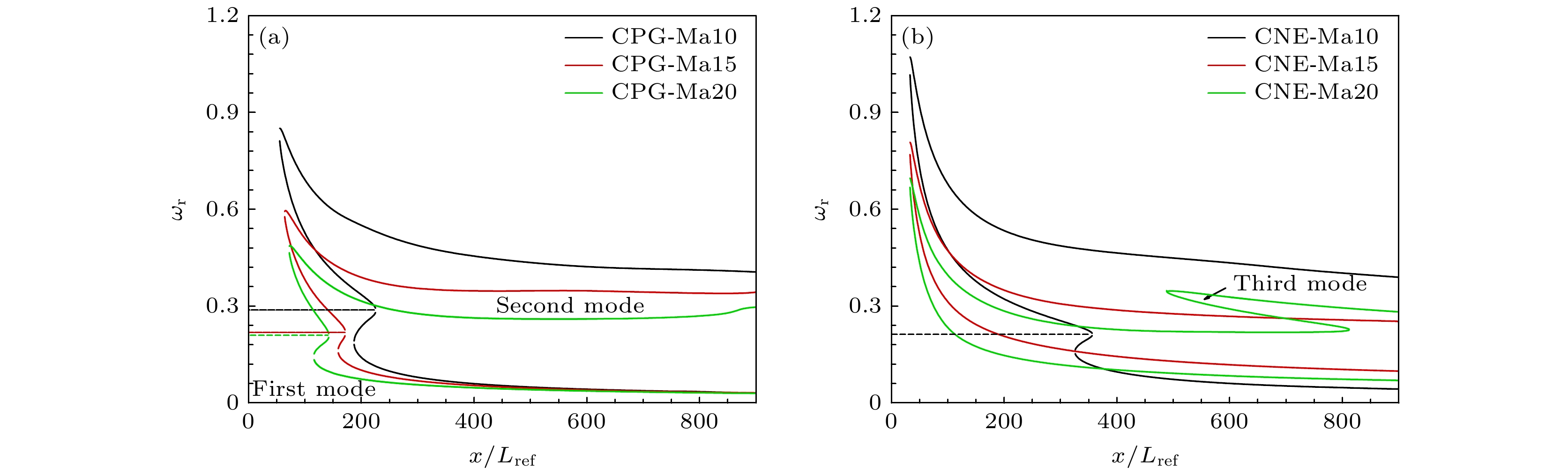
The transition from laminar to turbulent flow is one of the main aerodynamic challenges in aircraft design and development. When the flight Mach number is sufficiently high, the aircraft surface experiences micropore effects and high-temperature gas thermochemical reactions. At present, boundary layer instability has become a more complex problem, and its mechanism is still unclear. In this study, a linear stability analysis method is developed which takes into consideration high-temperature chemical non-equilibrium process and surface micropore effect. For flight conditions at high altitude (H = 25 km) with Mach numbers 10, 15, and 20, the effects of micropore effects, chemical non-equilibrium effects, and their joint effect on flow stability are contrasted and investigated. The results show that the chemical non-equilibrium effect can contribute to the boundary layer's mode instability, while the micropore effect can restrain the second mode instability. The coexistence of the two often contributes to the instability of the second mode, because the former is heavier than the latter. The chemical non-equilibrium effect can reduce the frequency range corresponding to the second mode of pore effect inhibition, which results in the chemical non-equilibrium effect enhancing the inhibition effect of the micropore effect in the local low-frequency range and weakening its inhibition effect in the high-frequency range. This, in turn, causes a decrease in the corresponding N value variation by pore effect. Furthermore, when both effects are present, the micropore effect’s capacity to inhibit the second mode is not significantly affected by change in Mach number.