国防科技大学建校70周年专题
2023, 72 (18): 180101.
doi:10.7498/aps.72.180101
摘要 +
国防科技大学物理学科起源于哈军工时期的物理教授会和原子工程系, 专业积淀深厚、军事特色鲜明. 七十年传承, 始终面向国家重大战略特别是国防科技战略, 为我国相关领域培养了一大批优秀人才. 围绕国防高科技武器基础原理和新概念武器开展特色研究, 在极端条件物态物性、强场超快、聚变能源、量子技术、武器物理等方面形成优势, 孵化了核科学与技术、光学工程一级学科和量子信息、高能量密度物理等交叉学科, 形成了基础研究与军事应用紧密结合、前沿探索与高水平人才培养有机统一、自主创新与开放合作相得益彰的鲜明特色, 建成了一流的拔尖人才培养基地和前沿创新科研平台. 在国防科技大学70年校庆之际, 在国内对基础学科发展前所未有重视之时, 国防科技大学对物理学科的支持力度也进入了全新的时期, 学科发展进入快车道, 高水平成果不断涌现.
2023, 72 (18): 183301.
doi:10.7498/aps.72.20231245
摘要 +
光学成像是人类不可或缺的信息获取方式之一, 其在预警侦察、精确制导、交通运输和工业生产等军用和民用领域发挥着不可替代的作用. 在室外环境中, 由于背景光、杂散光和大气介质的影响, 光学成像的分辨率、信噪比和作用距离等受到限制. 近年来, 在光学、物理、信息论及计算机等多学科的交叉融合发展的支撑下, 新型光学成像技术不断涌现, 为发展远距离、大视场、高信息通量的室外光学成像带来新的契机. 关联成像作为新型主动成像技术之一, 具有高灵敏、抗干扰、信息并行获取等特点, 能够较好地应对室外光学成像中所面临的如远距离导致光功率急剧衰减、环境噪声干扰引起的低信噪比等问题, 并能在一定程度上减少散射、湍流等导致的图像模糊等问题, 是当前室外环境中光学成像的热门研究领域之一. 本文从光学成像原理出发, 分析室外环境中光学成像分辨率、信噪比、空间带宽积和成像距离的影响因素, 重点介绍和梳理室外关联成像在成像系统、信噪甄别技术和成像算法等方面的研究进展, 并浅析光学成像向更远距离、更广视场拓展的过程中需要研究的基础问题和待攻克的关键技术.
2023, 72 (18): 183701.
doi:10.7498/aps.72.20230701
摘要 +
随着原子冷却技术与光晶格技术的发展, 光晶格与超冷原子气体组成的量子系统已经成为量子模拟中的有力工具. 光晶格纯净和高度可控的性质赋予其强大的调控能力, 如今, 人们可以模拟更复杂和有趣的物理现象, 从而加深对量子多体物理的认识. 本文综述了近年来本课题组利用玻色动力学平均场理论对强关联区间的光晶格玻色体系进行的一系列研究, 包括多组分玻色体系、高轨道玻色体系以及存在长程相互作用的体系等. 通过玻色动力学平均场理论的计算, 揭示了从弱相互作用区间到强相互作用区间出现的丰富物理现象, 包括不同磁序的量子相、多步凝聚、超固体相以及高轨道体系中的自旋-角动量耦合和阻挫效应.
2023, 72 (18): 184202.
doi:10.7498/aps.72.20230412
摘要 +
中国研制的世界首台空间冷原子光钟于2022年10月31日随“梦天”实验舱成功发射, 进入中国空间站. 紧凑稳定的激光系统是实现光钟空间应用的关键环节. 本课题组提出类同步调谐方案, 研制了高性能外腔半导体激光器, 能同时满足空间光钟对激光器调谐范围、线宽和力学热学稳定性的要求. 采用注入锁定和锥形放大器进行激光功率放大, 满足了空间光钟对激光功率的要求. 本文简要介绍了空间冷原子光钟的系统构成、激光器方案和电控系统, 并对光钟激光系统面临的问题和发展方向进行了总结和展望.
2023, 72 (18): 184204.
doi:10.7498/aps.72.20230705
摘要 +
光互连技术相比于电互连等传统通信技术具有带宽大、能耗低、抗干扰等系列优势, 正在逐渐成为短距离、甚短距离数据终端间通信的重要手段和发展趋势. 基于绝缘体上硅的片上光互连技术作为光互连在芯片尺度上的实现, 在一系列复用技术的支持下得到了非常广泛的应用. 智能设计方法具有原理直观、设计自由度高、材料兼容性好等优点. 随着智能设计方法在片上光互连器件设计活动中的广泛应用, 目前片上光互连器件逐渐呈现出超紧凑化、可调控化、系统集成化等重要发展趋势. 本文首先归纳了几种目前最常用的片上光互连器件的智能设计方法, 然后详细分析了智能化设计的片上光互连器件的几个重大研究进展与趋势, 最后对未来智能化设计的片上光互连器件的发展进行了展望.
2023, 72 (18): 187101.
doi:10.7498/aps.72.20230704
摘要 +
本征磁性拓扑绝缘体非平庸拓扑态和磁有序的相互作用使其具备量子反常霍尔效应和轴子绝缘体等奇异物理性质, 在低功耗拓扑自旋电子器件及拓扑量子计算等方面展现广泛应用前景. 自2019年第一种本征磁性拓扑绝缘体MnBi2Te4在实验上被发现以来, 该材料体系领域迅速吸引了大量研究者的目光, 引发了研究热潮. 本文将从MnBi2Te4基本性质出发, 介绍近期本征磁性拓扑绝缘体MnBi2Te4的一些重要研究成果, 着重阐述MnBi2Te4系列的量子反常霍尔效应、轴子绝缘体态和马约拉纳零能模等拓扑量子态, 并列举该材料体系其他研究方向及目前存在的问题. 最后, 总结并展望MnBi2Te4的下一步研究, 期望为相关领域人员的研究提供一定参考价值.
2023, 72 (18): 183101.
doi:10.7498/aps.72.20230455
摘要 +
锡(Sn)是13.5 nm光刻光源的材料, Sn等离子体辐射性质对光源设计意义重大. 基于细致能级模型, 在局域热平衡假设条件下计算得到了Sn等离子体辐射不透明度和发射谱. 使用多组态Dirac-Fock方法获得了
${\rm{Sn}}^{6+}\text{-}{\rm{Sn}}^{14+}$
离子的能级和辐射跃迁振子强度等基本原子参数. 针对波长在13.5 nm附近的4d-4f和4p-4d跃迁系, 重点考虑了4dm-4fm(m= 1, 2, 3, 4)和4pn-4dn(n= 1, 2, 3)的电子关联效应. 在大规模组态相互作用计算中, 每种电荷态离子的精细能级数目约为20万. 对较强的吸收谱线(振子强度大于0.01), 其长度和速度表示的相对差异为20%—30%. 基于精密原子参数, 计算了Sn等离子体在30 eV, 0.01 g/cm3条件下的透射谱, 与实验结果基本符合. 系统计算了温度16—30 eV, 密度0.0001—0.1 g/cm3条件下的Sn等离子体辐射不透明度和发射光谱, 分析了极紫外(extreme ultraviolet, EUV)光谱随温度和密度的变化规律. 研究表明温度一定时, 密度增大会使得13.5 nm附近的辐射不透明度和发射谱包络增宽. 而密度一定时, 随着温度的增加, 辐射不透明度和发射谱在13.5 nm附近存在明显的窄化效应. 本文工作有助于EUV光刻光源的设计和研究.
2023, 72 (18): 184103.
doi:10.7498/aps.72.20230702
摘要 +
超短超强激光脉冲与固体靶相互作用可通过钻孔辐射压加速机制产生百MeV量级的离子束, 离子束的品质强烈依赖于激光和靶的作用参量. 本文以近400组激光驱动固体靶的粒子模拟结果作为数据集, 以激光强度、靶密度、靶厚和离子质量作为输入参量, 基于全连接神经网络建立了一个离子峰值能量和截止能量连续映射模型. 该模型用较为稀疏的参量取值获得了较大参量范围内的分析结果, 大大减少了多维参量大范围扫参的计算量. 基于连续映射模型的结果, 得到了钻孔辐射压加速机制下离子峰值能量的修正公式和截止能量的拟合公式, 可为激光离子加速的实验设计提供重要参考.
2023, 72 (18): 185201.
doi:10.7498/aps.72.20230706
摘要 +
使用粒子模拟程序和蒙特卡罗方法研究了双束对射圆极化激光与超薄氘靶相互作用中氘氘聚变反应产生中子的过程. 研究发现, 由于净光压和横向不稳定性发展的差异, 激光电场矢量旋转方向和初始相对相位差对氘靶压缩及中子特性有重要影响. 选择相对相位差为0且电场矢量旋转方向相同的双束光, 可获得最高的中子产额; 而采用相对相位差为0.5π或1.5π且电场矢量旋转方向不同的对射光, 中子具有定向的空间分布. 对于强度为1.23 × 1021W/cm2、脉宽为33 fs、相对相位差为0.5π的左旋光和右旋光, 可获得产额为8.5 × 104n、强度为1.2 × 1019n/s、脉宽为23 fs、前冲性较好且分布可调谐的脉冲中子源.
2023, 72 (18): 187102.
doi:10.7498/aps.72.20231258
摘要 +
液态铁作为类地行星内核的主要组成成分, 其在高温高压条件下的热力学、输运及动力学性质研究, 对理解行星演化有着重要意义. 极端条件物态物性在实验条件下产生困难且诊断手段有限, 而理论模拟在动力学、输运性质计算方面面临着规模、精度的双重要求, 极大限制了这方面的有效进展. 本文结合深度学习技术, 通过神经网络构造液态铁的高维相互作用势能面, 在保证第一性原理计算精度的前提下, 将计算规模从数百原子扩展到数十万原子体系. 研究了从常压到核幔边界条件下液态铁的动力学及输运性质, 并与X射线衍射、非弹性X射线散射实验对比, 二者的一致性指出, 深度学习技术与分子模拟的结合为我们高通量研究极端条件下真实体系的物态物性及动力学提供了有效手段.
2023, 72 (18): 187901.
doi:10.7498/aps.72.20230699
摘要 +
开展了强飞秒激光场诱导的二氧化碳二聚体离子
${{\rm{(CO}}_2)}_{2}^{4+}$
的三体库仑爆炸过程的实验研究. 利用冷靶反冲离子动量成像谱仪测量了关联的碎片离子的三维动量矢量和动能. 结果表明,
${\rm{(CO_2)}}_{2}^{4+}$
离子通过序列解离通道和非序列解离通道分解为
${\rm{CO}}_{2}^{2+}+{\rm{CO}}^++{\rm{O}}^+$
离子. 在序列解离过程中, 弱范德瓦耳斯键先断裂, 然后是强的共价键C=O断裂; 而在非序列解离过程中, 3个碎片离子在一次动力学事件内几乎同时产生. 通过对比两个解离通道的事件比率, 表明序列的解离通道在
${\rm{(CO_2)}}_{2}^{4+}$
离子的三体库仑爆炸中占主导作用. 发现这种同时包含范德瓦耳斯键和共价键的二聚体或团簇在多体库仑爆炸过程中相比单体和仅有范德瓦耳斯键的团簇具有特殊的动力学性质, 两种化学键在强场动力学过程中扮演不同的角色.
专题: 非线性系统理论及其前沿应用
2023, 72 (18): 180304.
doi:10.7498/aps.72.20231076
摘要 +
利用高斯变分近似及基于Gross-Pitaevskii方程的数值求解, 研究了一维自旋张量-动量耦合玻色-爱因斯坦凝聚中平面波态的动力学性质, 发现基态为双轴向列态, 其动量随Raman耦合强度的增加而单调递减. 在微扰作用下, 基态具有动力学稳定性, 且展现出3种不同的谐振模激发, 激发频率与Raman耦合强度、谐振子势阱的纵横比及相互作用强度有关. 通过数值求解变分参数满足的运动方程和Gross-Pitaevskii方程, 发现体系随时间演化将展现出周期性振荡行为.
综述
编辑推荐
2023, 72 (18): 184401.
doi:10.7498/aps.72.20230687
摘要 +
纳米“热点”系统中的梯度变化热导率, 是纳米尺度热传导中的新现象. 背后的新机理, 为解决纳米器件散热等工程问题提供理论基础. 首先回顾了近期在纳米体系中发现的热传导新现象. 然后, 重点围绕“热点”梯度热导率, 阐述了不同维度体系的梯度热导率变化规律. 并根据原子振动模式与声子散射的变化, 阐释了梯度热导率的物理机制. 最后, 概述了纳米“热点”的梯度热导率特性给纳米器件散热带来的新挑战和新机遇, 并对未来在该方向研究进行展望.
编辑推荐
2023, 72 (18): 186101.
doi:10.7498/aps.72.20230947
摘要 +
以钙钛矿为代表的共点配位多面体晶体(CSCPC)具有独特而丰富的光、电、磁性质, 在多铁材料、快离子导体、光电催化等方面具有广阔的应用前景. 在众多CSCPC中, 具有优异理化性质的相只是极少数. 因此, 如何通过结构调控获得这些相, 一直是相关领域的研究热点和“卡脖子”问题. 受此启发, 本文从相结构的角度评述了近年来高性能CSCPC的合成研究, 以期明确相转变的内在规律, 并揭示其中所蕴藏的相调控机制. 首先系统地总结了CSCPC中常见的多面体和晶格骨架的类型, 并将多面体畸变大致分为偏移、转动、变形三大类. 以此为基础, 对各类材料合成方案进行分析和归纳, 发现传统的合成方案多依赖于宏观尺度上对温度、压力、组分等外部物理条件的改变. 近年来, 新兴的合成方案聚焦于对多面体几何和拓扑结构的微观调控, 如利用容忍因子和基板趋近效应来构造相结构. 它们在本质上都遵循着共同的相调控机制, 即通过引发多面体的畸变来诱导晶体转变成具有目标属性的相结构. 不同的是, 后者具有更强的目标导向性, 但其适用面还局限在配位八面体的转动体系, 如何拓展其应用范围尚存挑战性. 此外, “明确引发畸变的根源及各畸变间相互作用” 以及“基于计算机科学的定制化指导”都是优化合成方案的未来方向. 本文所做的调研和评述以期为高性能CSCPC材料的设计和制备提供一些思路和启发.
总论
编辑推荐
2023, 72 (18): 180201.
doi:10.7498/aps.72.20230418
摘要 +
现有均匀场往往基于阵列天线的特殊排布, 通过平顶波束赋形在角远场区域或者通过点聚焦在近场区域生成的, 生成的均匀场直接受制于阵列排布形态且无法灵活调控. 提出了一种基于角谱域和改进时间反演方法相结合的均匀场生成方法, 该方法不受阵列排布的限制, 能够以同一阵列排布形态, 在包括近场区域在内的任意位置, 生成指定大小、形状以及偏转角度的多种均匀场. 首先理论解析了本方法不受阵列排布限制的原因; 其次数值验证了固定阵列排布形态灵活生成多种均匀场的能力; 最后引入时间反演方法, 并做出反演信号幅度倒数加权的改进, 解决了上述均匀场在生成过程中由幅度衰减和相位延迟带来均匀场平坦度恶化等问题. 研究结果表明, 合成场质量与其对应角谱域包络的主瓣和副瓣信息有关, 且生成任意均匀场必须包含至少1/2的角谱域主瓣信息和1/2的副瓣信息. 本方法能够灵活调控一维和二维均匀场的位置、大小、形状以及偏转角度, 为灵活生成均匀场提供了一条新思路.
2023, 72 (18): 180202.
doi:10.7498/aps.72.20230382
摘要 +
寻找具有高居里温度的铁磁材料是凝聚态物理的热点问题. 本文建立了有效的基于材料组分信息的居里温度机器学习模型, 并预测了多种高居里温度铁磁材料. 基于收集到的1568个铁磁材料数据, 并以铁磁材料的组分信息作为描述符, 通过超参数优化和十折交叉验证, 构建了支持向量回归、核岭回归、随机森林及极端随机树四种高效的机器学习模型. 这其中, 极端随机树模型具有最好的预测性能, 其交叉验证R2评分可达81.48%. 同时, 还应用极端随机树模型对Materials Project数据库36949种铁磁材料进行了预测, 发现了338个居里温度大于600 K的铁磁材料. 本文提出的方法可以为获取具有高居里温度的铁磁材料提供有价值的帮助, 加快铁磁材料设计的过程.
2023, 72 (18): 180203.
doi:10.7498/aps.72.20230495
摘要 +
能量守恒耗散粒子动力学(eDPD)是一种研究热输运过程的介观尺度数值模拟方法, 然而在eDPD系统内引入Boussinesq假设以研究自然对流问题时, eDPD系统自身的热膨胀性对模拟结果的影响常常被忽略. 首先研究了eDPD系统的热膨胀性, 通过模拟获得eDPD系统的热膨胀系数β; 并由此模拟了不同瑞利数Ra、不同几何结构下的自然对流; 利用eDPD系统自身的热膨胀性, 在不引入Boussinesq假设的前提下获得了合理的温度场和速度场, 与相同Ra数下有限体积法模拟结果相比, 误差明显小于以往研究中相同条件下的对比误差. 研究表明在eDPD系统中引入Boussinesq假设时, 需要考虑eDPD系统自身热膨胀性的影响, 并且进一步对Ra数的计算进行了修正.
2023, 72 (18): 180301.
doi:10.7498/aps.72.20230578
摘要 +
研究了基于依赖光场强度耦合Dicke模型(也被称为依赖强度Dicke模型)的量子电池中包括最大存储能量、充电时间、能量量子涨落以及最大充电功率等充电性能表现. 首先考虑了能量非保守项(或者叫反旋波项)对量子电池的最大存储能量和最大充电功率的影响, 研究发现: 最大存储能量对能量非保守项权重的增加不是很敏感, 但最大充电功率随能量非保守项权重的增加将会发生显著的变化. 进一步, 研究了在能量保守项和能量非保守项是相同权重下量子电池中最大存储能量、充电时间、能量量子涨落以及最大充电功率的变化特征. 通过与基于单光子和双光子Dicke模型的量子电池的充电性能进行比较, 发现基于依赖强度Dicke模型的量子电池在充电时间和最大充电功率上强于基于单光子Dicke模型的量子电池, 但弱于双光子Dicke模型的量子电池. 而3种Dicke模型在最大存储能量上没有一个确定的强弱关系, 取决于不同的耦合常数. 本文也揭示了虽然在最大充电功率上依赖强度耦合Dicke模型会弱于双光子Dicke模型, 但在两种模型中体现的量子优势即最大充电功率与量子电池单元数满足的幂律关系是相同的. 总之, 本文为进一步研究量子电池提供了一种可选择的理论方案.
2023, 72 (18): 180302.
doi:10.7498/aps.72.20230872
摘要 +
通过将平面波与高斯函数或者样条函数结合到一起, 本文构建了一种新的复合基组. 利用格拉姆-施密特正交化方法或者Löwdin正交化方法, 对复合基组进行正交归一化. 通过选择平面波函数中波矢的绝对值, 选择性地求解某个能量区间内的本征态, 将大型哈密顿矩阵的计算转变为多个小型矩阵的计算, 以及通过减少电子势能平缓部分展开基矢数目, 极大地加快了计算速度. 以一维有限深势阱为例, 通过与严格计算方法的对比, 验证了本文复合基组能够在加速计算的情况下保证求解精度. 同时, 本文还研究了不同的参数设置对计算精度的影响, 包括复合基矢的疏密度、高斯函数的宽值, 以及样条函数不同区域占函数总宽度的比值等参数. 最后该复合基组可以直接应用到对大尺寸纳米金属结构的等离激元数值计算当中.
2023, 72 (18): 180701.
doi:10.7498/aps.72.20230646
摘要 +
第一性原理、热力学模拟等传统的材料计算方法在高熵合金的设计中多用于合金相的预测, 同时会耗费巨大的计算资源. 本文以性能为导向, 选用机器学习的算法建立了一个高熵合金硬度预测模型, 并将机器学习与固溶体强化的物理模型相结合, 使用遗传算法筛选出最具有代表性的3个特征参数, 利用这3个特征构建的随机森林模型, 其R2达到了0.9416, 对高熵合金的硬度取得了较好的预测效果. 本文选用的机器学习算法和3个材料特征在固溶体强化性质方面也有一定的预测效果. 针对随机森林可解释性较差的问题, 本文还利用SHAP可解释机器学习方法挖掘了机器学习模型的内在推理逻辑.
电磁学、光学、声学、传热学、经典力学和流体动力学
2023, 72 (18): 184205.
doi:10.7498/aps.72.20230448
摘要 +
利用数值模拟和搭建的腔衰荡光谱装置, 研究了注入激光有限相干性对注入光与腔纵模耦合过程的影响. 注入光的有限相干性导致了频扫过程中耦合脉冲的随机性. 随机性主要体现在两个方面: 一是随着相干长度的减小, 耦合脉冲的随机幅值范围增大. 二是随着注入光的相干性变差, 耦合脉冲由强度随机演化的单脉冲变为连续多脉冲, 整体宽度随着扫频速率的降低而逐渐增大. 随着相干性的变差, 当使用腔体的光强来关闭注入光时, 扫频速度的降低会在一个频率耦合过程中引起不止一次的注入关断和腔衰荡事件, 特别是对于当利用腔体的长度进行频扫时. 此外, 本文提出了一种利用不同时间间隔的强度积分来估计衰荡时间的理论方法, 并进行相关的实验验证. 实验结果表明, 与传统拟合法得到的衰荡时间相比, 强度积分法对应的相对误差较小.
2023, 72 (18): 184101.
doi:10.7498/aps.72.20222347
摘要 +
基于太赫兹时域光谱技术搭建了近单站宽带太赫兹脉冲一维距离像的测量系统, 其距离分辨率可达亚毫米量级. 首先, 利用该系统测量了多种形状目标的一维距离像, 验证了测量系统的可靠性及通过目标的一维距离像中的散射特征位置分布来识别其外形特征的可行性. 进而, 通过测量不同粗糙度的铝板目标, 结合粗糙表面散射基尔霍夫近似和微扰法理论, 探究了目标表面粗糙度对于一维距离像强度及脉冲宽度的影响规律. 此外, 发现双站系统中一维距离像的时延与目标姿态的改变方向有关. 相关研究结果对太赫兹雷达目标探测与识别具有一定的指导意义.
编辑推荐
2023, 72 (18): 184102.
doi:10.7498/aps.72.20230313
摘要 +
受激光强度制约, 单束激光驱动下质子束能量难以提升. 本文提出一种多束超短强激光掠入射微带靶两侧驱动质子加速新方法. 两束激光驱动设置下, 可获得能散度约3%、能量约165 MeV的质子束. 二维粒子模拟显示, 激光在固体靶两侧提取大量准直性高能电子电荷并注入靶后方, 在靶后方自行建立纵向聚束场驱动质子加速和聚束, 形成准单能高能质子束. 研究还表明, 利用四束超短强激光掠入射微带靶两侧, 可获得能散度约2%、能量约250 MeV的质子束. 多激光束驱动质子加速机制为质子束能量提升提供了新的思路, 准单能高能质子束有望在医学治疗领域得到应用.
2023, 72 (18): 184201.
doi:10.7498/aps.72.20230473
摘要 +
数字全息技术是目前应用最广泛的定量相位成像技术之一, 但是当测量相位较大的物体时, 需要解包裹算法才能计算出正确的相位信息. 目前, 已有的解包裹算法均面临计算量巨大、耗时的问题. 为了解决上述问题, 本文基于傅里叶变换相位恢复算法, 利用复振幅相位信息的完整性, 提出针对薄相位和连续大相位的基于数字差分-积分的快速直接解包裹算法. 该算法首先通过基本的傅里叶变换相位恢复算法操作后, 得到含有物体完整相位的复振幅信息; 随后, 从中提取两幅子复振幅信息, 并将二者相除, 再相位提取出其中信息, 便可得到一个物体真实相位差分信息; 最后, 沿差分方向对提取的相位差分信息进行积分, 便可得到解包裹后的相位信息. 同时通过仿真与具体实验对该算法进行了验证. 结果表明, 本文算法可以实现快速准确的解包裹相位直接恢复.
2023, 72 (18): 184203.
doi:10.7498/aps.72.20230657
摘要 +
高功率光纤激光具有光束质量好、转换效率高、热管理方便和柔性传输等优势, 在工业加工和国防领域具有广泛的应用需求. 目前, 受限于光纤中的非线性效应和模式不稳定效应, 单链路光纤激光器输出功率的提升遇到了巨大挑战. 为突破单链路激光功率限制, 本文基于双色镜合成技术, 利用两路自研近单模宽谱光纤激光放大器实现了10 kW近单模合束激光输出, 合成效率约为98.3%, 光束质量因子M2约为1.29. 为进一步提升功率, 采用三路宽谱激光实现了13.52 kW合束激光输出, 合成效率约为96.8%, 光束质量因子M2约为1.61. 本文首次在实验上验证了双色镜合成技术的对宽谱激光的功率提升潜力和光束质量保持能力, 通过增加合成路数以及提高单路激光功率, 有望在保持高光束质量的情况下实现更高功率激光输出.
2023, 72 (18): 184301.
doi:10.7498/aps.72.20230124
摘要 +
匹配场跟踪方法依据模糊度函数时间序列中声源位置移动的连续性和伪峰位置的无序性, 可实现水下声源轨迹跟踪. 然而, 受到浅海空时起伏波导环境和声源复杂运动场景的双重影响, 已有匹配场跟踪方法易出现轨迹中断、交叉混叠和虚假轨迹等现象, 导致不连续的轨迹跟踪结果. 针对这一问题, 本文基于轨迹泊松多伯努利混合滤波器, 利用模糊度函数中峰值位置距离似然和峰值幅度似然的一致性, 提出一种匹配场连续跟踪方法. 该方法应用于SWellEx-96实验数据并由线性规划准则度量跟踪性能, 结果表明: 相比已有匹配场跟踪和基于随机有限集的多目标跟踪方法, 所提方法实现了两个水下运动声源轨迹连续跟踪, 其中, 轨迹状态随机有限集的建模方式以及在轨迹空间内执行预测和更新步骤, 可以防止在未持续发声且数量未知的声源跟踪过程中出现轨迹中断和混叠现象; 结合模糊度函数峰值位置和幅度信息执行数据关联步骤, 可抑制虚假轨迹.
编辑推荐
2023, 72 (18): 184701.
doi:10.7498/aps.72.20230893
摘要 +
高压放电充气毛细管可产生等离子体通道, 用于激光尾波加速. 为探究尾波级联加速所使用毛细管内的气体流动及分布规律, 本文建立了基于标准k-ε模型的弯曲毛细管内气体流动计算模型. 以氦气为工质, 对弯曲毛细管内可压气体流动过程进行数值模拟, 分析了不同结构、充气背压、充气口位置对毛细管内气体密度分布及速度场的影响. 结果表明: 双侧对冲弯曲毛细管在充气口之间管段具有较为稳定的气体密度分布, 充气口附近气体密度波动随充气口与毛细管两端距离的增大而减小; 在“直+弯”结构的级联加速毛细管中, 负责电子注入的直通道口径会对弯管内气体密度分布造成影响, 当电子注入通道口径小于150 μm时, 弯曲毛细管内气体流动受到直通道的影响较小, 可作为级联结构中的电子束导引通道.
2023, 72 (18): 184702.
doi:10.7498/aps.72.20230602
摘要 +
镥-177是目前全球医用同位素的研究热点之一, 可使用通过电子束物理气相沉积技术(EB-PVD)辅助生产和加工的镥-176经由反应堆辐照制得. 金属蒸发过程是EB-PVD的重要一环, 金属原子蒸气的各宏观特征量分布将直接影响后续的沉积镀膜过程. 本文基于直接模拟蒙特卡罗方法, 将原子亚稳态引入碰撞假设, 建立了金属蒸发过程的二维和三维模型, 对是否考虑镥原子亚稳态的金属蒸发过程中各宏观特征量进行分析比较, 并对中心处宏观特征量随狭缝开口大小和蒸发源表面温度的变化特点进行讨论. 研究结果表明, 原子亚稳态会导致经过束流装置的金属原子蒸气数密度降低、运动速度和速度的离散程度上升, 同时狭缝开口大小和蒸发源表面温度均会引发金属原子蒸气宏观特征量分布的变化. 在二维模型基础上进行的三维模拟结果与其变化一致, 本工作可为电子束金属蒸发过程的实验研究提供参考和指导.
核物理学
2023, 72 (18): 182101.
doi:10.7498/aps.72.20230778
摘要 +
针对簇类同位素位移难以测定及其产生原因难以鉴别等问题, 本文运用光磁共振和热离解相结合的技术, 获得了气态Rb同位素原子簇87,85Rbn(n= 1, 2, ···, 13)两系列共振离解光谱、等数簇矩移、塞曼能移. 并对每个簇进行基于巨原子概念模型量化计算, 其结果与实测结果严格一致, 表明铷簇可以作为巨原子分析. 进一步运用铷簇塞曼能级间隔公式计算出87,85Rbn(n= 1, 2, 3, ···, 92) 5s电子壳层能级结构, 发现5s单电子壳层结构主要秩序和步距与钠簇的在球状对称势阱下3s单电子壳层结构相似, 证实铷簇5s单电子壳层结构可以由塞曼能级大能隙决定. 共振离解光谱的奇偶交替特性及其在特殊数(如n= 2)处的反常磁矩特征峰均是由价电子的内在性质和分子结构特性引起. 还发现87Rbn与85Rbn的5s单电子壳层结构步调严格一致, 量值大小均有3/2比值关系, 且二者光谱中心频率及展宽存在反常差异, 可能与87, 85Rb的核素处于核壳层闭合面附近直接相关.
气体、等离子体和放电物理
2023, 72 (18): 185202.
doi:10.7498/aps.72.20230281
摘要 +
偏滤器靶板钨/铜瓦片在高热流作用下的热表现是未来托卡马克ITER最受关注的问题之一. 由于安装精度等因素, 钨/铜瓦片会出现排布位错从而产生凸出棱边, 凸出棱边处能流密度极大, 严重侵蚀靶板. 建立了二维对流传热的自洽模型, 包括热辐射、汽化和熔化效应, 同时, 耦合冷却水状态变化, 研究类ITER第一类边界局域模热流对出现排布位错的偏滤器靶板钨/铜瓦片的腐蚀程度, 比较直角、斜边瓦片的热性能. 为了研究瓦片缝隙、排布误差对等离子体行为和能流密度分布的影响, 利用二维边缘等离子体动理学程序计算不同排布误差下两种形状瓦片表面的能流密度分布, 并作为热传导模型的输入参数. 研究结果表明: 瓦片缝隙附近等离子体行为会受排布误差影响, 不同排布误差下的直角、斜边瓦片边缘处能流密度分布不同, 对两种形状瓦片的热表现影响极大, 排布误差越大, 两种形状瓦片的热腐蚀程度越大; 相对于直角瓦片, 斜边瓦片在边界局域模热流作用下的热腐蚀程度较小, 且有较好的对抗排布位错的能力.
凝聚物质:结构、力学和热学性质
2023, 72 (18): 186102.
doi:10.7498/aps.72.20230976
摘要 +
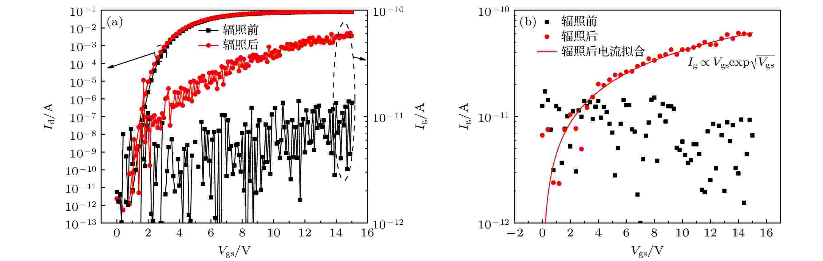
基于14 MeV中子辐照研究了碳化硅(silicon carbide, SiC)肖特基势垒二极管(Schottky barrier diode, SBD)和金属氧化物半导体场效应晶体管(metal oxide semiconductor field effect transistor, MOSFET)器件的位移损伤退化特性. 结果表明: 总注量为1.18×1011cm–2的中子辐照不会引起SBD正向I-V特性的明显退化, 但会导致反向漏电流出现显著增大. 通过深能级瞬态谱测试发现中子辐照在SiC中引入的缺陷簇形成了能级位置EC-1.034 eV处的缺陷. 该深能级缺陷可能导致SiC漂移层费米能级向禁带中央移动, 引起了肖特基势垒的降低, 最终导致反向漏电流的增大. 此外, 中子辐照也会导致SiC MOSFET栅漏电增大. 对应栅电压Vgs= 15 V时, 辐照后器件栅电流比辐照前增大了近3.3倍. 中子辐照在氧化层中引入的施主型缺陷导致辐照前后MOSFET器件的栅氧导电机制发生了变化. 缺陷对载流子越过栅氧化层势垒有辅助作用, 从而导致栅漏电的增加. 深能级瞬态谱测试结果表明中子辐照还会导致MOSFET器件沟道附近SiC材料中本征缺陷状态的改变, 同时形成了新的Si空位缺陷能级, 但这些缺陷不是导致器件性能退化的主要原因.
2023, 72 (18): 186301.
doi:10.7498/aps.72.20230583
摘要 +
随着航空航天、能源化工等领域的快速发展, 人们对高温合金的性能提出了更高的期望. Inconel 718 (简称IN 718)是目前用量最大的镍基高温合金, 目前国内外关于Si对IN 718合金组织与性能影响的研究, 尤其是在微观尺度上的研究, 还存在大量空白. 本文从第一性原理计算出发研究了Si掺杂对IN 718合金中γ相的影响, 计算了Si掺杂前后γ相的晶格常数、总能量、缺陷形成能、形成热、结合能、态密度和差分电荷密度, 并进行了布居分析. 同时利用等离子熔覆的方法制备了IN 718涂层以及Si质量分数为2%的IN 718涂层, 并对其进行显微组织及相结构的分析. 计算结果表明, Si的掺杂改变了体系内原子的交互作用, 影响了原子之间的价电子数量、电荷密度分布及原子之间键合的强度, 从而扩大了γ相的晶胞体积, 同时降低了γ相的稳定性. 实验结果表明, Si掺杂会使得IN 718合金涂层组织发生由柱状晶向等轴晶的转变, 并降低IN 718合金中γ相的体积分数, 同时, Si掺杂会加剧合金组织内Nb和Cr元素的偏析.
凝聚物质:电子结构、电学、磁学和光学性质
2023, 72 (18): 187201.
doi:10.7498/aps.72.20230998
摘要 +
基于界面激基复合物作为主体的主-客体型有机发光二极管(organic light emitting diodes, OLEDs)的外量子效率已经突破36%, 但其主-客体间能量传递过程还有待深入研究. 本文提出一种基于客体Rubrene热激子反向系间窜越(T2,Rub→ S1,Rub)的特征磁响应探测界面激基复合物型OLEDs中能量传递过程的实验策略. 具体通过表征主、客体材料的光物理特性, 证明了主-客体单重态激子间的Förster共振能量传递过程; 通过研究界面激基复合物型器件的磁电致发光响应曲线, 可视化了主-客体三重态激子间的Dexter能量传递过程, 且该过程有效发生对于器件电致发光具有不可忽视的促进作用. 本研究不仅为探测OLEDs中Dexter能量传递过程提供切实可行的理论方法, 还为进一步设计高性能热激子型OLEDs提供新的实验参考.
2023, 72 (18): 187801.
doi:10.7498/aps.72.20230694
摘要 +
低活化马氏体钢具有较好的抗辐照性能, 然而对其抗辐照机理尚不清楚, 特别是嬗变气体存在的情况下辐照缺陷行为非常复杂. 本文通过对低活化马氏体钢预形变(10%和20%)后热处理(723 K, 1 h)保留位错缺陷, 随后对预留位错的样品进行室温氦辐照(50 keV, 1×1017He/cm2), 采用同步辐射掠入射X射线衍射、慢正电子多普勒展宽谱和热脱附谱研究了位错与氦辐照缺陷的相互作用及位错对氦原子迁移、热脱附行为的影响. 结果表明, 高密度位错阻碍了氦和氦空位复合体的扩散, 进而减缓了辐照损伤的扩展, 这种现象随着位错密度的增大更加明显. 低活化马氏体钢在1179 K 时发生体心立方结构→面心立方结构相转变, 位错密度增加会导致由相转变引起的氦热脱附峰前移. 未形变、10%形变、20%形变样品中氦的滞留量分别为10.3%, 15.7%, 17.9%, 表明高密度位错更容易将氦保留到材料内部, 反映了位错对氦的滞留起到促进作用.
物理学交叉学科及有关科学技术领域
2023, 72 (18): 188501.
doi:10.7498/aps.72.20230819
摘要 +
三值逻辑技术相比于二值逻辑, 不仅能够提高芯片信息密度, 还能进一步降低电路功率损耗和系统设计复杂度. 然而采用传统的二值逻辑器件搭建三值逻辑电路所需要的元器件数量较多, 而且需借助无源元件, 这反而牺牲了三值逻辑的优势. 借助新型的二维材料也可以实现三值逻辑器件, 这种方式需要的元器件数量少, 且不需要借助无源元件, 但是却面临制备工艺不成熟无法批量生产的问题. 目前还没有能够兼容于传统互补金属氧化物半导体工艺的低功耗三值逻辑门电路, 针对这一问题, 本文将载流子隧穿机制与漂移扩散机制相结合, 提出混合机制的隧穿金属氧化物半导体场效应晶体管(TMOSFET), 并对其工作原理进行了深入分析, 研究了基于TMOSFET的三值逻辑反相器工作原理, 分析了三值逻辑反相器输出3种状态所对应输入电压范围相当的必要条件, 对于后续三值逻辑电路设计具有一定的借鉴意义.




