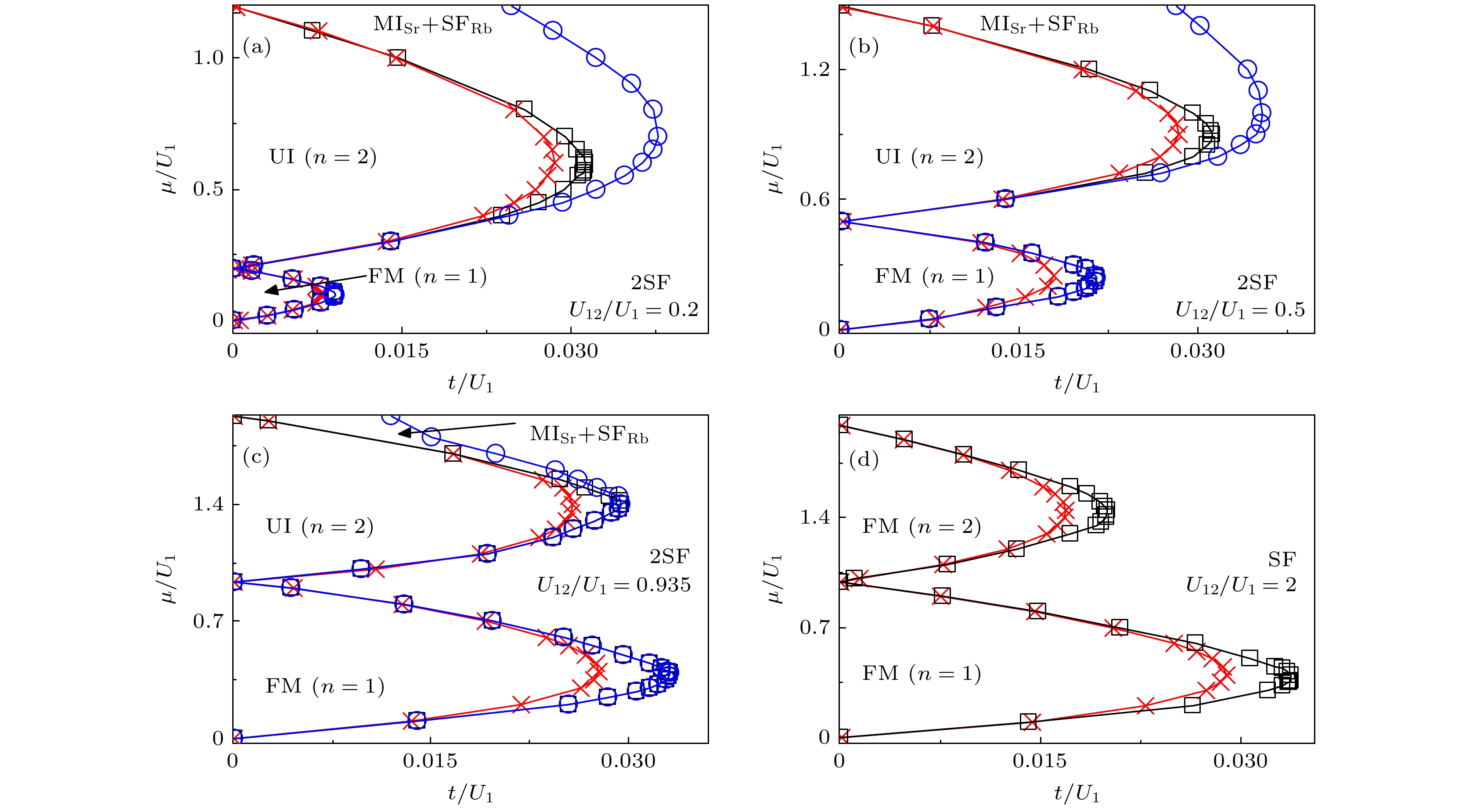
With the development of atomic cooling technology and optical lattice technology, the quantum system composed of optical lattice and ultracold atomic gas has become a powerful tool for quantum simulation. The purity and highly controllable nature of the optical lattice give it a strong regulatory capability. Therefore, more complex and interesting physical phenomena can be simulated, which deepens the understanding of quantum many-body physics. In recent years, we have studied different Bose systems with strong correlations in optical lattice based on the bosonic dynamical mean-field theory, including multi-component system, high- orbit bosonic system, and long-range interaction system. In this review, we introduce the research progress of the above mentioned. Through the calculation by using bosonic dynamical mean-field theory which has been generalized to multi-component and real space versions, a variety of physical phenomena of optical crystal lattice Bose system in weak interaction intervals to strong interaction intervals can be simulated. The phase diagram of spin-1 ultracold bosons in a cubic optical lattice at zero temperature and finite temperature are drawn. A spin-singlet condensate phase is found, and it is observed that the superfluid can be heated into a Mott insulator with even (odd) filling through the first (second) phase transition. In the presence of a magnetic field, the ground state degeneracy is broken, and there are very rich quantum phases in the system, such as nematic phase, ferromagnetic phase, spin-singlet insulating phase, polar superfluid, and broken-axisymmetry superfluid. In addition, multistep condensations are also observed. Further, we calculate the zero-temperature phase diagram of the mixed system of spin-1 alkali metal atoms and spin-0 alkali earth metal atoms, and find that the system exhibits a non-zero magnetic ordering, which shows a second-order Mott insulation-superfluid phase transition when the filling number is
$n=1$
, and a first-order Mott insulation-superfluid phase transition when the filling number is
$n=2$
. The two-step Mott-insulating-superfluid phase transition due to mass imbalance is also observed. In the study of long-range interactions, we first use Rydberg atoms to find two distinctive types of supersolids, and then realize the superradiant phase coupled to different orbits by controlling the reflection of the pump laser in the system coupled to the high-finesse cavity. Finally, we study the high-orbit Bose system. We propose a new mechanism of spin angular-momentum coupling with spinor atomic Bosons based on many-body correlation and spontaneous symmetry breaking in a two-dimensional optical lattice, and then study the orbital frustration in a hexagonal lattice. We find that the interaction between orbital frustration and the strong interaction results in exotic Mott and superfluid phases with spin-orbital intertwined orders.