Vol. 74, No. 17 (2025)
2025年09月05日
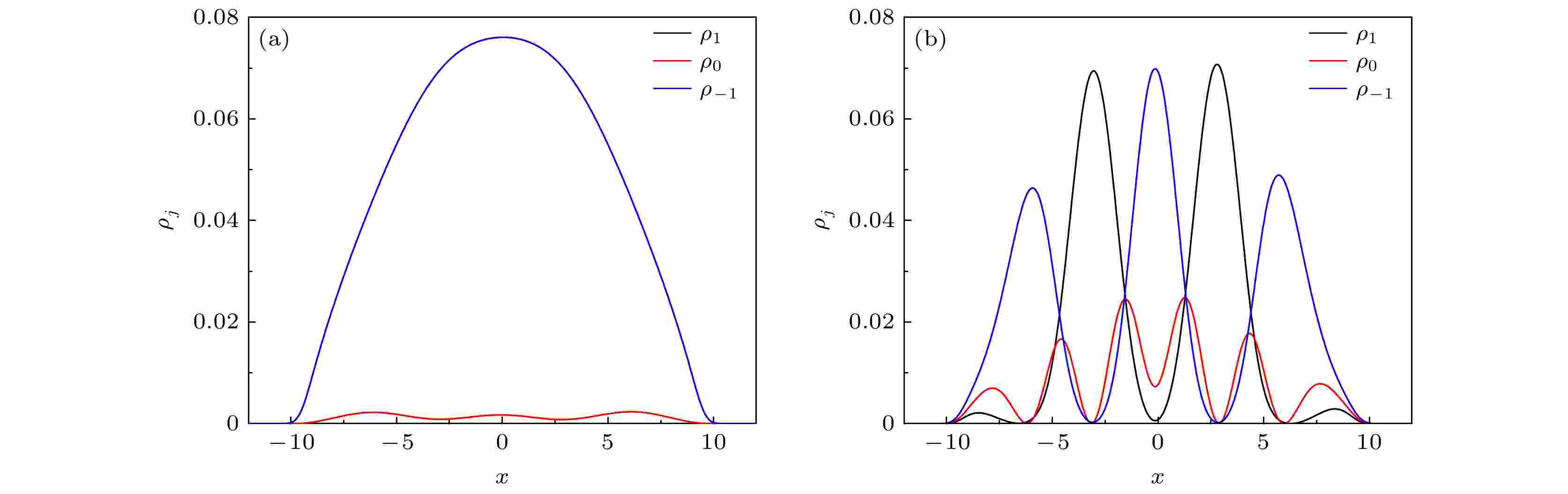
总论
2025, 74 (17): 170302.
doi: 10.7498/aps.74.20250587
摘要 +
研究了螺旋自旋-轨道耦合三分量玻色-爱因斯坦凝聚体(BEC)的基态结构. 结果表明, 螺旋自旋-轨道耦合可诱导铁磁BEC发生相分离. 通过系统数值计算得到不同螺旋自旋-轨道耦合强度和规范势时的相图, 给出了铁磁BEC发生相分离和相混合的临界条件. 同样研究了螺旋自旋-轨道耦合和规范势对反铁磁BEC的影响, 结果显示反铁磁BEC仅表现为相混合. 调节螺旋自旋-轨道耦合强度或规范势, 可以控制反铁磁BEC中条纹孤子与平面波孤子之间的相互转换. 此外, 也讨论了粒子数密度最大值与条纹孤子的波峰数随螺旋自旋-轨道耦合强度或规范势的变化关系.
凝聚物质:电子结构、电学、磁学和光学性质
2025, 74 (17): 177101.
doi: 10.7498/aps.74.20250588
摘要 +
反钙钛矿Li3OCl作为极具潜力的新一代固态电解质候选材料, 凭借其优异的离子传导性能与宽电化学窗口, 近年来成为材料领域的研究热点. 然而, 其光电性能的应变调控机制仍未得到充分阐释. 本研究运用第一性原理计算方法, 系统地探究双轴应变和单轴应变分别对Li3OCl材料电子结构及光学性质的调控规律. 研究发现, 相较于本征态, 施加2%单轴拉伸应变时, 材料导带底能量显著降低, 间接带隙从6.26 eV减小至6.02 eV, 光吸收边发生红移; 而2%双轴压缩应变作用下, 带隙增大至6.38 eV, 且间接带隙转变为直接带隙, 光吸收边出现蓝移现象. 通过态密度分析进一步表明, 应变会引发Li-p与O-p/Cl-p 轨道杂化程度增强, 显著优化了光激发载流子的跃迁路径. 此外, 拉伸应变致使介电函数虚部峰值红移, 消光系数起始阈值降至6.02 eV, 有效地拓宽了材料的光响应范围; 压缩应变则导致光学响应蓝移, 并增强了材料在特定能量区间的光吸收强度. 本研究揭示了应变调控晶格常数与轨道杂化来优化光电性能的微观作用机制, 为基于光-力协同策略设计高性能固态电解质提供了重要理论依据.
专题: 高压下的光电物性调控与原位表征
2025, 74 (17): 177102.
doi: 10.7498/aps.74.20250287
摘要 +
基于密度泛函理论的第一性原理, 系统研究了压力对Al4In2N6晶体结构、弹性性能及电子性质的影响. Al4In2N6晶格常数随压力增加逐渐减小, 同时表现出各向异性的压缩特性, 沿c轴方向具有较高的压缩率. 在力学性能方面, Al4In2N6的体积模量随压力增加而增大, 表明材料抗压缩性显著增强. 值得一提的是, Al4In2N6的维氏硬度随压力升高逐渐降低, 表明高压可能引发Al4In2N6塑性变形. 弹性常数与声子谱计算结果表明, Al4In2N6在0—30 GPa压力范围内具有良好的力学稳定性和动力学稳定性. 能带结构计算结果表明随着压力的增加, Al4In2N6的带隙几乎呈线性增长, 从0 GPa 时的3.35 eV增加到30 GPa 的4.24 eV, 表明压力对Al4In2N6的电子结构具有显著的调控能力. 本研究对Al-In-N化合物的晶体结构、稳定性及高压下的能带结构和力学性质的深入研究, 不仅拓宽了Ⅲ族氮化物材料的应用潜力, 还为开发新型功能材料提供了重要的理论参考.

