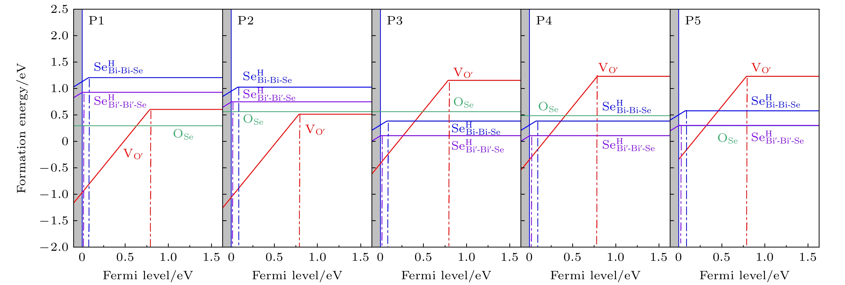
The novel layered semiconductor material bismuth oxyselenide (Bi2O2Se) exhibits exceptional properties such as thickness-dependent bandgap, superior electron mobility, compatibility with various materials, and stability under ambient conditions. The zipper-type two-dimensional Bi2O2Se (Z-Bi2O2Se) is a newly proposed structure based on theoretical studies of material surface dissociation mechanisms. However, current understanding of this structure still mainly focuses on fundamental investigations of electronic properties such as band structures. Intrinsic point defects, which are inevitable during material synthesis and operational environments, significantly influence the physical characteristics of materials and ultimately dictate device performance. In this work, we conduct an in-depth exploration of intrinsic point defects in the material. Using first-principles calculations based on density functional theory (DFT) and non-equilibrium Green’s function (NEGF) methods, we systematically investigate the structural, electronic, and optoelectronic properties of vacancies, antisites, and adatom point defects in Z-Bi2O2Se. First, the formation energy calculations under different growth conditions reveal that o'vacancy, Se replaced by O, Se adsorption on “Bi'-Bi'-Se” and “Bi-Bi-Se” hollow sites are relatively easy to form. The density of states (DOS) and formation energy shows that o'vacancy, Se adsorption on “Bi'-Bi'-Se” and “Bi-Bi-Se” hollow sites tend to lose electrons and become positively charged. Their donor levels are located at 0.78 eV, 0.01 eV, and 0.07 eV above the valence band maximum (VBM), but well below the conduction band minimum (CBM), indicating deep-level n-type doping characteristics. Furthermore, devices based on monolayer Z-Bi2O2Se along the parallel (Z//) direction and perpendicular (Z⊥) direction of the “zipper” structure are constructed to investigate the influence of intrinsic point defects on optoelectronic performance. The results show that for pristine materials, the photocurrent of Z⊥-perfect in the visible and ultraviolet regions is two orders of magnitude smaller than that of Z//-perfect, demonstrating significant anisotropy. The introduction of point defects reduces system’s symmetry, leading to a remarkable enhancement of photocurrent in both devices in these spectral regions. Notably, in the Z⊥ direction, the point defects induce the photocurrent to increase by three orders of magnitude. However, the photocurrent remains relatively small compared with that in Z// direction, indicating persistent anisotropy. The influence of point defects on the extinction ratio depends on both defect types and photon energy. By selecting specific point defects under irradiation at targeted photon energy, the polarization sensitivity of devices can be effectively improved. These findings provide theoretical guidance for deepening the understanding of the electronic structure and optoelectronic properties of two-dimensional Z-Bi2O2Se.