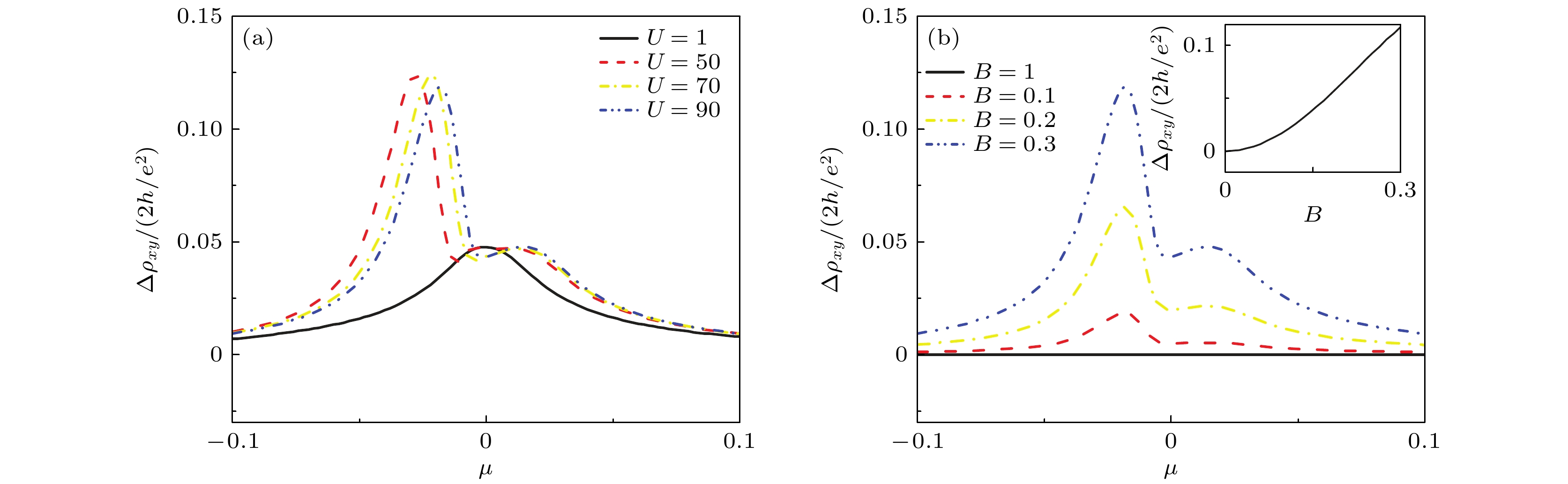
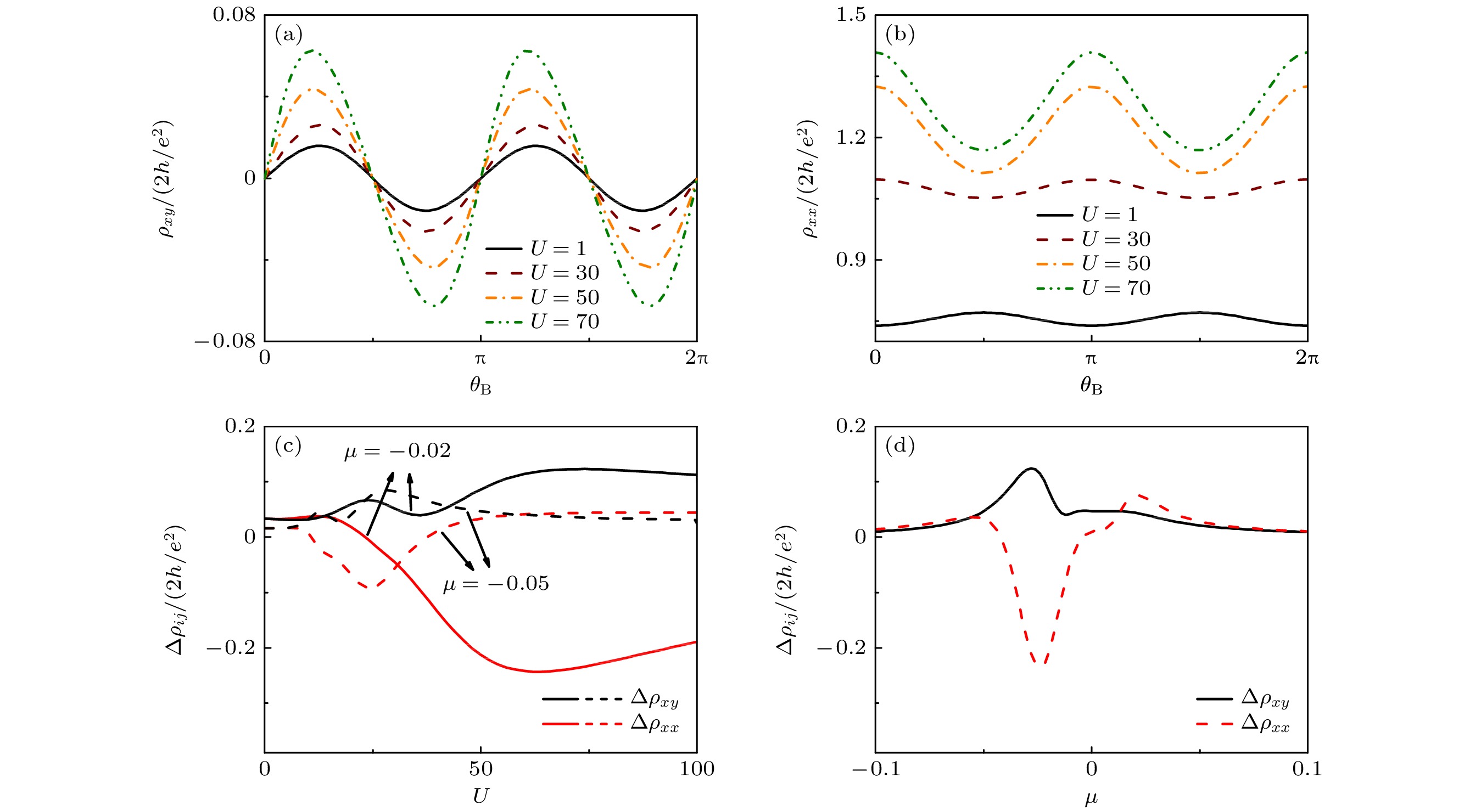
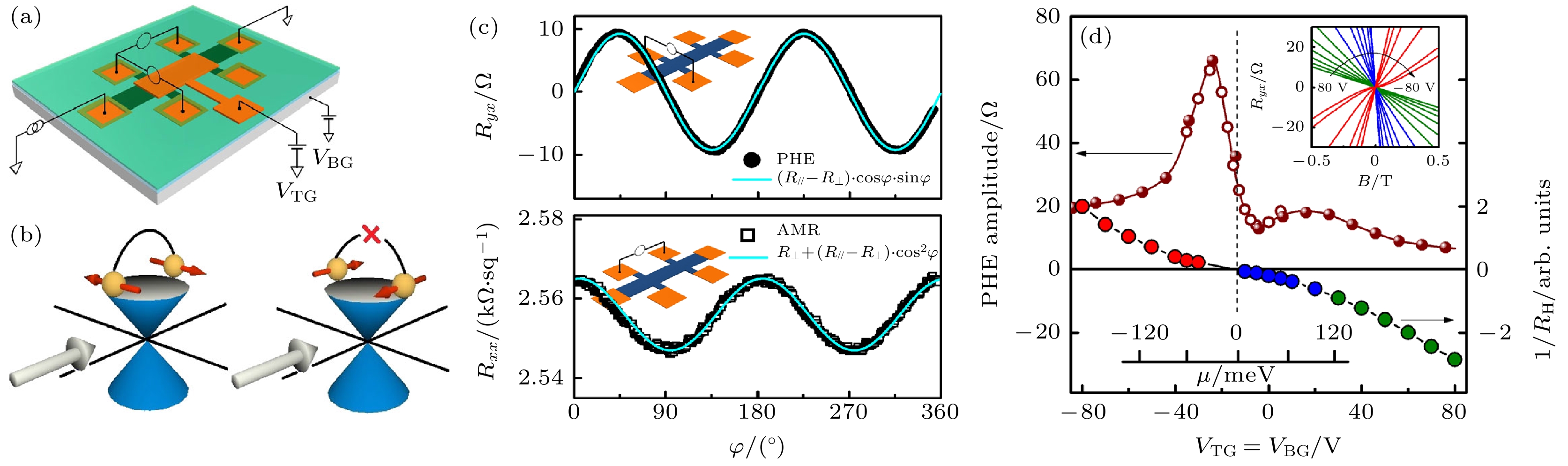
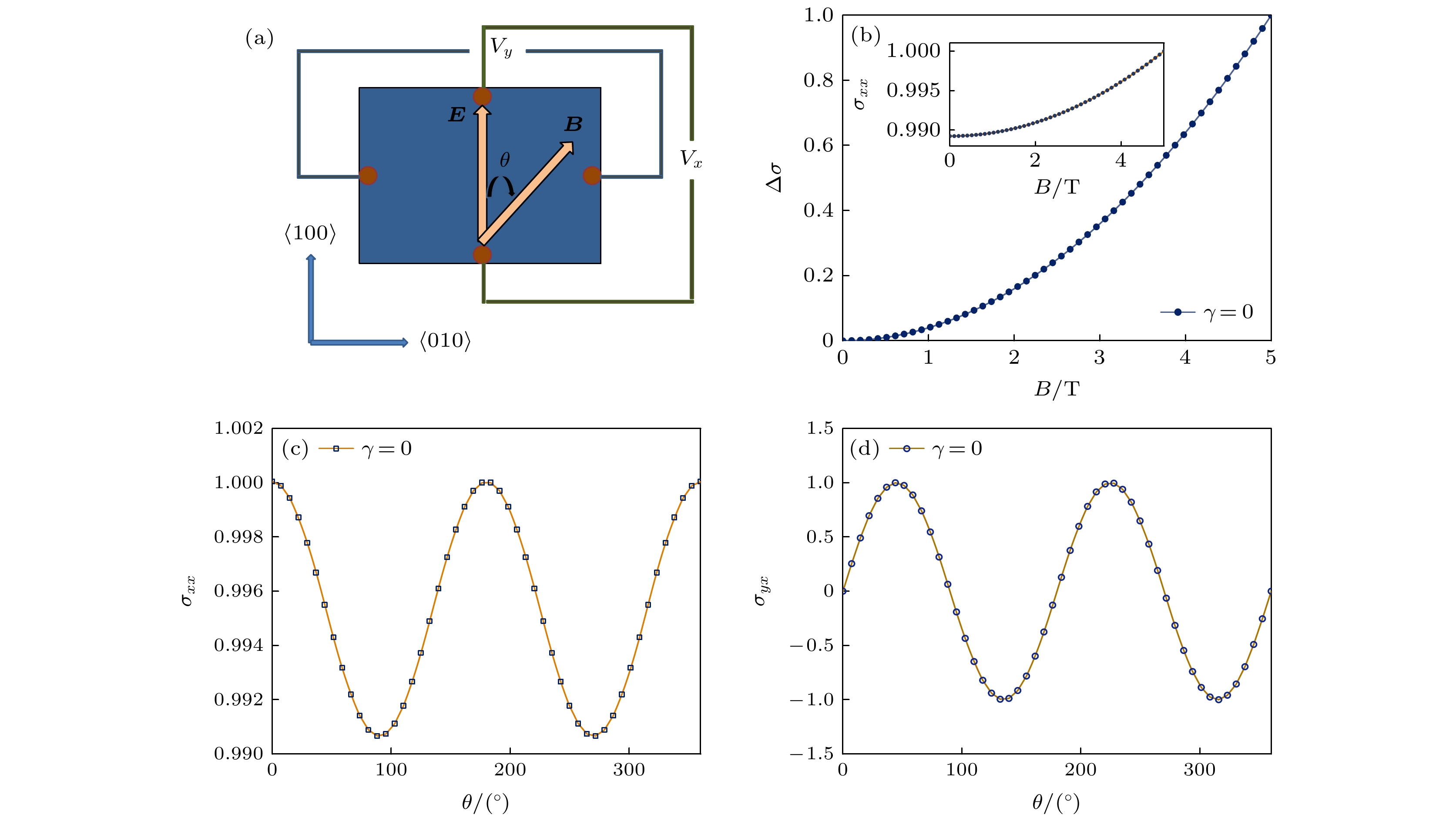
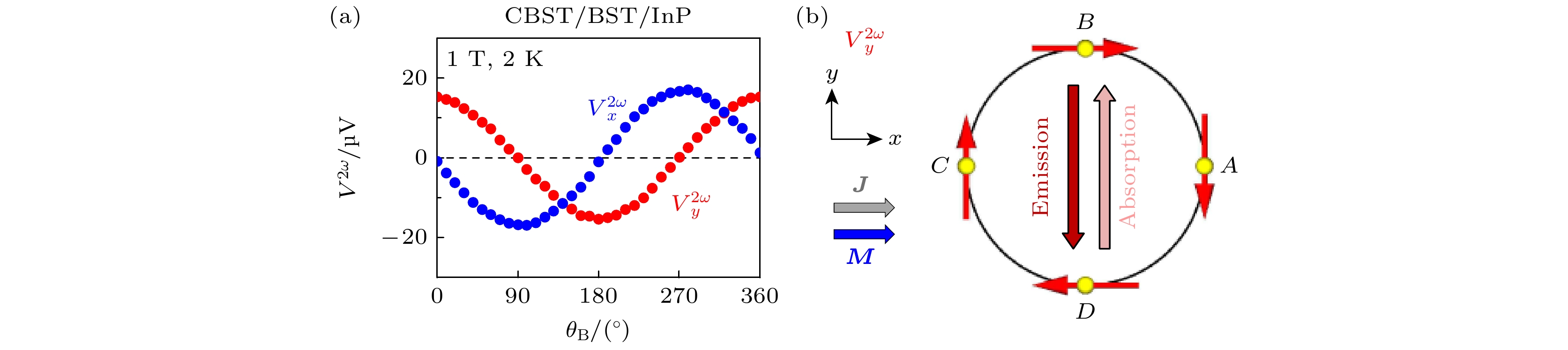
The planar Hall effect (PHE) is one of the hot topics in the field of condensed matter physics. In recent years, the PHE has received great attention especially in topological materials such as topological insulators and topological semimetals, and great progress has been made. Unlike the scenario in ordinary Hall effect, the transverse current, magnetic field, and electric field in the PHE can appear in the same plane and cannot be explained by the Lorentz force, which largely depends on the anisotropy of the magnetoresistivity. With the development of nonlinear effect in topological material, the PHE has been extended to a nonlinear regime, which has also been extensively studied experimentally. To explain the linear and nonlinear PHEs observed experimentally, various microscopic mechanisms have been proposed theoretically. In this paper, the research progress of the linear and nonlinear PHEs of topological materials is introduced theoretically and experimentally, and various extrinsic and intrinsic mechanisms leading to the linear and nonlinear PHEs are analyzed in depth. The physical mechanisms of the linear PHE mainly include the tilt of Dirac cone, magnon scattering, chiral anomaly (or chiral-anomaly-like), shift effect, and Berry curvature, whereas ones of the nonlinear PHE mainly include the nonlinear Drude term, shift effect, Berry curvature dipole, magnon scattering, chiral anomaly, and Berry-connection polarizability. In addition, the relevant problems to be solved and the future development directions are also proposed.