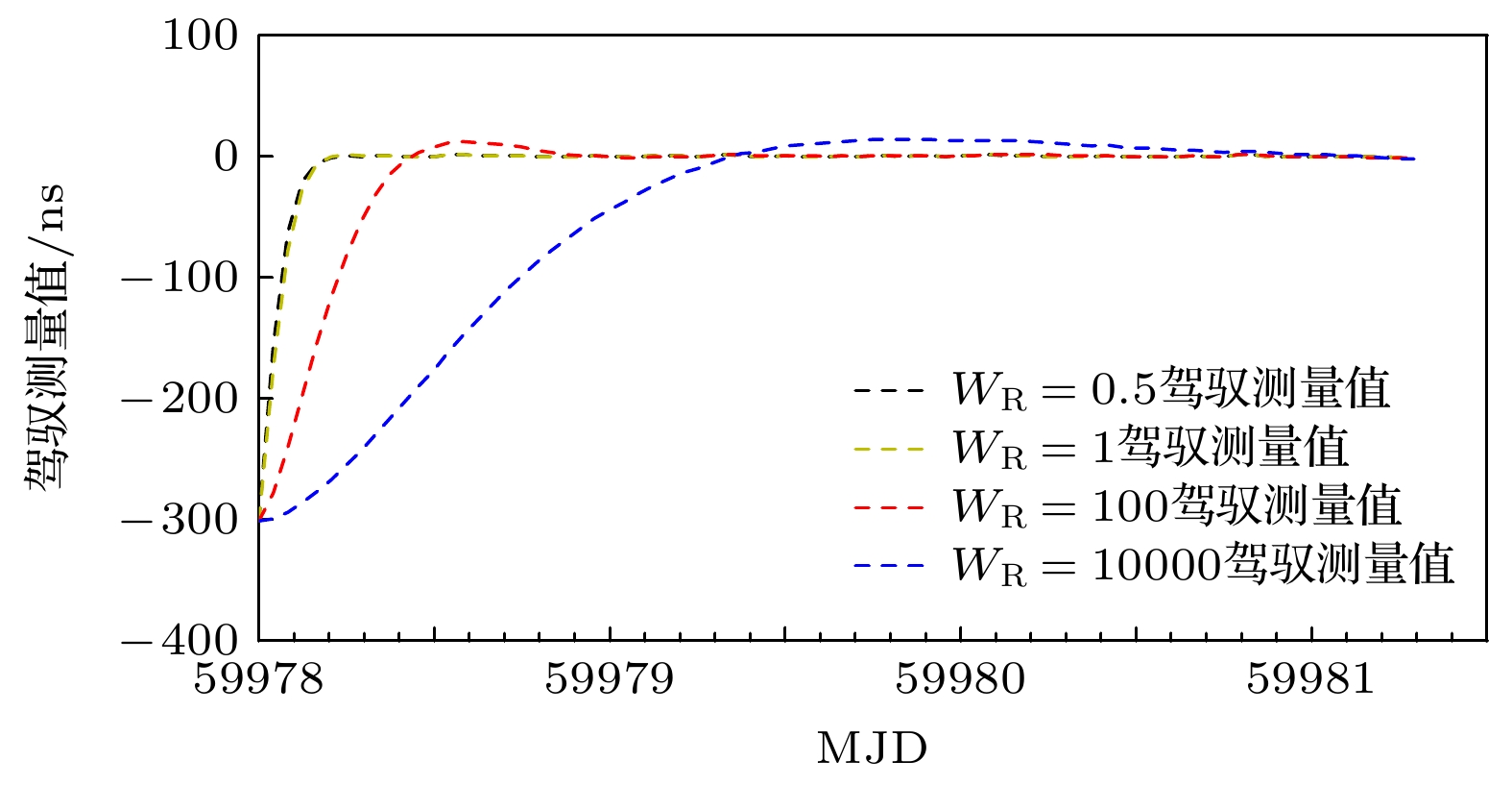
\begin{document}$ {{{W}}_{\text{R}}} $\end{document}的增大, 同步时间延长, 控制准确度降低, 控制短期稳定度提高. \begin{document}$ {{{W}}_{\text{R}}} $\end{document}相同情况下, 随着控制间隔的增大, 同步时间延长, 控制准确度降低, 控制短期稳定度提高, 对于\begin{document}$ {{{W}}_{\text{R}}} =1$\end{document}时, 控制间隔为1 h的同步时间为5小时, 控制准确度为1.83 ns, 1 h的Allan偏差为1.81×10–13; 控制间隔为8 h的同步时间为28 h, 控制准确度为4.48 ns, 1 h的Allan偏差为1.48×10–13. 控制国产光抽运小铯钟的中长期稳定度都得到提高."> - 必威体育下载

搜索

x

留言板

姓名
邮箱
手机号码
标题
留言内容
验证码

downloadPDF
引用本文:
Citation:

    宋会杰, 董绍武, 王翔, 姜萌, 章宇, 郭栋, 张继海

    Frequency control algorithm of domestic optically pumped small cesium clock based on optimal control theory

    Song Hui-Jie, Dong Shao-Wu, Wang Xiang, Jiang Meng, Zhang Yu, Guo Dong, Zhang Ji-Hai
    PDF
    HTML
    导出引用
    计量
    • 文章访问数:1151
    • PDF下载量:44
    • 被引次数:0
    出版历程
    • 收稿日期:2023-11-27
    • 修回日期:2023-12-22
    • 上网日期:2024-01-03
    • 刊出日期:2024-03-20

      返回文章
      返回