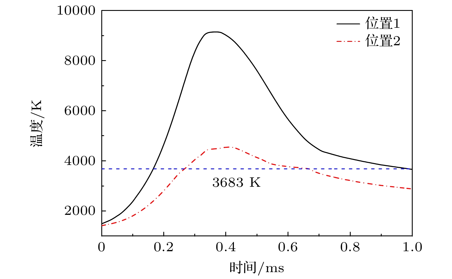
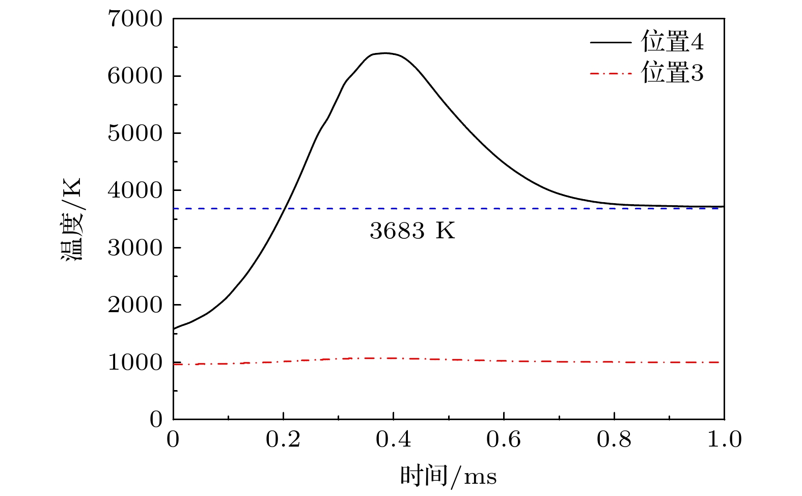
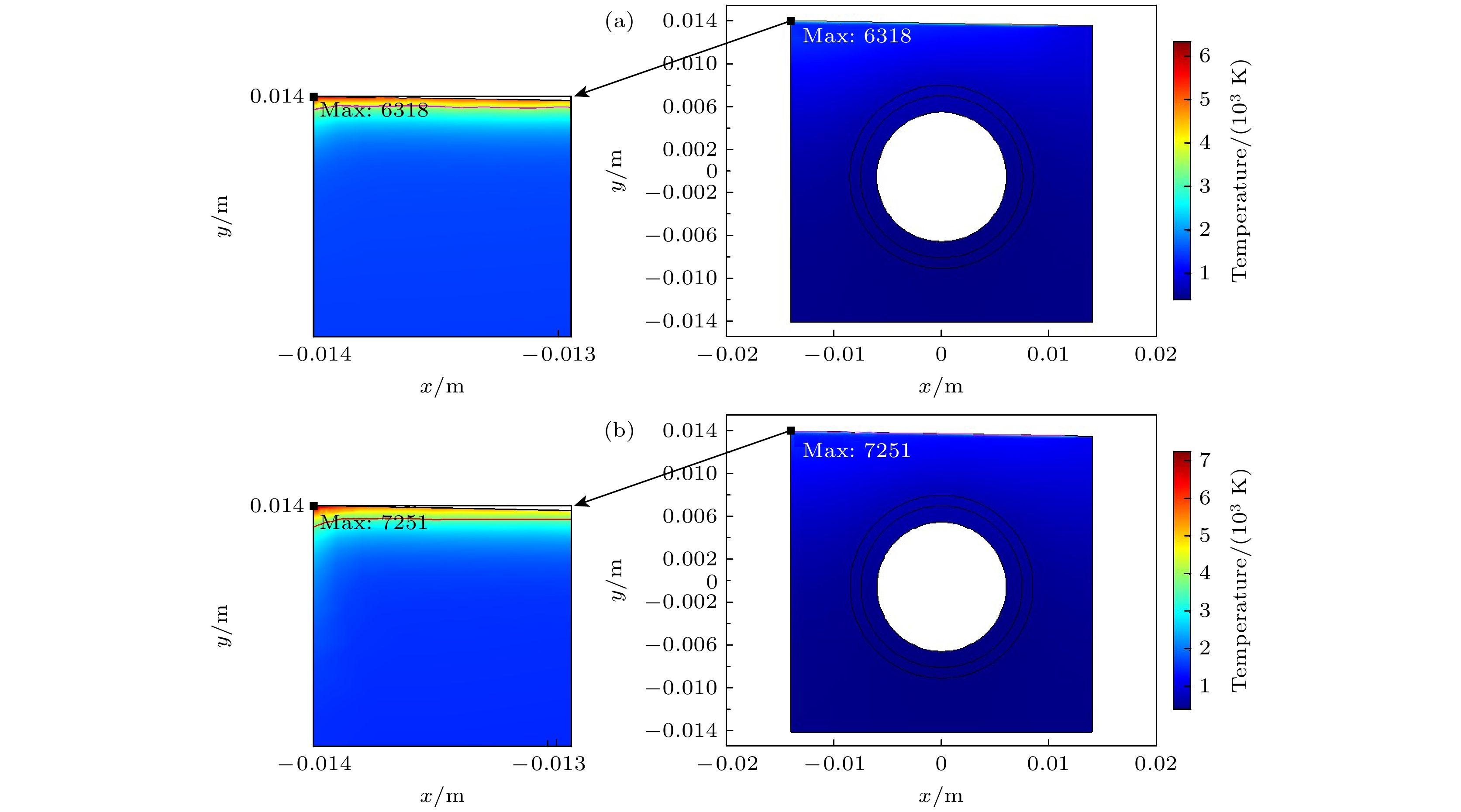
The thermal performance of the divertor W/Cu monoblock tiles under the ITER-like transient events has been one of the main concerns for ITER plasma facing components. Owing to the assembly tolerances during installation, the leading edge caused by misalignment between toroidal neighboring tiles will receive the extremely high cumulative heat flux and be damaged. In this work, we develop a two-dimensional heat conductivity model, including evaporation, radiation, melting process, and coupling cooling water condition, to investigate the thermal erosion of two shapes of tiles of W/Cu monoblock (unshaped and beveled tiles) with misalignment in a range from 0 to 0.3 mm, within the allowable maximum misalignment for ITER. To reflect the geometrical effects of castellated divertor tiles on the properties of its adjacent plasma, the energy flux density distribution arriving at the castellated divertor tile surface is evaluated first by using a two-dimension-in-space and three-dimension-in-velocity particle-in-cell plus Monte Carlo collisions code, and the obtained energy flux distribution is then used as input for the heat conduction model. The simulation results show that the maximum temperature of the unshaped tile with no misalignment is lower than that of the beveled tile under the steady-state inter-ELM heat flux, which increases more quickly than that of the beveled tile with misalignment increasing and will be larger than that of the beveled tile when misalignment is not less than 0.105 mm. Two shapes of the divertor tiles would melt and vaporize under typical heat flux density of a transient event of type-I edge localized modes (ELMs) for ITER, deposition energy of 1 MJ·m
–2in a duration of 600 μs. The highest temperature, the maximum melting thickness, the maximum vaporization thickness of the unshaped tile with no misalignment are higher than those of the beveled tile except the melting volume ratio. The thermal erosion of the unshaped tile increases more remarkably than that of the beveled tile with misalignment increasing, and the melting volume ratio of the unshaped tile will exceed that of the beveled tile at a misalignment of 0.17 mm. In comparison with the unshaped tile, the beveled tile is more resistant to such a high heat flux of an ELM and misalignment.