-
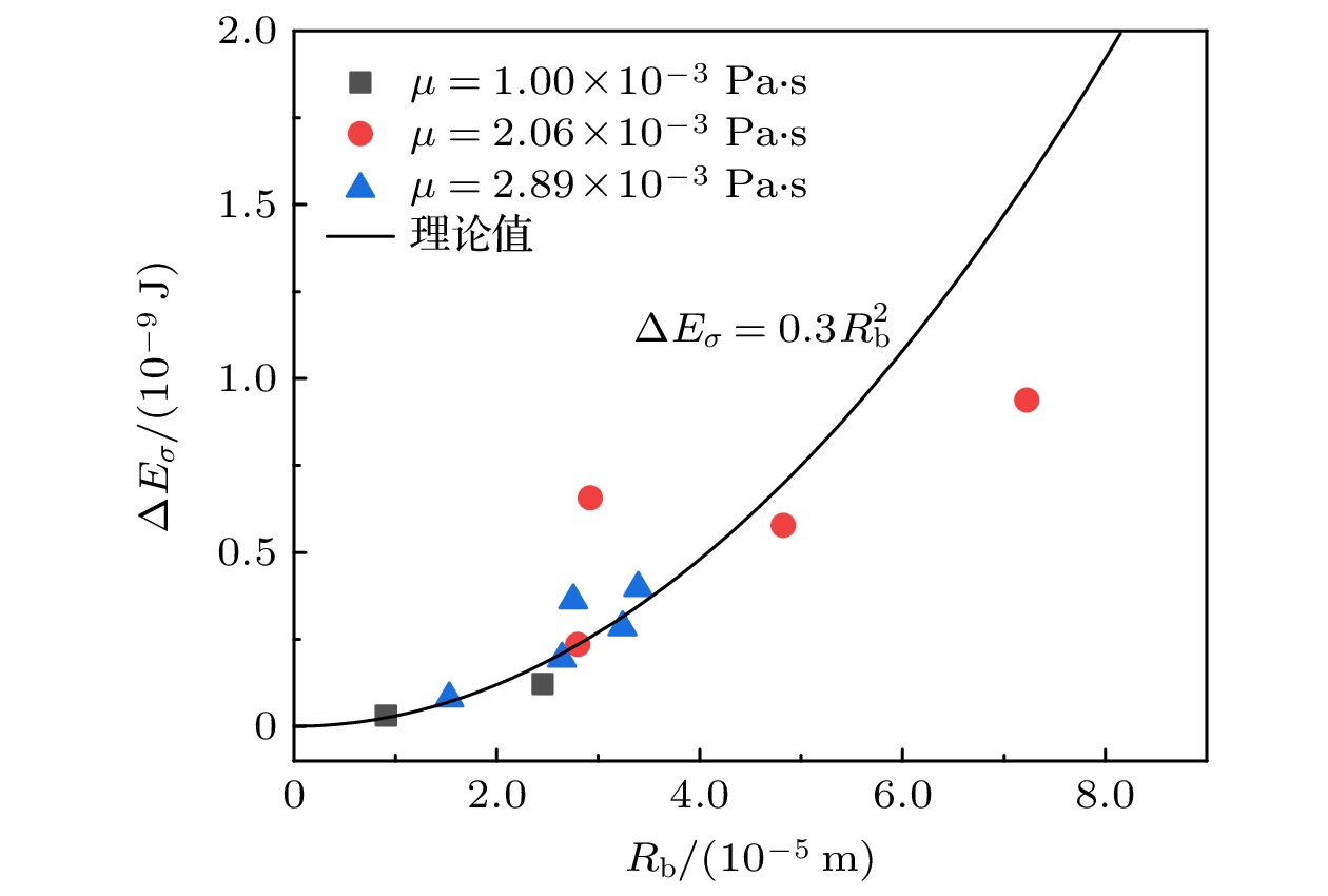
微纳米马达是建立微流体环境与宏观操控的桥梁, 气泡微马达的驱动速度高, 这一优势在实际应用中不可替代. 管式气泡马达适用于复杂场景但能量转化率低, 气泡驱动的Janus微球马达效率高但仅适用于气液界面附近. 鉴于此, 本文提出通过双气泡聚并方式驱动Janus微球马达的新体系, 调和了高能量转化率与界面受限的矛盾. 在实验中, 借助高速摄像记录了双气泡聚并驱动微马达的~100 μs级过程, 气泡聚并紧邻微球发生, 通过释放的能量驱动微球显著运动, 其融合过程是独特的可动曲壁受限下的气液界面演化问题. 进一步结合伪势格子Boltzmann数值方法探究了气泡聚并驱动的流体动力学机制. 研究结果揭示了不同时段气泡聚并的细节, 给出了气泡颗粒尺寸比等因素对微球位移、初始动能转换率的影响, 确认了双气泡聚并释放表面能的高效驱动机制.
-
关键词:
- 双气泡聚并/
- 微马达/
- 界面能/
- 伪势格子Boltzmann方法
Self-propelled micromotor serves as a bridge between the microfluidic environment and macroscopic control. It has broad application prospects in targeted drug delivery, biosensors, and other fields. The high driving speed of bubble micromotor is an irreplaceable advantage in practical applications. Bubble micromotor converts chemical energy in ambient solutions into mechanical energy through asymmetric surface catalytic reactions to drive its own motion. The energy conversion rate of bubble driving is used as an indicator to evaluate the driving force. The Pt catalytic layer of a tubular micromotor is located on the inner wall of the microtube. Bubbles form inside the tube. They are released from one end of the microtubule into the solution and self driven by bubble rebound, with an energy conversion rate of $ \sim {10^{ - 10}}$ . The Janus microsphere motor near the gas-liquid interface utilizes the energy of the bubble coalesced with the interface to drive the microsphere, with an energy conversion rate of$ \sim {10^{ - 7}}$ . In sum, the tubular bubble motor is suitable for complex scenarios but has a low energy conversion rate. The Janus microsphere motor driven by bubbles has a high efficiency but is only suitable near the gas-liquid interface. This paper combines the advantages of driving tubular micromotors in bulk solution and Janus microsphere motors which can be driven efficiently by interface energy, proposes a new method of driving Janus microsphere motors by dual bubble coalescence.In the experiment, a high-speed camera is used to record the ~100 μs of dual bubble coalescence and the process of driving micromotor. Then we investigate the initial kinetic energy conversion rate of micro motor driven by bubble coalescence. Three sets of different bubble/particle size ratios of ${R_{\rm{b}}}/{R_{\rm{p}}} < 1$ ,${R_{\rm{b}}}/{R_{\rm{p}}} \approx 1$ ,${R_{\rm{b}}}/{R_{\rm{p}}} > 1$ are adopted for their propulsion effects on microspheres. The initial kinetic energy conversion rate is defined to characterize the contribution of bubble coalescence process to microsphere driving.After simulations with the pseudo potential lattice Boltzmann method, the mechanism of bubble coalescence driving the motion of microspheres is revealed. It is clarified that the interface oscillation caused by bubble coalescence is the main reason of driving the micromotor, and its energy conversion rate is between the rebound driving of the tubular micromotor and the one-bubble coalescence driving with the free surface. The research results reveal the details of bubble coalescence at different time periods, and provide the effects of factors such as bubble particle size ratio on microsphere displacement and initial kinetic energy conversion rate. Thus the efficient driving mechanism of dual bubble coalescence and release of surface energy are confirmed. -
Keywords:
- dual bubble coalescence/
- micromotor/
- interface energy/
- pseudo potential lattice Boltzmann method
[1] [2] [3] [4] [5] [6] [7] [8] [9] [10] [11] [12] [13] [14] [15] [16] [17] [18] [19] [20] [21] [22] [23] [24] [25] [26] -
[1] [2] [3] [4] [5] [6] [7] [8] [9] [10] [11] [12] [13] [14] [15] [16] [17] [18] [19] [20] [21] [22] [23] [24] [25] [26]
计量
- 文章访问数:2733
- PDF下载量:64
- 被引次数:0












下载:










