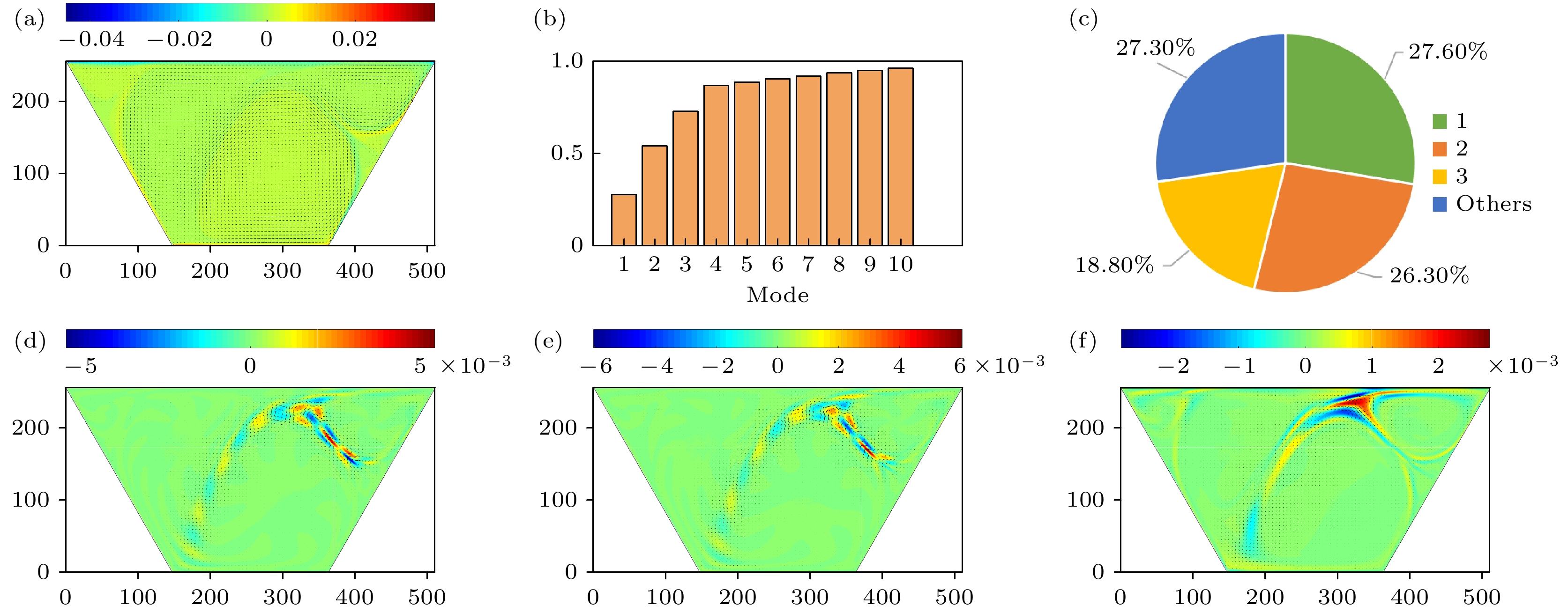
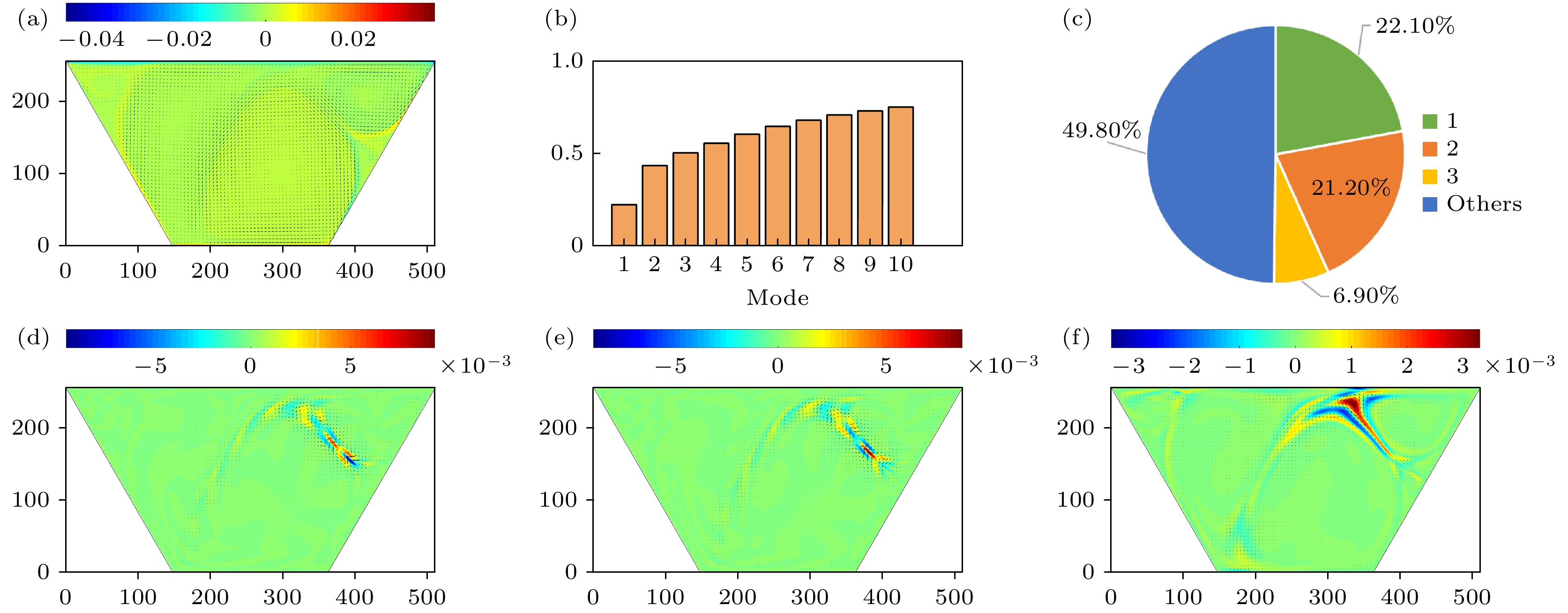
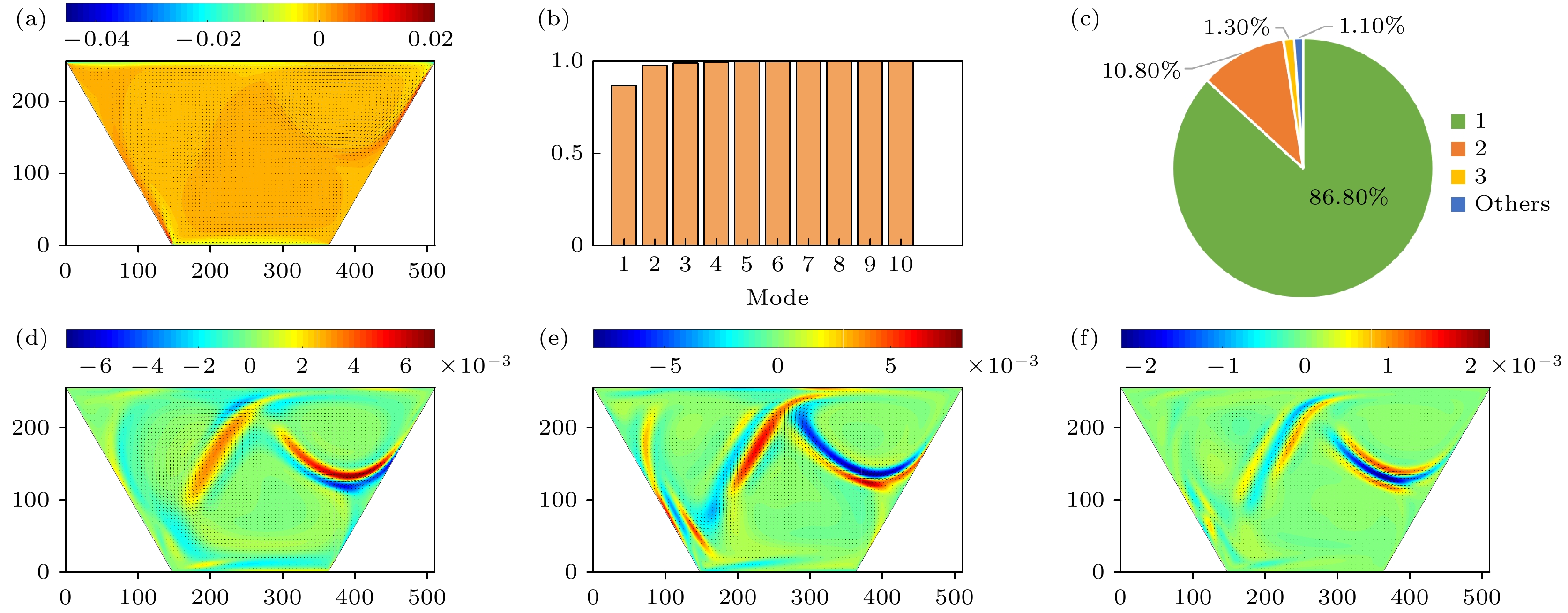
In this study, we utilize the lattice Boltzmann method to investigate the flow behavior in a two-dimensional trapezoidal cavity, which is driven by both sides on the upper wall and lower wall. Our calculations are accelerated through GPU-CUDA software. We conduct an analysis of the flow field mode by using proper orthogonal decomposition. The effects of various parameters, such as Reynolds number ( Re) and driving direction, on the flow characteristics are examined through numerical simulations. The results are shown below. 1) For the upper wall drive (T1a), the flow field remains stable, when the Revalue varies from 1000 to 8000. However, when Re= 8500, the flow field becomes periodic but unstable. The velocity phase diagram at the monitoring point is a smooth circle, and the energy values of the first two modes dominate the energy of the whole field. Once Reexceeds 10000, the velocity phase diagram turns irregular and the flow field becomes aperiodic and unsteady. 2) For the lower wall drive (T1b), the flow is stable when Revalue is in a range of 1000-8000, and it becomes periodic and unsteady when Re= 11500. The energy values of the first three modes appear relatively large. When Reis greater than 12500, the flow field becomes aperiodic and unsteady. At this time, the phase diagram exhibits a smooth circle, with the energy values of the first two modes almost entirely dominating the entire energy. 3) For the case of upper wall and lower wall moving in the same direction at the same speed (T2a), the flow field remains stable when Rechanges from 1000 to 10000. When Revaries from 12500 to 15000, the flow becomes periodic and unstable. The velocity phase diagram is still a smooth circle, with the first two modes still occupying a large portion of the energy. Once Reexceeds 20000, the energy proportions of the first three modes significantly decrease, and the flow becomes aperiodic and unsteady. 4) For the case in which the upper wall and lower wall are driven in opposite directions at the same velocity (T2b), the flow field remains stable when Rechanges from 1000 to 5000. When Re= 6000, the energy of the first mode accounts for 86%, and the flow field becomes periodic but unstable. When Reexceeds 8000, the energy proportions of the first three modes decrease significantly, and the flow field becomes aperiodic and unsteady.[1] [2] [3] [4] [5] [6] [7] [8] [9] [10] [11] [12] [13] [14] [15] [16] [17] [18] [19] [20] [21] [22] [23] [24] [25] [26] [27] [28] [29] [30] [31] [32] [33] [34] [35] [36] [37] [38] [39] [40] [41] -
计算方式 CPU OpenAcc CUDA 加速比(CPU/OpenAcc) 加速比(CPU/CUDA) 计算时间/s 6459.28 408.75 48.95 15.80 131.96 Re $x_1$ $y_1$ $x_2$ $y_2$ $x_{\rm 2 l}$ $x_{\rm 2 r}$ $y_{\rm 2 l}$ $y_{\rm 2 r}$ 100 Zhang et al.[37] 0.5721 0.4212 — — — — Present 0.5722 0.4210 — — — — Error/% 0.03 0.05 — — — — 1000 Zhang et al.[37] 0.5473 0.3558 0.3423 0.0180 0.6351 0.0450 Present 0.5479 0.3561 0.3428 0.0179 0.6370 0.0451 Error/% 0.11 0.09 0.15 0.42 0.30 0.12 3200 Zhang et al.[37] 0.714 0.4392 0.3378 0.3491 0.4504 0.0788 Present 0.7225 0.4448 0.3427 0.3432 0.4539 0.0809 Error/% 1.18 1.28 1.46 1.70 0.77 2.66 Re $x_1$ $y_1$ $x_2$ $y_2$ $x_3$ $y_3$ $x_{\rm 2 l}$ $x_{\rm 2 r}$ $y_{\rm 2 l}$ $y_{\rm 2 r}$ $x_{\rm 3 l}$ $x_{\rm 3 r}$ $y_{\rm 3 l}$ $y_{\rm 3 r}$ 1000 286.89 148.44 153.65 358.66 9.93 11.39 — — — — 3200 359.03 180.97 163.84 158.09 142.90 15.17 — — — — 5000 192.02 134.52 241.44 384.21 241.30 192.66 155.94 347.52 13.77 25.36 6000 200.42 132.50 261.28 393.16 242.12 196.81 155.06 353.98 12.93 35.50 8000 210.51 130.69 290.17 405.75 243.39 202.60 154.62 358.04 12.48 37.51 Re $x_1$ $y_1$ $x_2$ $y_2$ $x_3$ $y_3$ $x_{\rm 2 l}$ $x_{\rm 2 r}$ $y_{\rm 2 l}$ $y_{\rm 2 r}$ $x_{\rm 3 l}$ $x_{\rm 3 r}$ $y_{\rm 3 l}$ $y_{\rm 3 r}$ 1000 282.15 113.99 102.26 426.01 194.18 207.84 17.85 492.65 237.54 247.61 3200 280.78 118.95 110.43 412.34 158.93 218.72 25.99 487.95 229.41 245.42 5000 280.79 118.95 110.43 412.34 158.95 218.72 25.97 487.81 229.78 245.57 6000 280.79 118.95 110.43 412.34 158.94 218.73 26.10 487.84 229.99 245.57 8000 283.22 121.00 121.00 408.63 117.03 222.46 61.80 469.33 210.11 233.00 Re $x_1$ $y_1$ $x_2$ $y_2$ $x_3$ $y_3$ $x_{\rm 2 l}$ $x_{\rm 2 r}$ $y_{\rm 2 l}$ $y_{\rm 2 r}$ $x_{\rm 3 l}$ $x_{\rm 3 r}$ $y_{\rm 3 l}$ $y_{\rm 3 r}$ $x_{\rm 3 r_1}$ $x_{\rm 3 r_2}$ $y_{\rm 3 r_1}$ $y_{\rm 3 r_2}$ 1000 265.65 83.21 166.69 390.56 209.14 202.40 — 412.69 422.93 — 101.61 117.56 3200 276.64 90.43 139.51 404.39 190.46 205.49 34.89 410.36 421.46 216.82 115.62 134.97 5000 282.10 92.07 141.76 408.64 186.10 206.44 40.16 410.52 421.23 222.49 120.92 138.91 6000 284.21 92.69 142.88 410.13 184.42 206.76 41.25 410.77 421.29 223.56 122.65 140.12 8000 287.07 93.68 144.54 412.15 182.08 207.14 42.18 411.69 422.02 224.22 124.32 141.38 10000 288.94 94.48 145.67 413.49 180.45 207.33 43.32 412.89 423.35 223.99 124.48 141.80 Re $x_1$ $y_1$ $x_2$ $y_2$ $x_3$ $y_3$ $x_{3 {\rm l}}$ $x_{3 {\rm r} }$ $y_{3 {\rm l} }$ $y_{3 {\rm r}}$ 1000 259.99 132.44 59.83 183.94 — — — — 3200 260.97 131.12 66.16 206.26 84.50 369.55 245.42 14.67 5000 261.42 130.74 65.46 208.22 88.80 365.54 246.86 14.39 -
[1] [2] [3] [4] [5] [6] [7] [8] [9] [10] [11] [12] [13] [14] [15] [16] [17] [18] [19] [20] [21] [22] [23] [24] [25] [26] [27] [28] [29] [30] [31] [32] [33] [34] [35] [36] [37] [38] [39] [40] [41]
计量
- 文章访问数:2059
- PDF下载量:54
- 被引次数:0












下载:


































