-
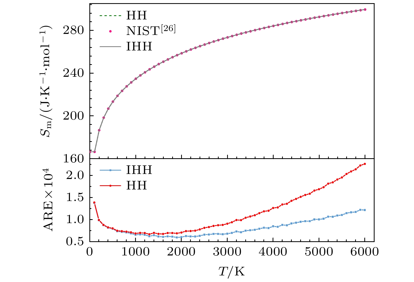
基于课题组前期获得的研究双原子分子某电子态完全势能函数改进后的Hulburt-Hirschfelder (improved Hulburt-Hirschfelder, IHH)势能模型, 结合实验测量得到的光谱常数和Rydberg-Klein-Rees (RKR)光谱数据, 对NO +离子基态包含离解区在内的全程势能曲线进行研究. 利用获得的完全势能曲线数值求解一维薛定谔方程, 得到了体系包含高激发态在内的振转能级, 并以此为基础计算获得体系总的内部配分函数, 最后借助量子统计系综理论计算NO +离子系统在100—6000 K温度内的摩尔热容、摩尔熵、摩尔焓和约化摩尔吉布斯自由能. 对NO +离子系统的研究结果表明, IHH势模型同样也适用于离子系统, 计算的势能曲线与实验数据吻合良好, 其精度优于HH势和MRCI/aug-cc-pV6Z势, 且预测的热力学性质较HH势模型更接近实验值. 本文提出的研究方法为通过双原子离子微观信息获取系统宏观热力学性质提供了一条新的有效途径.
NO +is one of the most important ions in the atmospheric ionosphere and ionospheric phenomena such as auroras, and is one of the most stable diatomic cations existing in interstellar clouds. It is crucial to understand the thermodynamic properties of NO +ion for exploring the composition of interstellar gas. To obtain macroscopic thermodynamic properties of diatomic molecules and ions, a practical theoretical method is to determine the partition function associated with a potential model. This approach can be used to calculate various thermodynamic properties of the system based on the microscopic information. In this work, the improved Hulbert-Hirschfelder (IHH) based potential energy model is used to simulate the potential energy curve of NO +in the ground electronic state. Then, the rovibrational energy levels for the ground electronic state of the NO +are obtained by numerically solving the radial Schrödinger equation through using the LEVEL program for the IHH potential function. Finally, the total partition function and the thermodynamic properties such as the molar heat capacity, entropy, enthalpy and reduced molar Gibbs free energy of NO +in a temperature range of 100–6000 K are calculated in the frame of the quantum statistical ensemble theory. The comparison indicates that the potential energy curve calculated based on IHH potential energy function is in better agreement with the experimental data. The root mean square error of IHH potential and experimental Rydberg-Klein-Rees (RKR) potential is 96.9 cm –1, the root mean square error of Hulbert-Hirschfelder (HH) potential is 112.7 cm –1, and the root mean square error of MRCI/aug-cc-pV6Z potential is 133 cm –1. And the macroscopic thermodynamic properties of NO +predicted by IHH are closer to the experimental values, which shows that the IHH potential model is also applicable to the ion system. A feasible method is presented to obtain the thermodynamic properties of gaseous diatomic ions based on microscopic information by constructing reliable analytical potential energy function associated with quantum statistical ensemble theory. -
Keywords:
- NO+ion/
- improved Hulburt-Hirschfelder potential/
- partition function/
- thermodynamic properties
[1] [2] [3] [4] [5] [6] [7] [8] [9] [10] [11] [12] [13] [14] [15] [16] [17] [18] [19] [20] [21] [22] [23] [24] [25] [26] [27] [28] [29] [30] [31] [32] [33] [34] [35] [36] [37] -
r/Å $ {E_{{\text{RKR}}}} $/cm–1[36] $ {E_{{\text{IHH}}}} $/cm–1 $\left| {\Delta {E_{ {\text{RKR–IHH} } } }} \right|$/cm–1 $ {E_{{\text{HH}}}} $/cm–1 $ \left| {\Delta {E_{{\text{RKR–HH}}}}} \right| $/cm–1 $ {E_{{\text{MRCI}}}} $/cm–1[35] $ \left| {\Delta {E_{{\text{RKR–MRCI}}}}} \right| $/cm–1 0.926 16911.0 17037.50 127 16886.09 25 17113.82 203 0.934 14761.9 14825.64 64 14721.53 40 14833.44 72 0.943 12580.2 12561.20 19 12494.49 86 12417.22 163 0.953 10366.1 10382.87 17 10342.77 23 10343.47 23 0.963 8119.40 8115.441 4 8094.606 25 8111.838 8 0.977 5840.20 5839.586 1 5830.842 9 5833.200 7 0.995 3528.50 3522.741 6 3520.407 8 3526.113 2 1.022 1184.30 1161.440 23 1161.306 23 1142.913 41 1.109 1184.30 1187.712 3 1187.826 4 1160.835 23 1.147 3528.50 3505.745 23 3507.331 21 3502.362 26 1.175 5840.20 5886.843 47 5892.355 52 5887.909 48 1.199 8119.40 8269.826 150 8282.220 163 8289.580 170 1.211 10366.1 10285.10 81 10305.88 60 10179.40 187 1.241 12580.2 12581.93 2 12615.36 35 12503.09 77 1.261 14761.9 14905.62 144 14955.40 194 14955.96 194 1.280 16911.0 17187.37 276 17256.83 346 17219.91 309 RMSD 96.9 112.7 133 热力学量 HH IHH $ {C_{\text{m}}} $/(J·mol–1·K–1) 0.053912 0.021733 $ {S_{\text{m}}} $/(J·mol–1·K–1) 0.035233 0.022930 $\Delta H$/(kJ·mol–1) 0.082503 0.034329 $ {G_{\text{r}}} $/(J·mol–1·K–1) 0.021079 0.017711 -
[1] [2] [3] [4] [5] [6] [7] [8] [9] [10] [11] [12] [13] [14] [15] [16] [17] [18] [19] [20] [21] [22] [23] [24] [25] [26] [27] [28] [29] [30] [31] [32] [33] [34] [35] [36] [37]
计量
- 文章访问数:2322
- PDF下载量:48
- 被引次数:0












下载:




