-
针对簇类同位素位移难以测定及其产生原因难以鉴别等问题, 本文运用光磁共振和热离解相结合的技术, 获得了气态Rb同位素原子簇 87,85Rb n( n= 1, 2, ···, 13)两系列共振离解光谱、等数簇矩移、塞曼能移. 并对每个簇进行基于巨原子概念模型量化计算, 其结果与实测结果严格一致, 表明铷簇可以作为巨原子分析. 进一步运用铷簇塞曼能级间隔公式计算出 87,85Rb n( n= 1, 2, 3, ···, 92) 5s电子壳层能级结构, 发现5s单电子壳层结构主要秩序和步距与钠簇的在球状对称势阱下3s单电子壳层结构相似, 证实铷簇5s单电子壳层结构可以由塞曼能级大能隙决定. 共振离解光谱的奇偶交替特性及其在特殊数(如 n= 2)处的反常磁矩特征峰均是由价电子的内在性质和分子结构特性引起. 还发现 87Rb n与 85Rb n的5s单电子壳层结构步调严格一致, 量值大小均有3/2比值关系, 且二者光谱中心频率及展宽存在反常差异, 可能与 87, 85Rb的核素处于核壳层闭合面附近直接相关.Because of the difficulty in measuring the cluster isotope displacement and identifying its cause, the resonance dissociation spectra, the moment shift and Zeeman energy shift of isotope cluster 87,85Rb n( n= 1, 2, 3, ··· , 13) are obtained by the combination of optical magnetic resonance and thermal dissociation techniques in this study. The quantitative calculation is carried out based on the conceptual model of the giant atom, and the results are in excellent agreement with the measured results, which shows that rubidium clusters can be analyzed as giant atoms. Furthermore, 5s electron shell level structures of the rubidium cluster 87,85Rb n( n= 1, 2, 3, ··· , 92) are calculated by using Zeeman level interval model. It is found that the main order and step distance of the 5s electron shell structure are similar to those of 3s single electron shell structure of sodium cluster in spherical symmetry. It is confirmed that the structure of the 5s electron shell of the rubidium cluster is determined by the largest energy gap in total Zeeman levels and the characteristic peaks of odd and even alternating and anomalous magnetic moments of special numbers such as n= 2 are caused by the intrinsic properties of electrons and molecular structures. It is also found that 87Rb nlevel shell structure and 85Rb nlevel shell structure strictly conform to the ratio of 3/2 magnitude relationship, and that there are abnormal differences in spectral center frequency and broadening, which may be directly related to the 85,87Rb nuclei close to the shell closure.
-
Keywords:
- isonumber cluster/
- isotope effect/
- quantized magnetic moment shift and Zeeman energy shift/
- giant atoms and electron shell structure
[1] [2] [3] [4] [5] [6] [7] [8] [9] [10] [11] [12] [13] [14] [15] [16] [17] [18] [19] [20] [21] [22] [23] -
87,85Rbn 5s
电子数磁矩及矩移/μB 塞曼能移
$ \Delta {\bar E_n}/{\mu _{\text{B}}}{H_0} $磁矩比
$ {\bar \mu _{{87}n}}/{\bar \mu _{{85}n}} $塞曼能比
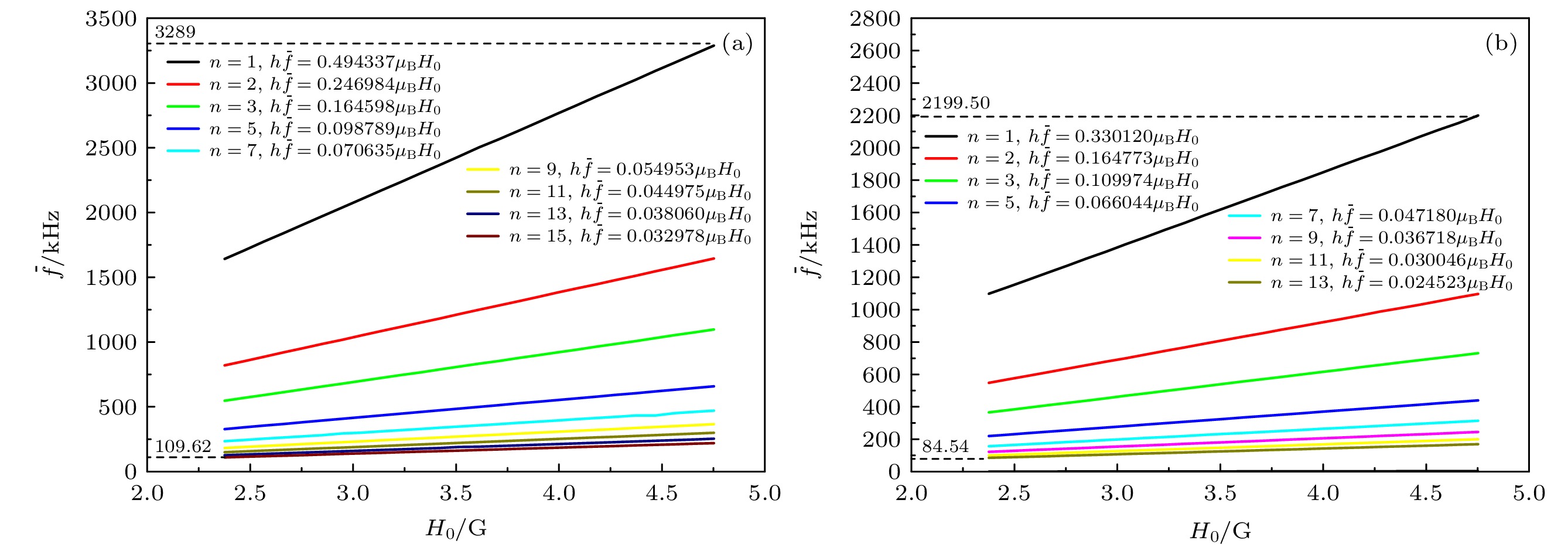
$ {\bar E_{87 n}}/{\bar E_{85 n}} $光谱平均幅度/mV $ {\bar \mu _{87 n}} $ $ {\bar \mu _{85 n}} $ $ \Delta {\bar \mu _n} $ ${{{{\bar A}_{87n}}}} $ ${{{{\bar A}_{85n}}}} $ ${{{{\bar A}_{87n}}}}/ {{{{\bar A}_{85n}}}} $ 87,85Rb1 1 0.494337 0.330120 0.164217 0.164217 1.497446 1.497446 1574.50 1008.71 1.56∶1 87,85Rb2 2 0.246984 0.164773 0.082211 0.082211 1.498935 1.498935 105.75 70.60 1.50∶1 87,85Rb3 3 0.164598 0.109974 0.054624 0.054624 1.496699 1.496699 883.07 589.49 1.49∶1 87,85Rb4 4 0 0 0 0 0 0 无共振 87,85Rb5 5 0.098789 0.066044 0.032745 0.032745 1.495805 1.495805 383.47 354.10 1.08∶1 87,85Rb6 6 0 0 0 0 0 0 无共振 87,85Rb7 7 0.070635 0.047180 0.023455 0.023455 1.497139 1.497139 188.70 170.63 1.10∶1 87,85Rb8 8 0 0 0 0 0 0 无共振 87,85Rb9 9 0.054953 0.036718 0.018235 0.018235 1.496623 1.496623 84.92 79.59 1.06∶1 87,85Rb10 10 0 0 0 0 0 0 无共振 87,85Rb11 11 0.044975 0.030046 0.014929 0.014929 1.496871 1.496871 48.62 39.90 1.18∶1 87,85Rb12 12 0 0 0 0 0 0 无共振 87,85Rb13 13 0.038060 0.025423 0.012637 0.012637 1.497070 1.497070 31.55 23.07 1.34∶1 团簇分子,
参考分子X组态和分子态及其$ {\lambda }_{合} $和s A组态和分子态及其$ {\lambda }_{合} $和s X与A 稳定性比较$ {p_{\text{a}}} - {p_{\text{b}}}$
87,85Rb1$ \begin{array}{c}{\text{KLMNspd(σ}}_{\text{g}}\text{5s}), \\ {}^{2}\text{Σ}{}_{\text{g}}^{+}, {\lambda }_{合}=0, s=1/2\end{array} $ $ \begin{array}{c} \text{KLMNspd}({\text{π}}_{\text{u}}4\text{d}), \\ {}^{2}\Pi_{\text{u}}, {\lambda }_{合}=1, s=1/2\end{array} $ $ \begin{array}{c} {\text{X:}}\, {p_{\text{a}}} - {p_{\text{b}}} = 1/2; \\ {\text{A:}}\, {p_{\text{a}}} - {p_{\text{b}}} = 1/2 \end{array} $ 87,85Rb2[17] $ \begin{array}{c}({\text{σ}}_{\text{g}}\text{5s})^{2}, {}^{1}\Sigma {}_{\text{g}}^{+}, {\lambda }_{合}=0, s=\text{0;}\\({\text{σ}}_{\text{g}}\text{5s)}{\text{(σ}}_{\text{u}}\text{5s)}, {}^{3}\Sigma {}_{\rm u}^{+}, \\{\lambda }_{合}=0, s=1\end{array} $ $ \begin{array}{c}{\text{(σ}}_{\text{g}}{\text{5s)(π}}_{\text{u}}\text{4d)}, {}^{1}\Pi_{\text{u}}, {\lambda }_{合}=1, s=0;\\或\; ({\text{σ}}_{\text{u}}{\text{5s)(π}}_{\text{u}}\text{4d)}, {}^{3}\Pi_{\text{g}},\\ {\lambda }_{合}=1, s=1\end{array} $ $ \begin{array}{l} {}\quad\;{\text{X:}}\, {p_{\text{a}}} - {p_{\text{b}}} = 1 - 0 = 1; \\ {}\quad\;{\text{A:}}\, {p_{\text{a}}} - {p_{\text{b}}} = 1 - 0 = 1 \\ 或\; {\text{X:}}\, {p_{\text{a}}} - {p_{\text{b}}} = 1/2 - 1/2 = 0; \\ {}\quad\;{\text{A:}}\, {p_{\text{a}}} - {p_{\text{b}}} = 1/2 - 1/2 = 0\, \end{array} $ 87,85Rb3 $ \begin{array}{c}{{\text{(σ}}_{\text{g}}}{\text{5s)}}^2{\text{(σ}}_{\text{u}}\text{5s)}, \\ {}^{2}\Sigma_{\text{u}}^{+}, {\lambda}_{合}=0, s=1/2\end{array} $ $ \begin{array}{c}{\text{(σ}}_{\text{g}}\text{5s)}{\text{(σ}}_{\text{u}}\text{5s)}{\text{(π}}_{\text{u}}\text{4d), }\\ {}^{2}\Pi_{\text{g}}^{}, {\lambda }_{合}=1, s=1/2\end{array} $ $ \begin{array}{c} {\text{X:}}\, {p_{\text{a}}} - {p_{\text{b}}} = 1 - 1/2 = 1/2 \\ {\text{A:}}\, {p_{\text{a}}} - {p_{\text{b}}} = 1 - 1/2 = 1/2 \end{array} $ 87,85Rb5 $ \begin{array}{c}{{\text{(σ}}_{\text{g}}}{\text{5s)}}^2{{\text{(σ}}_{\text{u}}}{\text{5s)}}^2{\text{(σ}}_{\text{g}}\text{4d), }\\ {}^{2}\Sigma_{\text{g}}^{+}, {\lambda }_{合}=0, s=1/2\end{array} $ $ \begin{array}{c}{{\text{(σ}}_{\text{g}}}{\text{5s)}}^2{{\text{(σ}}_{\text{u}}}{\text{5s)}}^2{\text{(π}}_{\text{u}}\text{4d)}, \\ {}^{2}\Pi_{\text{u}}^{}, {\lambda }_{合}=1, s=1/2\end{array} $ $ \begin{array}{c} {\text{X:}}\, {p_{\text{a}}} - {p_{\text{b}}} = 1\dfrac{1}{2} - 1 = 1/2 \\ {\text{A:}}\, {p_{\text{a}}} - {p_{\text{b}}} = 1\dfrac{1}{2} - 1 = 1/2 \end{array} $
87,85Rb7$ \begin{array}{c}{{\text{(σ}}_{\text{g}}}{\text{5s)}}^2{{\text{(σ}}_{\text{u}}}{\text{5s)}}^2{{\text{(σ}}_{\text{g}}}{\text{4d)}}^2{\text{(π}}_{\text{u}}\text{4d)}, \\ {}^{2}\Pi_{\text{u}}, {\lambda }_{合}=1, s=1/2\end{array} $ $ \begin{array}{c}{{\text{(σ}}_{\text{g}}}{\text{5s)}}^2{{\text{(σ}}_{\text{u}}}{\text{5s)}}^2{{\text{(σ}}_{\text{g}}}{\text{4d)}}^1{{\text{(π}}_{\text{u}}}{\text{4d)}}^2, \\{}^{2}\Sigma_{\text{g}}^{+}, {\lambda }_{合}=0, s=1/2;\\ {}^{2}\Delta_{\text{g}}, {\lambda }_{合}=2, s=1/2\end{array} $ $ \begin{array}{c} {\text{X:}}\, {p_{\text{a}}} - {p_{\text{b}}} = 2\dfrac{1}{2} - 1 = 1\dfrac{1}{2} \\ {\text{A:}}\, {p_{\text{a}}} - {p_{\text{b}}} = 2\dfrac{1}{2} - 1 = 1\dfrac{1}{2} \end{array} $
87,85Rb9$ \begin{array}{c}{{\text{(σ}}_{\text{g}}}{\text{5s)}}^2{{\text{(σ}}_{\text{u}}}{\text{5s)}}^2{{\text{(σ}}_{\text{g}}}{\text{4d)}}^2{{\text{(π}}_{\text{u}}}{\text{4d)}}^3, \\ {}^{2}\Pi_{\text{u}}, {\lambda }_{合}=1, s=1/2\end{array} $ $ \begin{array}{c}{{\text{(σ}}_{\text{g}}}{\text{5s)}}^2{{\text{(σ}}_{\text{u}}}{\text{5s)}}^2{{\text{(σ}}_{\text{g}}}{\text{4d)}}^1{{\text{(π}}_{\text{u}}}{\text{4d)}}^4, \\ {}^{2}\Sigma_{\text{g}}^{+}, {\lambda }_{合}=0, s=1/2;\\ {}^{2}\Delta_{\text{g}}, {\lambda }_{合}=2, s=1/2\end{array} $ $ \begin{array}{c} {\text{X:}}\, {p_{\text{a}}} - {p_{\text{b}}} = 3\dfrac{1}{2} - 1 = 2\dfrac{1}{2} \\ {\text{A:}}\, {p_{\text{a}}} - {p_{\text{b}}} = 3\dfrac{1}{2} - 1 = 2\dfrac{1}{2} \end{array} $ 87,85Rb11 $ \begin{array}{c}{{\text{(σ}}_{\text{g}}}{\text{5s)}}^2{{\text{(σ}}_{\text{u}}}{\text{5s)}}^2{{\text{(σ}}_{\text{g}}}{\text{4d)}}^2{{\text{(π}}_{\text{u}}}{\text{4d)}}^4{{\text{(π}}_{\text{g}}}{\text{4d)}}^1, \\ {}^{2}\Pi_{\text{u}}, {\lambda }_{合}=1, s=1/2\end{array} $ $ \begin{array}{c}{{\text{(σ}}_{\text{g}}}{\text{5s)}}^2{{\text{(σ}}_{\text{u}}}{\text{5s)}}^1{{\text{(σ}}_{\text{g}}}{\text{4d)}}^2{{\text{(π}}_{\text{u}}}{\text{4d)}}^4{{\text{(π}}_{\text{g}}}{\text{4d)}}^2, \\ {}^{2}\Sigma_{\text{g}}^{+}, {\lambda }_{合}=0, s=1/2;\\ {}^{2}\Delta_{\text{g}}, {\lambda }_{合}=2, s=1/2\end{array} $ $ \begin{array}{c} {\text{X:}}\, {p_{\text{a}}} - {p_{\text{b}}} = 4 - 1\dfrac{1}{2} = 2\dfrac{1}{2} \\ {\text{A:}}\, {p_{\text{a}}} - {p_{\text{b}}} = 4 - 1\dfrac{1}{2} = 2\dfrac{1}{2} \end{array} $ 87,85Rb13 $ \begin{array}{c}{{\text{(σ}}_{\text{g}}}{\text{5s)}}^2{{\text{(σ}}_{\text{u}}}{\text{5s)}}^2{{\text{(σ}}_{\text{g}}}{\text{4d)}}^2{{\text{(π}}_{\text{u}}}{\text{4d)}}^4{{\text{(π}}_{\text{g}}}{\text{4d)}}^3, \\ {}^{2}\Pi_{\text{g}}, {\lambda }_{合}=1, s=1/2\end{array} $ $ \begin{array}{c}{{\text{(σ}}_{\text{g}}}{\text{5s)}}^2{{\text{(σ}}_{\text{u}}}{\text{5s)}}^1{{\text{(σ}}_{\text{g}}}{\text{4d)}}^2{{\text{(π}}_{\text{u}}}{\text{4d)}}^4{{\text{(π}}_{\text{g}}}{\text{4d)}}^4, \\ {}^{2}\Sigma_{\text{u}}, {\lambda }_{合}=0, s=1/2\end{array} $ $ \begin{array}{c} {\text{X:}}\, {p_{\text{a}}} - {p_{\text{b}}} = 4 - 2\dfrac{1}{2} = 1\dfrac{1}{2} \\ {\text{A:}}\, {p_{\text{a}}} - {p_{\text{b}}} = 4 - 2\dfrac{1}{2} = 1\dfrac{1}{2} \end{array} $ 注:表2中电子组态仅87,85Rb1的基态和激发态标出了闭壳层KLMNspd, 其他粒子没有重复标出闭壳层KLMNspd. 87Rbn 5s
电子数分子态及本
征值$ {\lambda }_{合} $和s模型
F合$ {\bar \mu _n}/{\mu _{\text{B}}} $ $ {\bar \mu _n} $相对
误差/‰$ {\bar E_n}/{\mu _{\text{B}}}{H_0} $ $ {\bar E_n} $相对
误差/‰模型 实验 模型 实验 87Rb1 1 $ {}^{2}\Pi_{\text{u}}, {\lambda }_{合}=1, s=1/2 $ 2 $ 1/2 $ 0.494337 –11.326 $ 1/2 $ 0.494337 –11.326 87Rb2 2 $ {}^{3}\Pi_{\text{g}}, {\lambda }_{合}=1, s=1 $ 4 $ 1/4 $ 0.246984 –12.064 $ 1/4 $ 0.246984 –12.064 87Rb3 3 $ {}^{2}\Pi_{\text{g}}, {\lambda }_{合}=1, s=1/2 $ 6 $ 1/6 $ 0.164598 –12.412 $ 1/6 $ 0.164598 –12.412 87Rb5 5 $ {}^{2}\Pi_{\text{u}}, {\lambda }_{合}=1, s=1/2 $ 10 $ 1/10 $ 0.098789 –12.110 $ 1/10 $ 0.098789 –12.110 87Rb7 7 $ {}^{2}\Pi_{\text{u}}, {\lambda }_{合}=1, s=1/2 $ 14 $ 1/14 $ 0.070635 –11.110 $ 1/14 $ 0.070635 –11.110 87Rb9 9 $ {}^{2}\Pi_{\text{u}}, {\lambda }_{合}=1, s=1/2 $ 18 $ 1/18 $ 0.054953 –10.846 $ 1/18 $ 0.054953 –10.846 87Rb11 11 $ {}^{2}\Pi_{\text{u}}, {\lambda }_{合}=1, s=1/2 $ 22 $ 1/22 $ 0.044975 –10.550 $ 1/22 $ 0.044975 –10.550 87Rb13 13 $ {}^{2}\Pi_{\text{g}}, {\lambda }_{合}=1, s=1/2 $ 26 $ 1/26 $ 0.038060 –10.440 $ 1/26 $ 0.038060 –10.440 87Rb4,6,8,10,12 4, 6, 8, 10, 12 [19,20,21] 0 0 0 0 0 0 平均值 –6.989 –6.989 85Rbn 5s
电子数分子态及本
征值$ {\lambda }_{合} $和s模型
F合$ {\bar \mu _n}/{\mu _{\text{B}}} $ $ {\bar \mu _n} $相对
误差/‰$ {\bar E_n}/{\mu _{\text{B}}}{H_0} $ $ {\bar E_n} $相对
误差/‰模型 实验 模型 实验 85Rb1 1 $ {}^{2}\Pi_{\text{u}}, {\lambda }_{合}=1, s=1/2 $ 3 1/3 0.330120 –9.640 1/3 0.330120 –9.640 85Rb2 2 $ {}^{3}\Pi_{\text{g}}, {\lambda }_{合}=1, s=1 $ 6 1/6 0.164773 –11.362 1/6 0.164773 –11.362 85Rb3 3 $ {}^{2}\Pi_{\text{g}}, {\lambda }_{合}=1, s=1/2 $ 9 1/9 0.109974 –10.234 1/9 0.109974 –10.234 85Rb5 5 $ {}^{2}\Pi_{\text{u}}, {\lambda }_{合}=1, s=1/2 $ 15 1/15 0.066044 –9.340 1/15 0.066044 –9.340 85Rb7 7 $ {}^{2}\Pi_{\text{u}}, {\lambda }_{合}=1, s=1/2 $ 21 1/21 0.047180 –9.220 1/21 0.047180 –9.220 85Rb9 9 $ {}^{2}\Pi_{\text{u}}, {\lambda }_{合}=1, s=1/2 $ 27 1/27 0.036718 –8.614 1/27 0.036718 –8.614 85Rb11 11 $ {}^{2}\Pi_{\text{u}}, {\lambda }_{合}=1, s=1/2 $ 33 1/33 0.030046 –8.482 1/33 0.030046 –8.482 85Rb13 13 $ {}^{2}\Pi_{\text{g}}, {\lambda }_{合}=1, s=1/2 $ 39 1/39 0.025423 –8.503 1/39 0.025423 –8.503 85Rb4,6,8,10,12 4, 6, 8, 10, 12 [19,20,21] 0 0 0 0 0 0 平均值 –5.800 –5.800 n $ {\bar \mu _n}/{\mu _{\text{B}}} $ 模型矩移
$ \Delta {\bar \mu _n}/{\mu _{\text{B}}} $$ {\bar \mu _n}/{\mu _{\text{B}}} $ 实验矩移
$ \Delta {\bar \mu _n}/{\mu _{\text{B}}} $相对误差/‰ 87Rbn模型 85Rbn模型 87Rbn实验 85Rbn实验 1 1/2 1/3 1/6 0.494337 0.330120 0.164217 –14.698 2 1/4 1/6 1/12 0.246984 0.164773 0.082211 –13.468 3 1/6 1/9 1/18 0.164598 0.109974 0.054624 –16.768 4 0 0 0 0 0 0 0 5 1/10 1/15 1/30 0.098789 0.066044 0.032745 –17.65 6 0 0 0 0 0 0 0 7 1/14 1/21 1/42 0.070635 0.047180 0.023455 –14.89 8 0 0 0 0 0 0 0 9 1/18 1/27 1/54 0.054953 0.036718 0.018235 –15.31 10 0 0 0 0 0 0 0 11 1/22 1/33 1/66 0.044975 0.030046 0.014929 –14.686 12 0 0 0 0 0 0 0 13 1/26 1/39 1/78 0.038060 0.025423 0.012637 –14.314 平均值 –9.368 n $ {\bar E_n}/{\mu _{\text{B}}}{H_0} $ 模型能移
$\Delta {\bar E_n}/{\mu _{\text{B}}}{H_0} $$ {\bar E_n}/{\mu _{\text{B}}}{H_0} $ 实验能移
$ \Delta{\bar E_n}/{\mu _{\text{B}}}{H_0} $相对误差/‰ 87Rbn模型 85Rbn模型 87Rbn实验 85Rbn实验 1 1/2 1/3 1/6 0.494337 0.330120 0.164217 –14.698 2 1/4 1/6 1/12 0.246984 0.164773 0.082211 –13.468 3 1/6 1/9 1/18 0.164598 0.109974 0.054624 –16.768 4 0 0 0 0 0 0 0 5 1/10 1/15 1/30 0.098789 0.066044 0.032745 –17.65 6 0 0 0 0 0 0 0 7 1/14 1/21 1/42 0.070635 0.047180 0.023455 –14.89 8 0 0 0 0 0 0 0 9 1/18 1/27 1/54 0.054953 0.036718 0.018235 –15.31 10 0 0 0 0 0 0 0 11 1/22 1/33 1/66 0.044975 0.030046 0.014929 –14.686 12 0 0 0 0 0 0 0 13 1/26 1/39 1/78 0.038060 0.025423 0.012637 –14.314 平均值 –9.368 n 1 5 7 9 1/2 CC87/kHz 78.52 19.22 7.92 8.73 1/2 CC85/kHz 98.34 24.84 17.06 12.41 CC87/CC85 0.80 0.77 0.46 0.70 BC87/kHz 812.75 167.60 116.40 89.10 BC85/kHz 510.55 113.51 74.35 58.63 BC87/BC85 1.59 1.47 1.57 1.48 注: 实验测量的1/2 CC是共振峰的半峰高处左半部分对应的中心频率的展宽. -
[1] [2] [3] [4] [5] [6] [7] [8] [9] [10] [11] [12] [13] [14] [15] [16] [17] [18] [19] [20] [21] [22] [23]
计量
- 文章访问数:2669
- PDF下载量:41
- 被引次数:0














下载:




