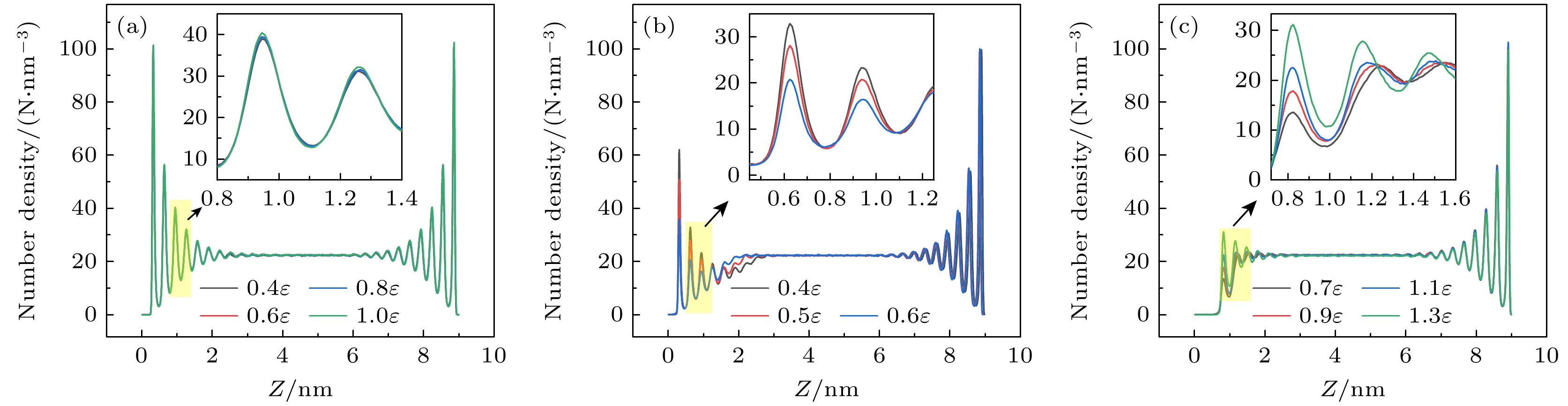
Friction resistance is the primary factor influencing the energy consumption and speed of underwater vehicles. Active air layer drag reduction is an active boundary layer control technique that reduces wall friction drag by injecting gas into the solid-liquid boundary layer. Compared with other drag reduction methods, which are often difficult to scale due to high costs and potential environmental concerns, this technology utilizes a simple auxiliary device. By employing inexpensive and environmentally friendly compressed air or combustion exhaust gases, it effectively lowers fluid resistance. Therefore, active drag reduction technology plays a crucial role in minimizing friction and enhancing overall performance. In this study, molecular dynamics simulations are used to construct a Couette flow shear model, with gas injected at the boundaries of a nanochannel. The flow characteristics and boundary drag reduction of Couette flow in a nanochannel is investigated in this work. The influence of gas injection on these characteristics is examined, along with the effects of surface wettability, shear velocity, and gas injection rate on boundary slip velocity and drag reduction. The results indicate that the gas adsorption on the solid surface in the form of discrete bubbles hinders liquid flowing and slipping near the wall, leading to the increase of drag. However, increasing surface hydrophobicity, shear rate, and gas injection rate facilitates the transverse spreading of bubbles, reduces flow obstruction, and enhances slip. Additionally, these factors promote the formation of a continuous gas layer from discrete bubbles, further improving drag reduction. Once the gas layer forms, shear stress decreases significantly, and slip velocity varies with surface wettability, shear velocity, and gas injection rate. These findings provide a theoretical foundation for developing the active gas layer drag reduction technology and optimizing the surface structures in ships and underwater vehicles.