-
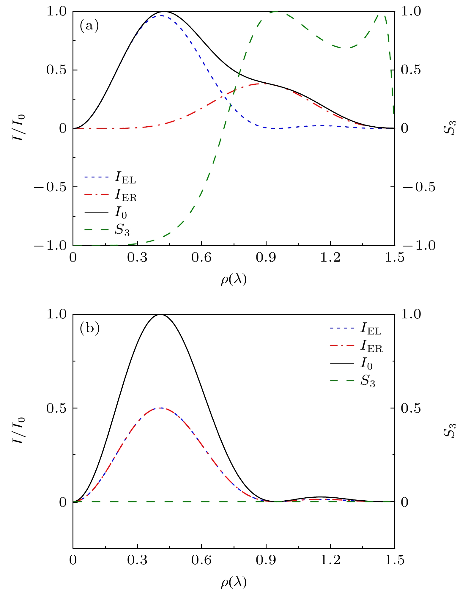
系统研究了角向矢量涡旋光的紧聚焦焦斑特性, 解释了焦平面自旋角动量局域化分布的形成原因. 角向矢量涡旋光可分解为左、右旋圆偏振电场叠加, 将分解所得的左、右旋分量分别经大数值孔径透镜聚焦, 总聚焦电场可视为左、右旋分量聚焦电场的干涉叠加. 经分析研究后发现, 左、右旋分量各自聚焦电场的纵向分量大小相等、相位相反, 完全干涉相消, 使得总聚焦电场的纵向分量消失; 而各自聚焦电场的横向分量则完全相反, 几乎不发生干涉, 总聚焦电场表现为非相干叠加. 角向偏振光引入涡旋相位后, 使得左、右旋电场分量的轨道角动量的拓扑荷数发生变化, 拓扑荷数的绝对值不再相等, 而是恒定差值为2. 因此左、右旋电场的横向分量由于携带不同的拓扑荷数, 分别聚在焦平面的不同位置, 而横向分量发生非相干叠加, 不相互影响, 最终形成了总电场偏振态的局域化分布, 即自旋角动量局域化分布的现象. 随后, 本文横向对比了1阶角向矢量涡旋光和径向偏振矢量光的超分辨焦斑特性, 分析了各自的优、缺点以及影响焦斑尺寸的因素. 最后, 兼顾了超分辨光针的性能和实际实现难度, 设计了6环带的二元相位板对1阶角向矢量涡旋光进行了波前调制, 实现了横向半高全宽为
$0.391\lambda $ , 纵向半高全宽为$25.5\lambda $ 的超长超分辨光针.The tight focusing characteristics of azimuthally polarized vortex beams are systematically investigated in this work. The azimuthally polarized vortex beam can be decomposed into left-handed circularly polarized (LHCP) wave and right-handed circularly polarized ( RHCP) wave. It is found that the longitudinal component of LHCP and RHCP at the focal plane are equal in magnitude but opposite in phase. Thus, the total longitudinal field disappears because of the completely destructive interference. In contrast, there is almost no interference between the transverse component of LHCP and RHCP. Thus, the total transverse field is the incoherent superposition of them. Since the absolute value of the topological charge of LHCP component and RHCP component are not equal, the transverse component of LHCP and RHCP will be concentrated in the different areas on the focal plane. It is the reason for the orbit-induced SAM to be localized on the focal plane. Then, we compare the focal spot characteristics of the radially polarized beam and the azimuthally polarized beam with a first-order vortex. The advantages and disadvantages of them are discussed in detail, respectively. For the radially polarized beam, the central focal spot is mainly longitudinal component, and the sidelobe is mainly transverse component. For the azimuthally polarized vortex beam with $l = 1$ , the central focal spot is mainly LHCP component, and the sidelobe is mainly RHCP component. In both cases, the field distributions of the central spots are the same, and both show a distribution similar to the zero-order Bessel function. The situation of the sidelobe is different. The sidelobe of the radially polarized beam shows a distribution similar to the first-order Bessel function and the sidelobe of the azimuthally polarized vortex beam indicates a distribution similar to the second-order Bessel function. Therefore, the sidelobe of the radially polarized beam is closer to that of the optical axis, resulting in a larger central focal spot size. On the other hand, the sidelobe of the radially polarized beam accounts for a much smaller proportion of the total energy than that of the azimuthally polarized vortex beam. So the sidelobe peak intensity of the radially polarized beam is lower. Finally, an optimal binary phase element is designed to obtain an ultra-long super-resolution optical needle. The transverse full weight of half maximum (FWHM) can achieve$0.391\lambda $ and the longitudinal FWHM can reach to$25.5\lambda $ by using only 6 belts.-
Keywords:
- vector beam/
- vortex beam/
- super-resolution needle
[1] [2] [3] [4] [5] [6] [7] [8] [9] [10] [11] [12] [13] [14] [15] [16] [17] [18] [19] [20] [21] [22] [23] [24] [25] -
$n = 1$, ${\text{NA}} = 1$ $n = 1$, ${\text{NA}} = 0.95$ $n = 1.52$, ${\text{NA}} = 1.4$ ${I_{\rm A}}$的FWHM $0.371{\lambda _n}$ $0.389{\lambda _n}$ $0.403{\lambda _n}$ ${I_{\text{R}}}$的FWHM $0.359{\lambda _n}$ $0.391{\lambda _n}$ $0.412{\lambda _n}$ -
[1] [2] [3] [4] [5] [6] [7] [8] [9] [10] [11] [12] [13] [14] [15] [16] [17] [18] [19] [20] [21] [22] [23] [24] [25]
计量
- 文章访问数:3119
- PDF下载量:148
- 被引次数:0












下载:





