Na
2KSb photocathodes have many applications in vacuum optoelectronic devices, such as photomultiplier tubes, image intensifiers, and streak image tubes for high-speed detection and imaging in extremely weak light environments, due to their advantages of high temperature resistance, small dark current, low vacuum requirement, low fabrication cost and high fabrication flexibility. In addition, this type of photocathode has important application prospect in high brightness accelerator photoinjectors. To guide the fabrication of high-sensitivity Na
2KSb photocathodes, Na
2KSb surfaces with different surface orientations and atom terminations are investigated by the first-principles calculation method based on the density functional theory to obtain the most stable and most favorable surface for electron emission. From the perspectives of surface energy, adsorption energy, and work function before and after Cs adsorption, it is revealed that the Na
2KSb (111) K surface exhibits superior surface stability and electron emission capability. Furthermore, the electronic structure and optical properties of Cs adsorption and Cs/O co-adsorption on the Na
2KSb (111) K surface under different Cs coverages are analyzed, and the mechanism of Cs/O deposition on Na
2KSb surface is studied. The adsorption energy of Cs in the Cs/O adsorption model is much larger than that in the single Cs adsorption model, indicating that the adsorption of O atoms on the Na
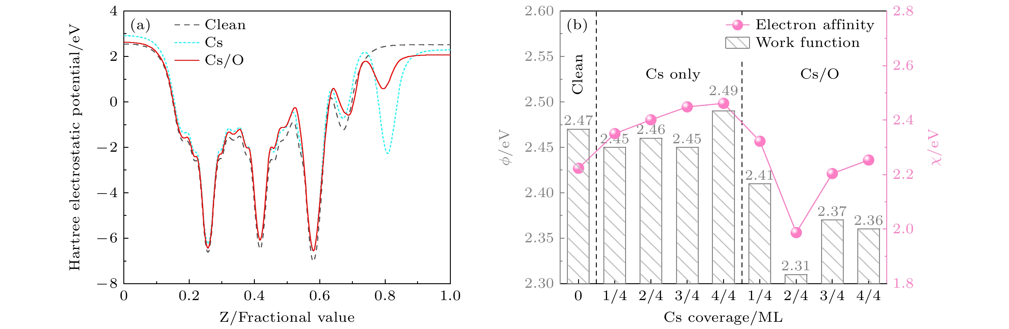
2KSb surface can make the adsorption of Cs atoms on the surface stronger, and thus increasing the adhesion of Cs atoms on the surface. After adsorption of Cs on the Na
2KSb (111)K surface, the surface work function only decreases by 0.02 eV, while the maximum work function decrease for the Cs/O adsorbed surface is 0.16 eV, with the Cs coverage of 2/4 ML and the O coverage of 1/4 ML. The adsorption of Cs/O atoms on the surface facilitates the charge transfer above the surface and results in charge accumulation, which can form the effective surface dipole moment. The magnitude of the surface dipole moment is directly related to the change of work function. Furthermore, through the analysis of the electronic band structure and density of states, it is found that the adsorbed Cs atoms have additional contribution to the band structure near the conduction band minimum. After the introduction of O atoms, the valence band moves up, also the bottom of the conduction band and the top of the valence band become flat. The Cs/O deposition is beneficial to increasing the absorption of near-infrared light on the Na
2KSb surface, but it will reduce the absorption of ultraviolet light and visible light, and the refractive index will also decrease. This work has a certain reference significance for understanding the optimal emission surface of Na
2KSb photocathode and the mechanism of surface Cs/O deposition.