-
在重夸克自旋对称性下构造量子数为
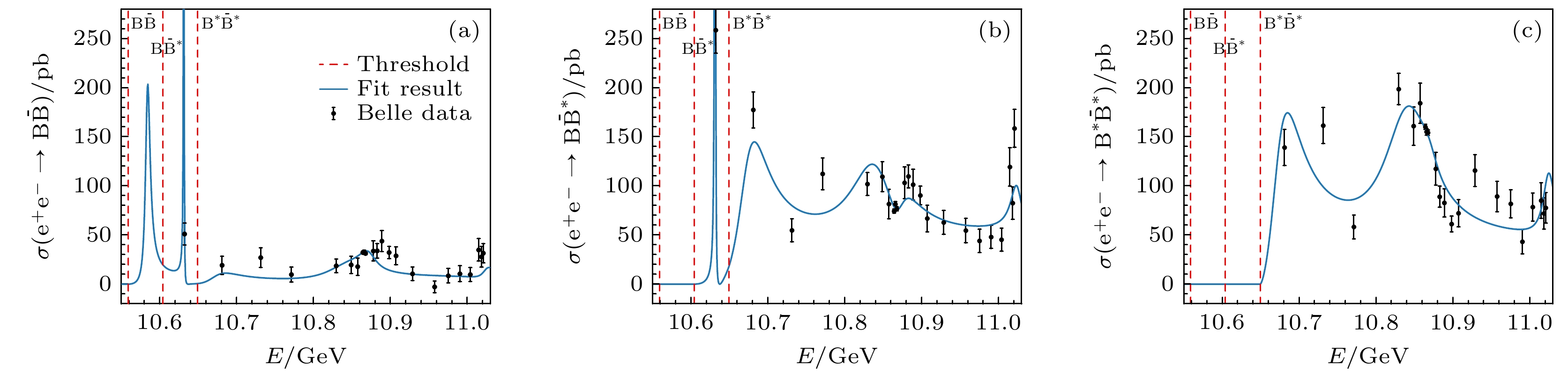
$J^{{\rm{PC}}}=1^{--}$ 的${\rm{P}}$ 波${\rm{B}}^{(*)}\bar{{\rm{B}}}^{(*)}$ 有效相互作用势, 代入李普曼-史温格方程求得${\rm{e^+e^-}}\to {\rm{B}}^{(*)}\bar{{\rm{B}}}^{(*)}$ 的散射振幅, 发现对应的散射截面可以解释现有的实验数据. 研究发现底夸克偶素的质量移动很小, 主要是由于底夸克偶素和${\rm{B}}^{(*)}\bar{{\rm{B}}}^{(*)}$ 道的有效耦合比较小. 因此,${\rm{e^+e^-}}\to $ $ {\rm{B}}^{(*)}\bar{{\rm{B}}}^{(*)}$ 截面上的峰结构主要是$\Upsilon(4{\rm{S}})$ ,$\Upsilon(3{\rm{D}})$ ,$\Upsilon(5{\rm{S}})$ 和$\Upsilon(6{\rm{S}})$ 的贡献. 能量在$10.63\; {\rm{GeV}}$ 处的窄峰值结构需要实验上进一步细致扫描和理论上拟合公式的优化.In the conventional quark model, meson is made of one quark and one antiquark, and baryon is made of three quarks. Since the observation of the${\rm{X}}(3872)$ in 2003 by Belle collaboration, numerous exotic candidates beyond the conventional quark model have been observed. Most of them are located in heavy quarkonium energy region. Several interpretations, e.g. compact multiquarks, hadronic molecules, hybrids, etc, are proposed to understand their internal structures. Hadronic molecules are based on the fact that most of exotic candidates have nearby thresholds, which makes them analogies of deuteron made of one proton and one neutron. Whether two or more hadrons can be form a hadronic molecule or not depends on their interactions. In this work, we study the${\rm{P}}$ -wave${\rm{B}}^{(*)}\bar{{\rm{B}}}^{(*)}$ interactions based on the${\rm{e^+e^-}}\to {\rm{B}}^{(*)}\bar{{\rm{B}}}^{(*)}$ cross sections from Belle-II experiment to study whether their interaction can form vector bottomonium-like states or not. As${\rm{B}}^{(*)}$ and$\bar{{\rm{B}}}^{(*)}$ mesons have bottom and antibottom quark, respectively, we work in the heavy quark limit, which respects both heavy quark spin symmetry and heavy quark flavor symmetry. In this framework, we construct effective contact potentials for$J^{{\rm{PC}}}=1^{--}$ ${\rm{P}}$ -wave${\rm{B}}^{(*)}\bar{{\rm{B}}}^{(*)}$ interactions, by decomposing the${\rm{B}}^{(*)}\bar{{\rm{B}}}^{(*)}$ dynamic channels into heavy-light basis. That, in the heavy quark limit, heavy and light degrees of freedoms are conserved individually makes the contact potentials in a very simple form. After solving the corresponding Lippmann-Schwinger equation, one can obtain the${\rm{e^+e^-}}\to {\rm{B}}^{(*)}\bar{{\rm{B}}}^{(*)}$ scattering amplitudes. With these scattering amplitudes, we can deduce the corresponding cross sections,which can be compared with the experimental data directly. By fitting to the data, we find that the mass shifts of the considered bottomonia are small due to their small couplings to the${\rm{B}}^{(*)}\bar{{\rm{B}}}^{(*)}$ continuum channels. As the result, the$\Upsilon(4{\rm{S}})$ ,$\Upsilon(3{\rm{D}})$ ,$\Upsilon(5{\rm{S}})$ and$\Upsilon(6{\rm{S}})$ vector bottomonia express theirselves as peaks at$10.58\; {\rm{GeV}}$ ,$10.87\; {\rm{GeV}}$ ,$11.03\; {\rm{GeV}}$ . The peak at$10.87\; {\rm{GeV}}$ is the interference between$\Upsilon(3{\rm{D}})$ and$\Upsilon(5{\rm{S}})$ . As there are only two data points around$10.63\; {\rm{GeV}}$ , we cannot obtain a very clear conclusion about the peak around this energy point. To further explore its nature, both detailed scan around this energy region in experiment and improved formula in theory are needed.-
Keywords:
- heavy quarkonia/
- exotic mesons/
- heavy quark effective theory
[1] [2] [3] [4] [5] [6] [7] [8] [9] [10] [11] [12] [13] [14] [15] [16] [17] [18] [19] [20] [21] [22] [23] [24] [25] [26] [27] [28] [29] [30] [31] [32] [33] [34] [35] [36] [37] [38] [39] [40] [41] [42] [43] -
参数名 参数值 单位 $ C_0 $ $ 0.160\pm 0.149 $ $ {\rm{GeV}}^{-2} $ $ C_1 $ $ 1.669\pm 0.003 $ $ {\rm{GeV}}^{-2} $ $ C_2 $ $ -1.785\pm 2.677 $ $ {\rm{GeV}}^{-2} $ $ g_{4{\rm{S}}} $ $ -2.377\pm 0.180 $ $ {\rm{GeV}}^{0} $ $ g_{3{\rm{D}}} $ $ 0.966\pm 0.430 $ $ {\rm{GeV}}^{0} $ $ g_{5{\rm{S}}} $ $ -0.571\pm 0.073 $ $ {\rm{GeV}}^{0} $ $ g_{6{\rm{S}}} $ $ 0.252\pm 0.102 $ $ {\rm{GeV}}^{0} $ $ f_{{\rm{S}}}^0 $ $ 1.040\pm 0.097 $ $ {\rm{GeV}}^{0} $ $ f_{D}^0 $ $ -1.543\pm 1.535 $ $ {\rm{GeV}}^{0} $ $ m_{4{\rm{S}}} $ $ 10.468\pm 0.043 $ $ {\rm{GeV}} $ $ m_{3{\rm{D}}} $ $ 10.856\pm 0.004 $ $ {\rm{GeV}} $ $ m_{5{\rm{S}}} $ $ 10.830\pm 0.011 $ $ {\rm{GeV}} $ $ m_{6{\rm{S}}} $ $ 11.024\pm 0.008 $ $ {\rm{GeV}} $ $ \mit \Lambda $ $ 2.448\pm 0.001 $ $ {\rm{GeV}} $ $ \mit \Gamma_1 $ $ 0.029\pm 0.017 $ $ {\rm{GeV}} $ $ \mit \Gamma_2 $ $ 0.033\pm 0.010 $ $ {\rm{GeV}} $ $ \mit \Gamma_3 $ $ 0.139\pm 0.025 $ $ {\rm{GeV}} $ $ \mit \Gamma_4 $ $ 0.027\pm 0.015 $ $ {\rm{GeV}} $ $ \dfrac{\chi^2}{{\rm{d.o.f}}} $ 3.37 $ - $ 黎曼面 极点/GeV D.C.($ g^{\rm{eff}} $/$ {\rm{MeV}}^{-1/2} $) $ R_{+++} $ $ 10.638-0.000 {\rm{i}} $ ($ {\rm{B}}^*\bar{{\rm{B}}}^*)^{s=0} $ [0.52] $ 10.871-0.014 {\rm{i}} $ $ {\rm{B}}\bar{{\rm{B}}}^* $ [0.05] $ 11.024-0.009 {\rm{i}} $ ($ {\rm{B}}^*\bar{{\rm{B}}}^*)^{s=2} $ [0.06] $ R_{-++} $ $ 10.876-0.016 {\rm{i}} $ (${\rm{B}}^*\bar{{\rm{B}}}^*)^{s=2} $ [0.03] $ 11.024-0.008 {\rm{i}} $ ($ {\rm{B}}^*\bar{{\rm{B}}}^*)^{s=2} $ [0.05] $ R_{--+} $ $ 10.873-0.021 {\rm{i}} $ ($ {\rm{B}}^*\bar{{\rm{B}}}^*)^{s=2} $ [0.01] $ 11.018-0.008 {\rm{i}} $ ($ {\rm{B}}^*\bar{{\rm{B}}}^*)^{s=0} $ [0.00] $ R_{---} $ $ 10.587-0.00 {\rm{i}} $ $ {\rm{B}}\bar{{\rm{B}}}^* $ [0.01] $ 10.635-0.033 {\rm{i}} $ ($ {\rm{B}}^*\bar{{\rm{B}}}^*)^{s=2} $ [0.01] $ 10.846-0.090 {\rm{i}} $ ($ {\rm{B}}^*\bar{{\rm{B}}}^*)^{s=0} $ [0.00] $ 10.871-0.020 {\rm{i}} $ ($ {\rm{B}}^*\bar{{\rm{B}}}^*)^{s=2} $ [0.01] -
[1] [2] [3] [4] [5] [6] [7] [8] [9] [10] [11] [12] [13] [14] [15] [16] [17] [18] [19] [20] [21] [22] [23] [24] [25] [26] [27] [28] [29] [30] [31] [32] [33] [34] [35] [36] [37] [38] [39] [40] [41] [42] [43]
计量
- 文章访问数:1935
- PDF下载量:69
- 被引次数:0












下载: