搜索

x

留言板

姓名
邮箱
手机号码
标题
留言内容
验证码

引用本文:
Citation:

胡宇霄, 李海鹏, 仇康
cstr: 32037.14.aps.74.20250588

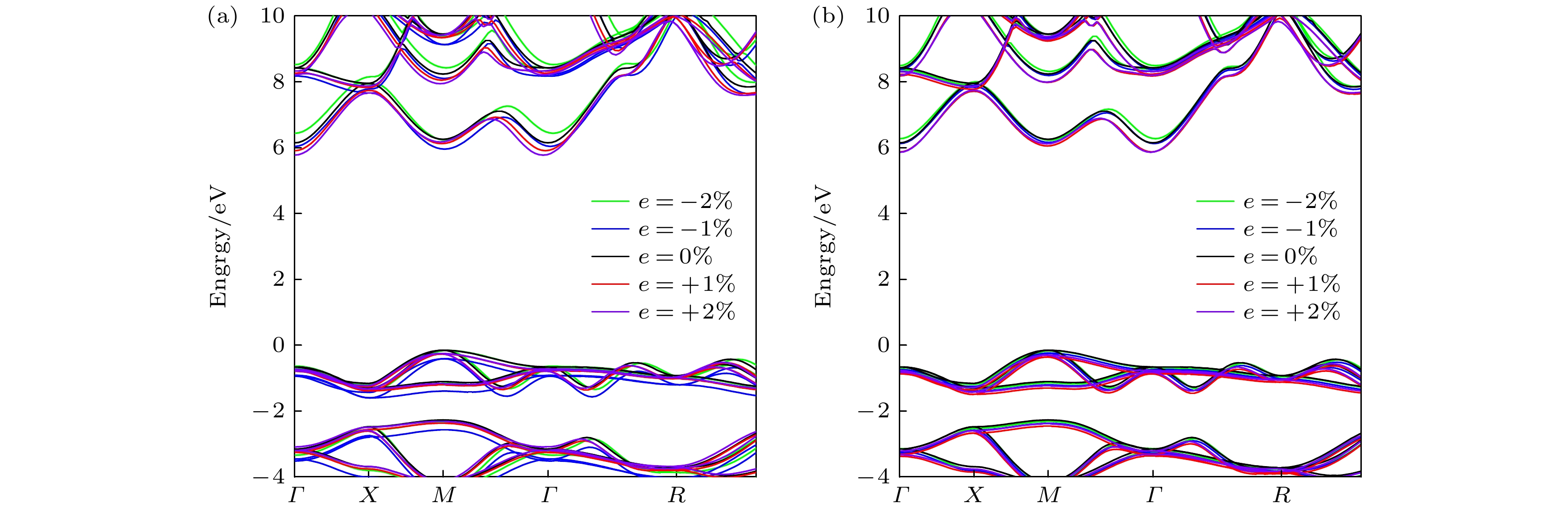
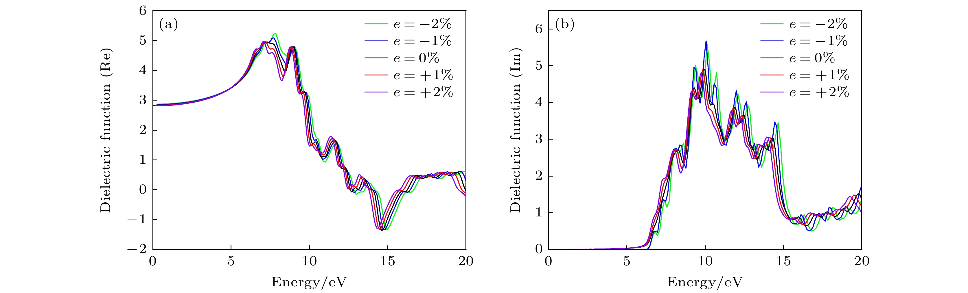
Strain-tuned electronic structure and optical properties of anti-perovskite Li3OCl

HU Yuxiao, LI Haipeng, QIU Kang
cstr: 32037.14.aps.74.20250588
Article Text (iFLYTEK Translation)
PDF
HTML
导出引用
在线预览
计量
  • 文章访问数:  3871
  • PDF下载量:  52
  • 被引次数: 0
出版历程
  • 收稿日期:  2025-05-01
  • 修回日期:  2025-06-09
  • 上网日期:  2025-07-15
  • 刊出日期:  2025-09-05

返回文章
返回