-
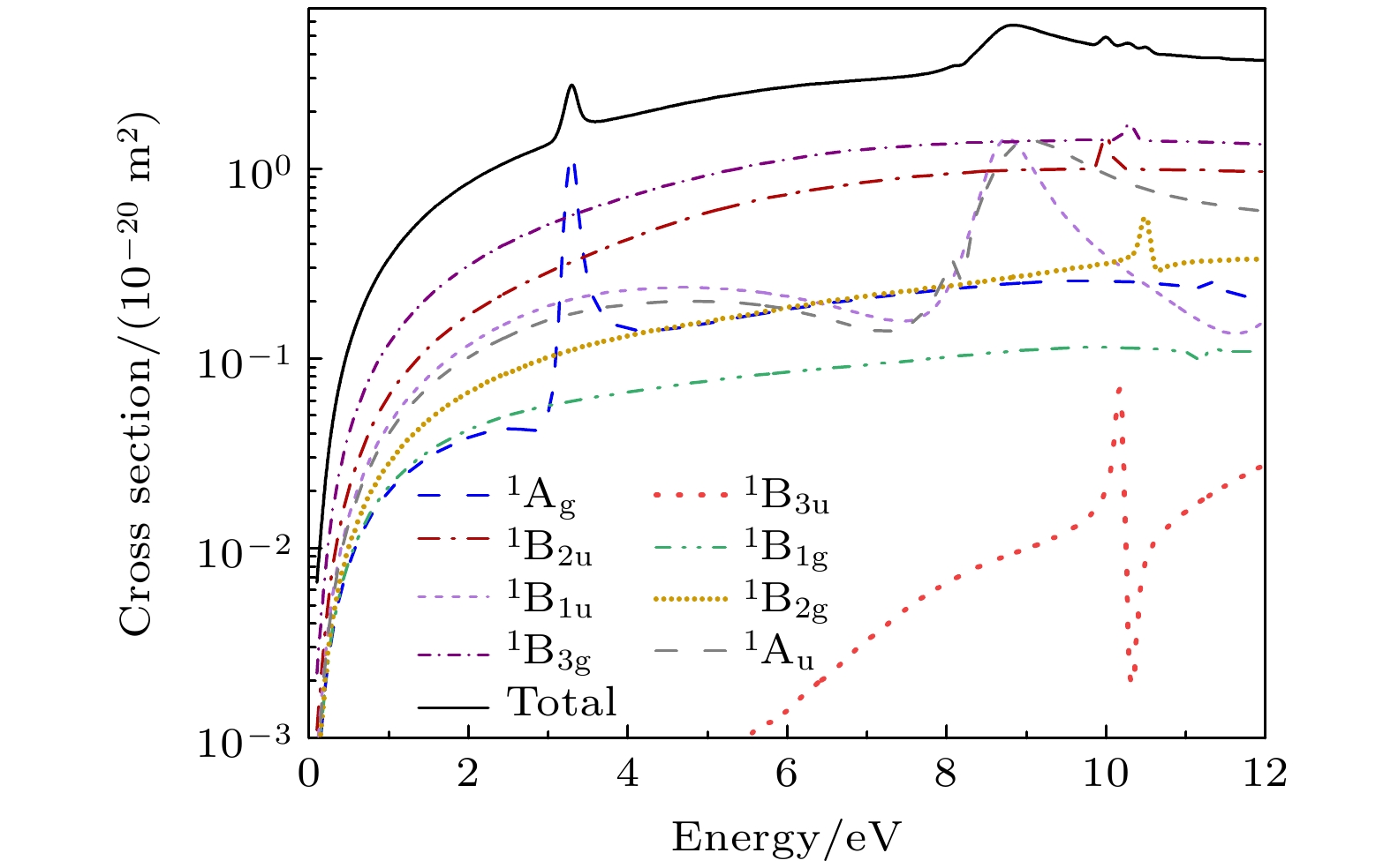
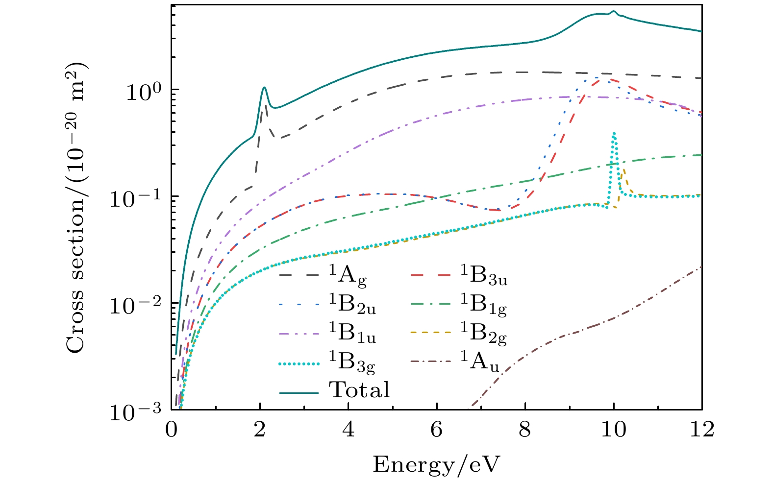
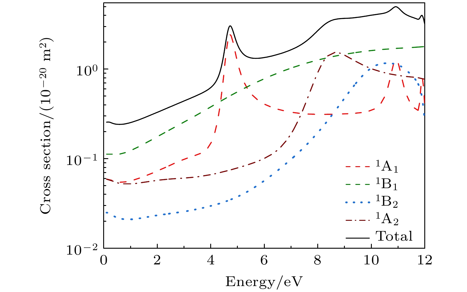
基于从头算 R-矩阵方法, 在固定核近似下, 采用单态密耦合(close couple, CC)模型, 研究了低能电子与$ {{\mathrm{C}}}_{4}^{-} $负离子的散射过程. 研究结果预测了该负离子四种异构体在0—12 eV的能区内的电子弹性散射积分截面, 研究了存在的共振态以及构型变化对共振态位置与宽度的影响. 此外还对理论结果与现有实验数据进行了细致的比较和分析, 结果表明, 实验观测到的8.8 eV共振峰主要是异构体A的$ {{{\Sigma }}}_{{\mathrm{u}}}^{+} $和$ {{{\Sigma }}}_{{\mathrm{u}}}^{-} $共振态的贡献以及少部分来自异构体C的A 2共振态的贡献. 散射截面上揭示了异构体A存在五个共振态, 异构体B有三个共振态, 异构体C和D各存在四个共振态. 最后, 根据玻尔兹曼分布计算了不同温度下各异构体的布居, 模拟了在常温条件下$ {{\mathrm{C}}}_{4}^{-} $的低能电子弹性散射积分截面, 与已有的实验结果符合较好. 同时还发现在3.3 eV的低能区处存在一个宽度为0.20 eV的势形共振态, 为实验的进一步证实提供了理论参考.
-
关键词:
- 电子散射/
- $ {{\mathrm{C}}}_{4}^{-} $离子构象/
- R-矩阵方法/
- 共振态/
- 散射截面
This paper reports low-energy electron scattering with $ {{\mathrm{C}}}_{4}^{-} $ anions by using the ab initio R-matrix method in the single state close-coupling (CC) model and the fixed-nuclei approximation. We predict the elastic integral scattering cross sections (ICSs) of four conformers of $ {{\mathrm{C}}}_{4}^{-} $ ions in an energy range of 0< E≤12 eV and discuss the effects of configuration changes on resonance position and width s. Additionally, the theoretical results and experimental data are compared and analyzed. The results indicate that the 8.8 eV resonance peak observed in experiment is mainly derived from the $ {{{\Sigma }}}_{{\mathrm{u}}}^{+} $ and $ {{{\Sigma }}}_{{\mathrm{u}}}^{-} $ resonances of the conformer A and the A 2resonance of the conformer C. The scattering cross-section reveals that the conformer A has five resonant states, and the conformer B has three resonances, while C and D each have four resonances. Finally, we use the Boltzmann distribution to calculate the populations of different conformers at different temperatures, and simulate the low-energy electron elastic integrated scattering cross-section at room temperature, which is in good agreement with available experimental results. We also find a shape resonance with a width of 0.20 eV at 3.3 eV in our total cross sections, which is not detected in the existing experimental results. This provides new opportunities for measurement.-
Keywords:
- electron scattering/
- conformers of $ {{\mathrm{C}}}_{4}^{-} $ ions/
- R-matrix method/
- resonance/
- cross section
-
State Position/eV Width/eV $ {{{\Sigma }}}_{{\mathrm{g}}}^{+}/ $Ag 3.3 0.20 $ {{{\Sigma }}}_{{\mathrm{u}}}^{+}/ $B1u 8.8 0.75 $ {{{\Sigma }}}_{{\mathrm{u}}}^{-}/ $Au 9.1 1.99 $ {{{\Pi }}}_{{\mathrm{u}}}/ $B2u+B3u 10.1 0.15 $ {{{\Pi }}}_{{\mathrm{g}}}/ $B2g+B3g 10.4 0.15 State Position/eV Width/eV $ {{{\Sigma }}}_{{\mathrm{g}}}^{+}/ $Ag 2.1 0.23 $ {{{\Pi }}}_{{\mathrm{u}}}/ $B2u+B3u 9.6 2.2 $ {{{\Pi }}}_{{\mathrm{g}}}/ $B2g+B3g 10.1 0.14 State Position/eV Width/eV A1 4.7 0.42 A2 8.6 1.36 B2 10.6 3.23 A1 11.0 0.56 State Position/eV Width/eV B1g 5.76 0.47 Ag 6.0 0.14 Ag 9.2 5.20 B1u 11.0 1.80 异构体 温度T/K 100 200 298.15 400 800 1500 3000 10000 A 99.43 89.00 74.15 62.50 42.79 33.93 29.27 26.24 B 0.38 5.51 11.47 15.55 21.34 23.41 24.31 24.82 C 0.11 2.92 7.49 11.32 18.21 21.51 23.31 24.50 D 0.08 2.58 6.89 10.63 17.65 21.15 23.11 24.44 -
[1] [2] [3] [4] [5] [6] [7] [8] [9] [10] [11] [12] [13] [14] [15] [16] [17] [18] [19] [20] [21] [22] [23]
计量
- 文章访问数:107
- PDF下载量:4
- 被引次数:0













下载:






