Contrast-enhanced ultrasound imaging (CEUS) based on the acoustic nonlinearity of ultrasonic microbubble has received great attention in recent years. Compared with conventional linear ultrasound imaging, nonlinear CEUS can further improve the imaging resolution while overcoming the challenge of clutter filtering. Simulation, acting as an effective tool for research on new mechanisms and technologies of ultrasound imaging, has been a long-term focus of computational acoustics. In the community of biomedical ultrasound, common sound field simulation tools are mainly based on finite element method (FEM), analytical method,
k-space pseudospectral method and finite-difference time-domain method (FDTD), which are relatively mature solutions for simulating the nonlinear characteristics of tissue. However, it is still not trivial to simulate nonlinear CEUS by using the prevailing methods, as the nonlinearity of microbubble is often not considered.
In this paper, we propose a simulation method of nonlinear CEUS imaging that successfully combines the microbubble nonlinearity and classic
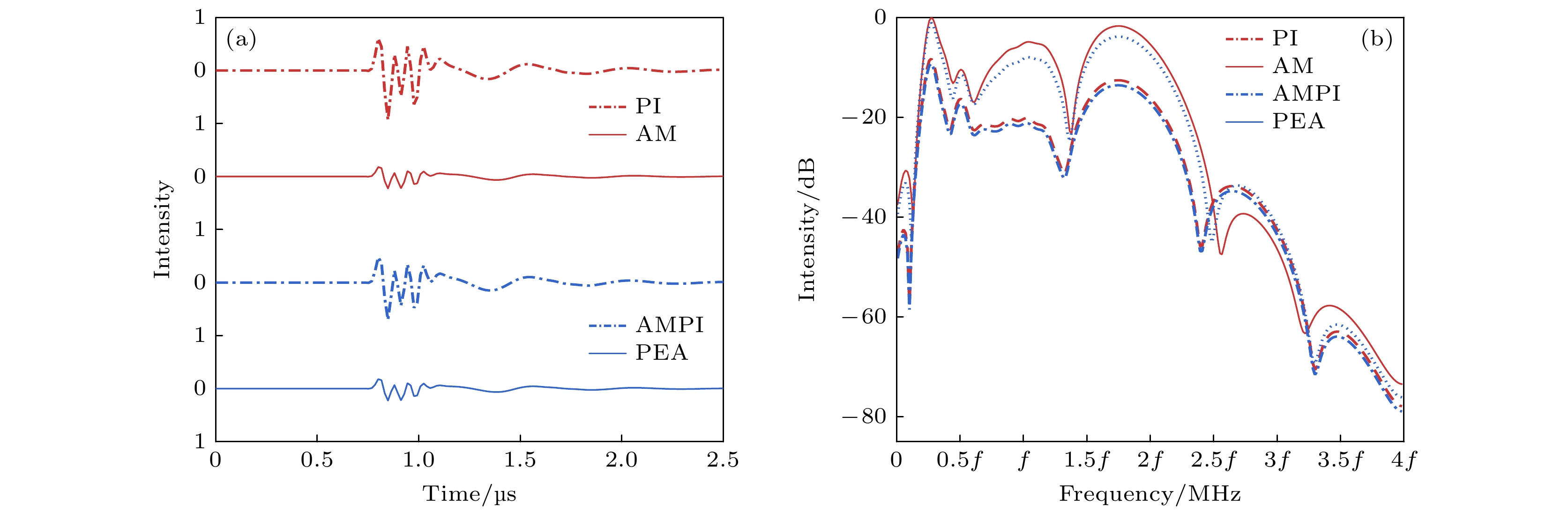
k-space pseudospectral method. Specifically, forced oscillation response of the microbubble is computed based on the modified Rayleigh-Plesset equation and such a nonlinear response is further dealt as an additional source for analyzing the nonlinear component propagation and CEUS imaging. To investigate the performance of the proposed method, B-mode images of single microbubble and clustered microbubbles are simulated based on plane wave imaging. The plane wave based CEUS imaging can thus be carried out with different compounding angles and different contrast pulse sequencing (CPS) strategies (pulse inversion, amplitude modulation, pulse inversion & amplitude modulation, and probe element alternation). Different soft-tissue and mechanical parameters of the microbubble can be adjusted by using the proposed nonlinear simulation strategy, thus providing efficient solution for CEUS simulation. Such a method can evaluate the performances of different CPS strategies, and further contribute to the CEUS development.