Cortical bone, a highly attenuated, anisotropic, and multilayered biological medium with high acoustic impedance, presents significant challenges for high-frequency ultrasound to penetrate its complex structure and acquire high-quality images. The traditional method of using uniform sound velocity in ultrasonic dynamic focusing imaging is limited by emission energy and frame rate, which hinders the accurate and rapid reconstruction of multi-layer structures and clinical applications. In order to meet these challenges, this study proposes a novel method, called the phase shift migration-based plane-wave bone imaging via velocity inversion (PSM-PW-VI), that can accurately and quickly image the multi-layer structure of cortical bone. In the PSM-PW-VI method, two identical linear array probes are arranged in parallel on both sides of the cortical bone for data acquisition. First, the ultrasound velocity distribution in the imaging region is obtained by using ultrasound travel time inversion. Next, two images corresponding to the upper probe and lower probe are acquired in parallel in the frequency domain by employing a phase shift migration-based coherent plane-wave compounding method. Finally, the two images are merged to generate a complete ultrasound image of the cortical bone. Wave propagation in cortical bone is simulated by using the open source toolbox
k-wave in MATLAB.
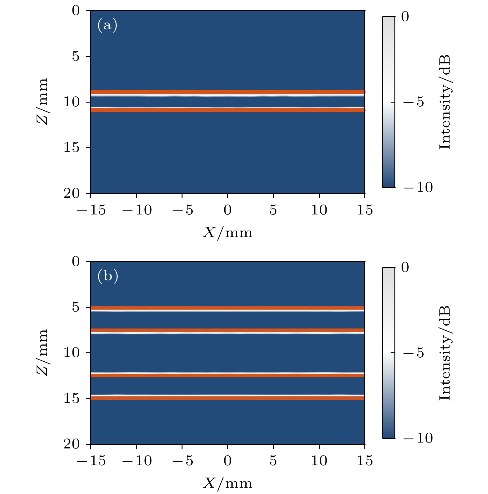
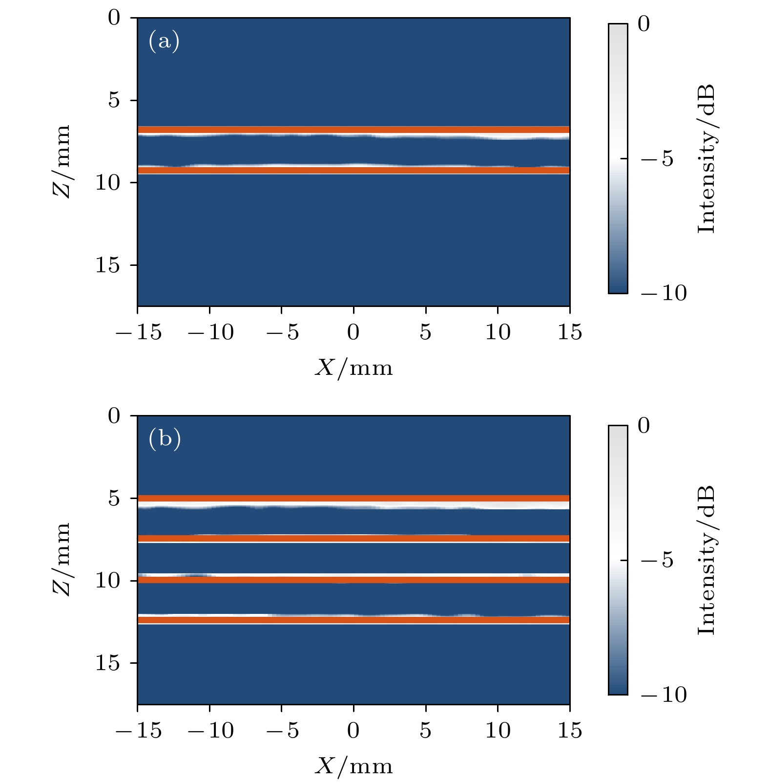
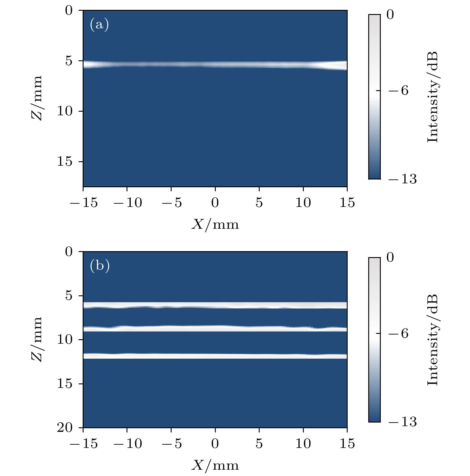
Ex-vivoexperiments are conducted on 2.5-mm-thick sawbones phantom and 2.45-mm-thick bovine bone plates to evaluate the feasibility of the proposed method, by using the Verasonics platform. Simulation, phantom (Sawbones), and
ex-vivoexperiments validate the effectiveness of the method. Notably, the average error of the thickness is less than 0.2 mm, and the relative error is less than 7% for both three-layer and five-layer cortical bone. The influence of the number of plane wave compounding angles on imaging quality is investigated, revealing that only 15 angles are sufficient to produce high-quality images. The influence of the velocity model on imaging accuracy is also examined since accurate sound velocity estimation is crucial for obtaining high-quality images of cortical bone. Finally, the performances of PSM-PW-VI and PSM-SA in imaging depth and efficiency are compared. The results demonstrate that the proposed PSM-PW-VI method offers significant improvements in temporal resolution, data storage and processing quantity, emission energy, and imaging depth. The experimental findings validate the effectiveness of the proposed method as an accurate and efficient ultrasound imaging tool for cortical bone, and its substantial role in promoting ultrasound bone imaging technology and clinical applications.