-
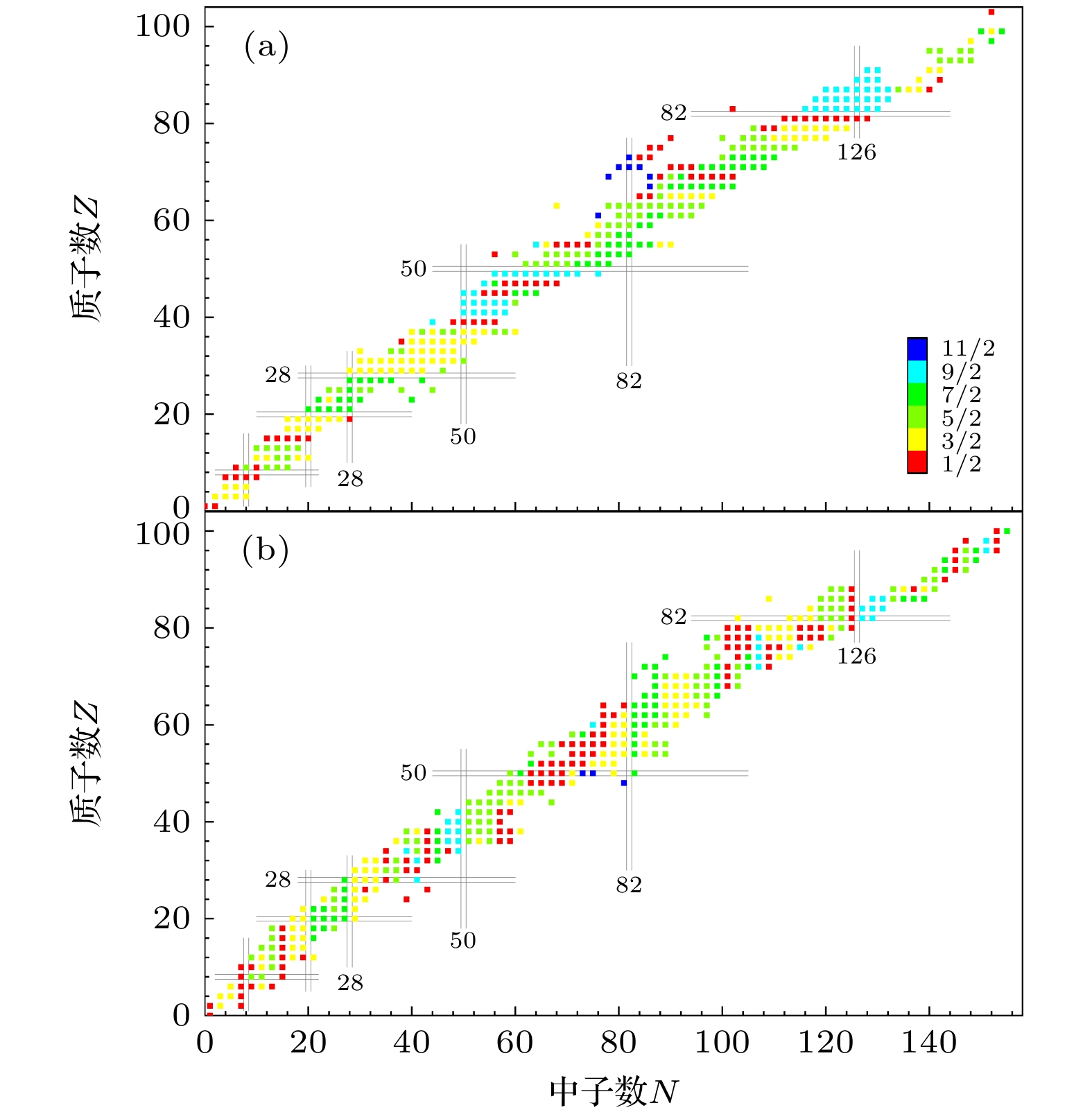
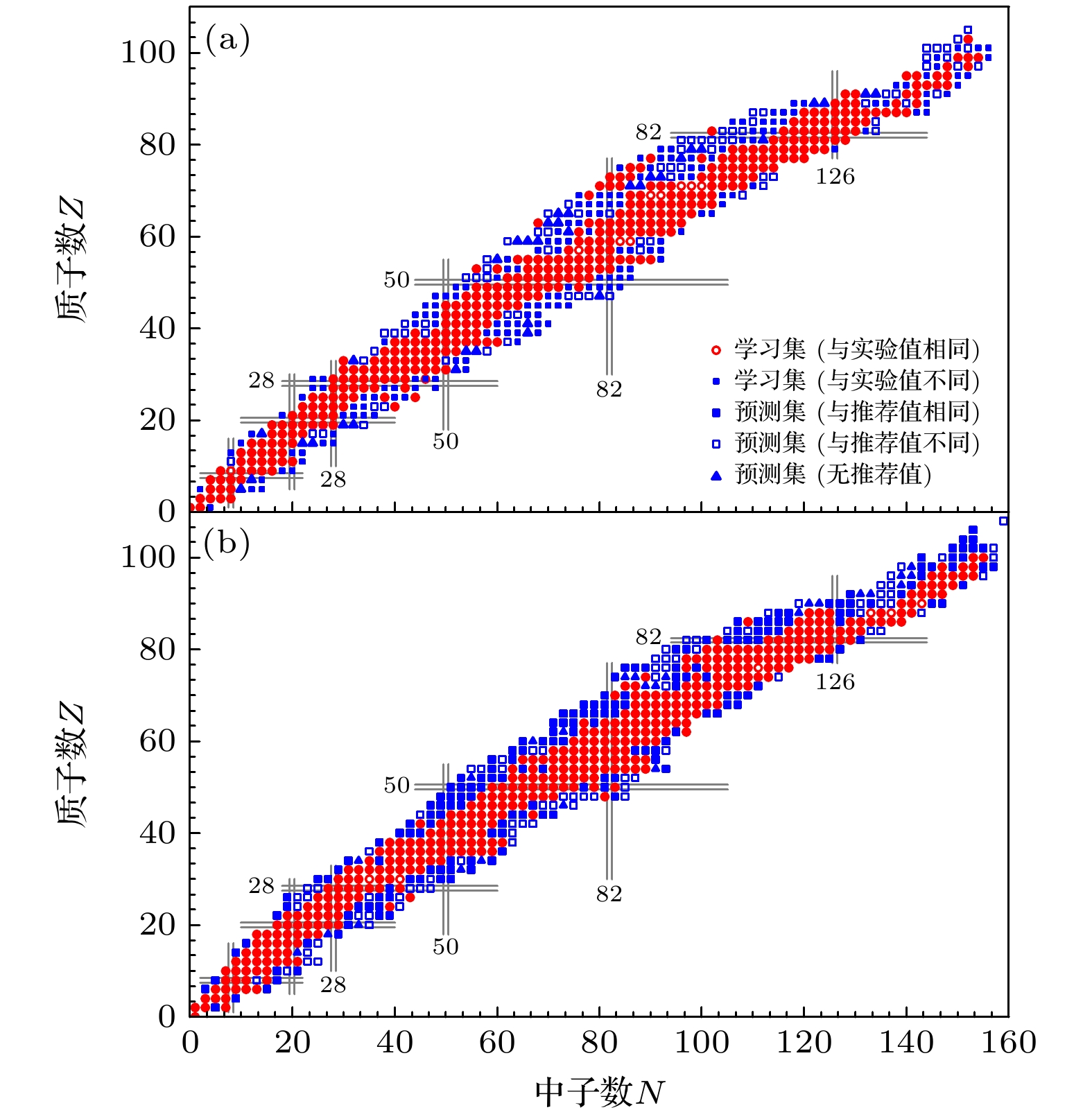
作为原子核的基本性质, 基态自旋一直是原子核数据与核结构基础研究领域的热点. 本文采用决策树方法对核素图上的奇质量数原子核(奇 A核), 包括奇质子数原子核(奇 Z核)与奇中子数原子核(奇 N核), 进行了深入的研究, 并分别训练了奇 Z核与奇 N核的基态自旋预测模型. 其中在以75%∶25%的比例随机划分训练集与验证集的情况下, 奇 Z核的训练集和验证集的正确率分别达到98.9%和79.3%; 奇 N核的训练集和验证集的正确率分别达到98.6%和71.6%. 同时, 通过1000次随机选择训练集和验证集进行重复验证, 得到的正确率的标准误差均小于5%, 进一步验证了决策树的可靠性和泛化性能; 另一方面, 决策树的正确率远高于核结构研究中常用的理论模型, 如Skyrme-Hartree-Fock-Bogoliubov (SHFB)理论、协变密度泛函理论(CDFT)、 有限程液滴模型等. 接下来, 以所有自旋确定的奇 Z核和奇 N核为学习集, 对共计254和268个自旋未确定但有推荐值的奇 Z核和奇 N核的基态自旋值进行了预测, 预测集符合率分别达到68.5%和69.0%. 最后, 选择
$Z=59$ ,$Z=77$ ,$N=41$ 以及$N=59$ 四条奇质量数链, 讨论了决策树的学习(预测)结果与相应原子核的实验(推荐)值, 以及3种理论模型所给出结果的异同, 进一步展示了决策树在原子核基态自旋方面的研究与应用价值.Ground-state spin, as a fundamental parameter of nucleus, has consistently been a hot topic in research on nuclear data and structure. In this paper, we extensively investigate the odd-mass nuclei (odd- Anuclei) on the nuclide chart by using decision trees, including odd-proton nuclei (odd- Znuclei) and odd-neutron nuclei (odd- Nnuclei), and train ground-state spin prediction models of odd- Znuclei and odd- Nnuclei. In the case of randomly dividing the training set and validation set in a ratio of 75% to 25%, the accuracy rate of the training set and validation set for odd- Znuclei reach 98.9% and 79.3%, respectively. The accuracy rate of the training set and validation set for the odd- Nnuclei reach 98.6% and 71.6%, respectively. At the same time, by 1000 random selections of training set and validation set, after being validated repetitively, the standard error of the accuracy rate obtained can be less than 5%, further verifying the reliability and generalization performance of the decision tree. On the other hand, the accuracy rate of decision tree is much higher than those of theoretical models commonly used in nuclear structure research, such as Skyrme-Hartree-Fock-Bogoliubov, covariant density functional theory, and finite range droplet model. Next, by taking all spin-determined odd- Znuclei and odd- Nnuclei as a learning set, the ground-state spin values for 254 spin undetermined but recommended odd- Znuclei and 268 spin undetermined but recommended odd- Nnuclei are predicted, with the predicted set coincidence rates reaching 68.5% and 69.0%, respectively. Finally, four odd-mass number chains, i.e. Z= 59, Z=77, N= 41, and N= 59, are selected to compare the learning (prediction) results of the decision tree with the experimental (recommended) values of the corresponding nuclei, and to discuss the differences and similarities in the results given by the three theoretical models, thereby further demonstrating the research and application value of the decision tree in the ground-state spin of nuclei.-
Keywords:
- ground-state spin/
- odd-Anuclei/
- machine learning/
- decision tree
[1] [2] [3] [4] [5] [6] [7] [8] [9] [10] [11] [12] [13] [14] [15] [16] [17] [18] [19] [20] [21] [22] [23] [24] [25] [26] [27] [28] [29] [30] [31] [32] [33] [34] [35] [36] [37] [38] [39] [40] [41] [42] [43] [44] [45] [46] [47] [48] [49] [50] [51] [52] [53] [54] [55] [56] [57] [58] [59] [60] [61] [62] [63] [64] [65] [66] [67] [68] [69] [70] [71] [72] [73] [74] [75] [76] [77] [78] [79] [80] [81] [82] [83] [84] [85] -
奇Z核 奇N核 训练集 验证集 训练集 验证集 平均值 97.6% 72.3% 96.5% 67.1% 标准误差 1.7% 4.5% 2.4% 4.9% -
[1] [2] [3] [4] [5] [6] [7] [8] [9] [10] [11] [12] [13] [14] [15] [16] [17] [18] [19] [20] [21] [22] [23] [24] [25] [26] [27] [28] [29] [30] [31] [32] [33] [34] [35] [36] [37] [38] [39] [40] [41] [42] [43] [44] [45] [46] [47] [48] [49] [50] [51] [52] [53] [54] [55] [56] [57] [58] [59] [60] [61] [62] [63] [64] [65] [66] [67] [68] [69] [70] [71] [72] [73] [74] [75] [76] [77] [78] [79] [80] [81] [82] [83] [84] [85]
计量
- 文章访问数:2936
- PDF下载量:92
- 被引次数:0












下载:



