-
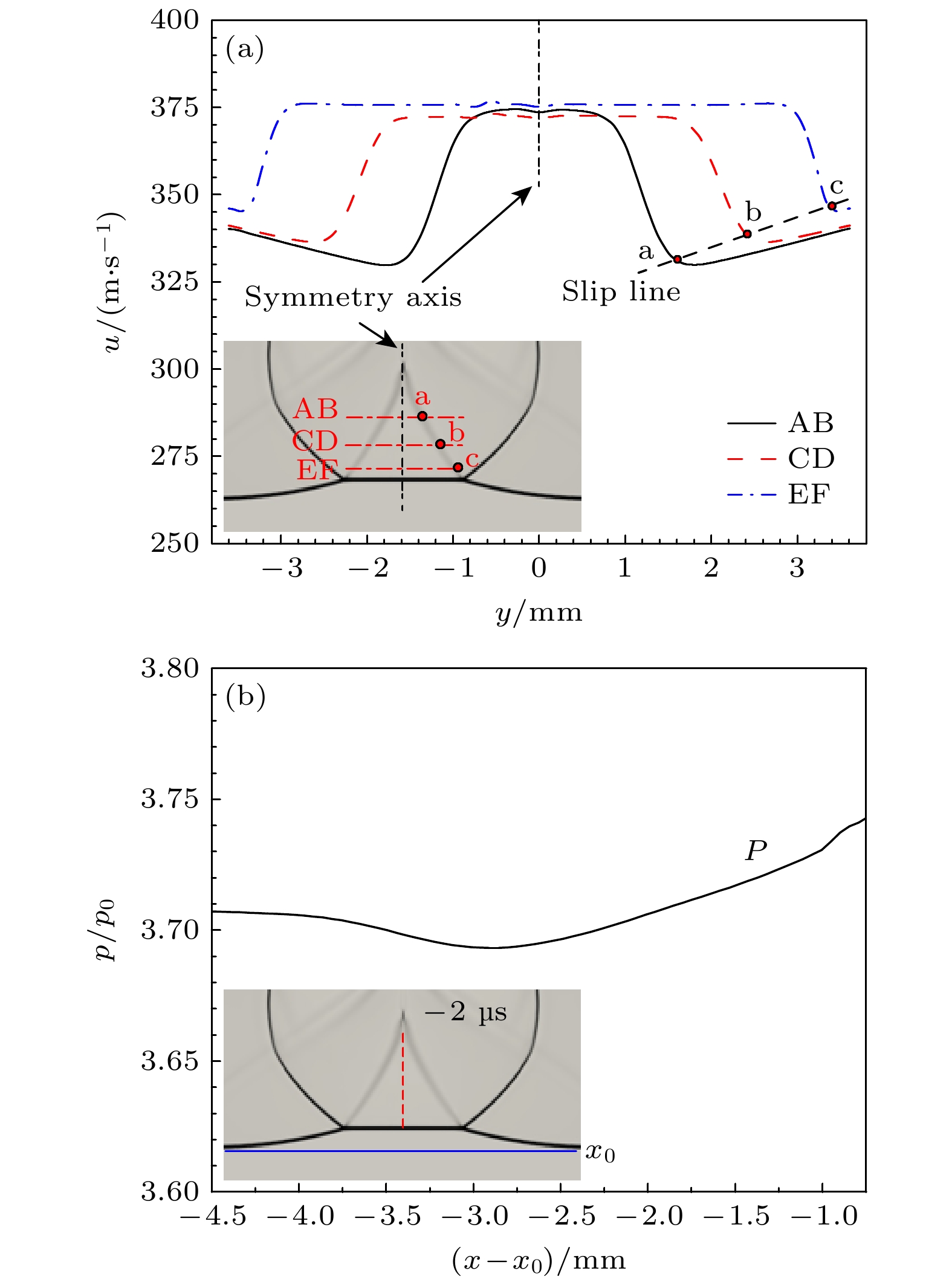
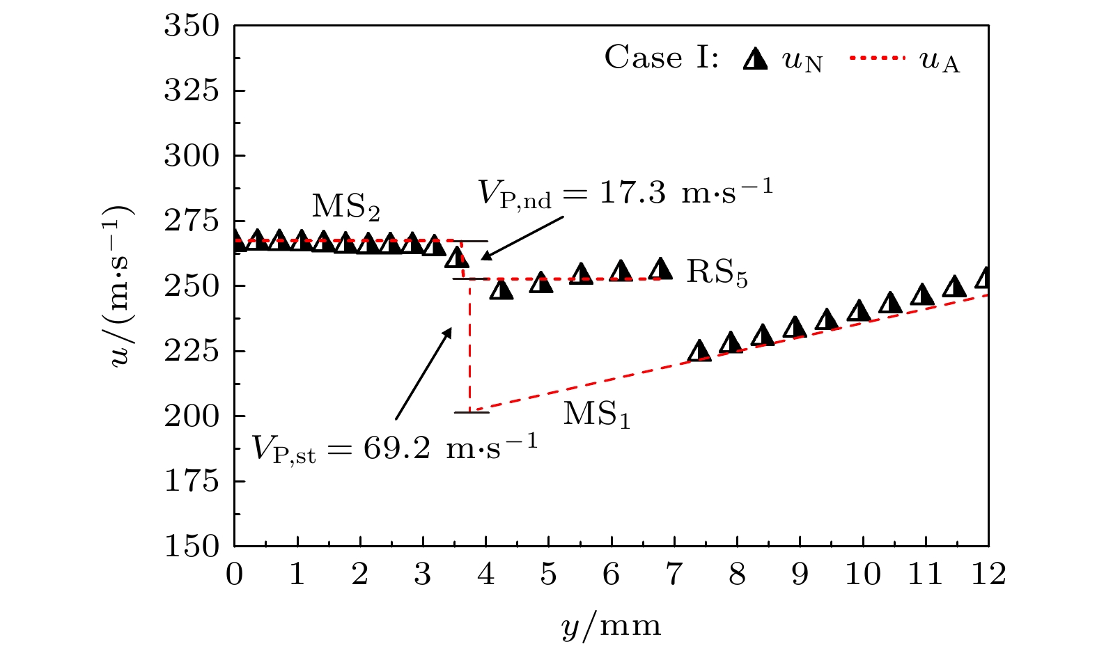
针对实际应用中由非均匀激波驱动的界面失稳问题, 开展了马赫反射波系与平面气体界面相互作用的机理研究, 重点探讨了马赫杆尺度效应对界面失稳演化和扰动增长的影响. 结果表明, 马赫反射波系冲击界面时, 通过复杂波系作用在界面上印刻速度扰动, 诱发界面失稳. 随后, 在波后流场非均匀性的影响下, 界面进一步演化形成凹腔和“射流状气泡”结构, 显著区别于经典Richtmyer-Meshkov不稳定性中的尖钉与气泡结构. 扰动振幅的定量分析表明, 界面失稳演化可分为初期线性增长和后期非线性发展两个阶段. 其中, 滑移线弯曲和卷曲射流驱动的界面变形, 是界面演化向非线性阶段转变的关键物理机制. 马赫杆尺度决定了滑移线卷曲和射流形成的特征时间. 在线性阶段, 扰动增长由马赫反射波系的激波强度和入射角度主导, 与马赫杆尺度无关; 而在非线性阶段, 界面扰动增长率随着马赫杆尺度的增大而增大. 基于数值模拟结果对理论模型进行了考察, 结果表明, 现有理论模型可有效地预测马赫反射波系印刻的界面速度扰动, 但无法考虑马赫杆尺度效应和波后非均匀流场的影响. 本研究揭示了界面失稳演化与马赫反射波系激波强度、入射角度及马赫杆尺度之间的内在关系, 对界面扰动增长理论模型的建立具有重要意义.
-
关键词:
- Richtmyer-Meshkov不稳定性 /
- 激波 /
- 马赫反射 /
- 射流
In order to better understand and predict the complex interface instability phenomena induced by non-uniform shock waves in practical engineering and scientific applications, a detailed investigation has been conducted on the interaction between a Mach reflection wave configuration and a planar gas interface. Particular attention is paid to the role of the Mach stem scale in governing the evolution of interface instability and the associated mechanisms of perturbation growth. Numerical simulations show that when the Mach reflection wave configuration interacts with the interface, the complex wave structures impart initial velocity perturbations onto the interface, thereby triggering instability. This process is further influenced by the non-uniform post-shock flow field, under which the initially perturbed interface gradually evolves into a concave cavity and subsequently into jet-like bubble structures. These patterns are notably different from the spike and bubble morphologies observed in classical Richtmyer-Meshkov instability. A systematic quantitative analysis of the perturbation amplitude reveals that the instability growth can be divided into two different stages: an initial linear growth stage and a nonlinear development stage. The transition between these stages is governed by interface deformation mechanisms, particularly the bending of the slip line intersecting the interface and the subsequent formation of the curl-up jet. When the shock strength and incidence angle of the Mach reflection configuration are kept constant, the Mach stem scale emerges as the decisive parameter controlling the characteristic time of slip line curling and jet development. The results show that during the linear stage, perturbation growth is primarily determined by shock strength and incidence angle, and is insensitive to the Mach stem scale. In contrast, during the nonlinear stage, the perturbation growth rate increases with the augmentation of Mach stem scales, highlighting the scale-dependent nature of the nonlinear stage. Furthermore, theoretical models are critically examined against numerical simulation results. While existing models can reasonably capture the initial velocity perturbations imprinted on the interface by the Mach reflection configuration, they are unable to combine the effects of Mach stem scale and the sustained driving influence of post-shock flow non-uniformities. This limitation underscores the need for improved theoretical descriptions. Overall, these findings provide new insights into the intrinsic coupling among shock strength, incidence angle, and Mach stem scale in determining the evolution of shock-induced interface instability. These insights not only deepen the fundamental understanding of Richtmyer-Meshkov-type instabilities in non-classical regimes but also provide valuable references for the development of predictive theoretical models and also for engineering applications such as inertial confinement fusion and high-speed propulsion systems.-
Keywords:
- Richtmyer-Meshkov instability /
- shock wave /
- Mach reflection /
- jet
-
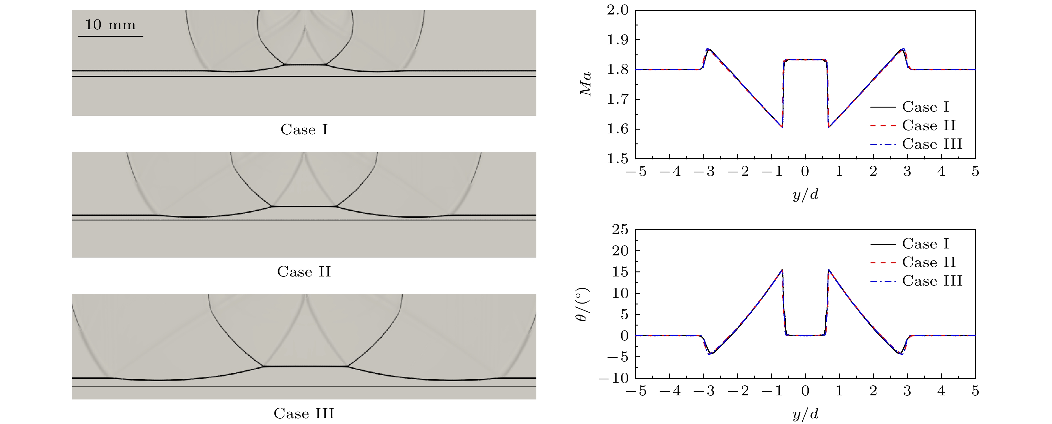
Case d/mm l/mm η Msi Msm αi/(°) lm/mm Ⅰ 5 20 4.0 1.62 1.82 14.2 7.12 Ⅱ 7.5 30 4.0 1.61 1.82 14.3 10.56 Ⅲ 10 40 4.0 1.62 1.82 14.6 14.04 Num[10] 10 40 4.0 1.62 1.83 14.4 / -
[1] [2] [3] [4] [5] [6] [7] [8] [9] [10] [11] [12] [13] [14] [15] [16] [17] [18] [19] [20] [21] [22] [23] [24] [25] [26] [27] [28] [29] [30] [31] [32] [33] [34] [35] [36] [37] [38] [39]
计量
- 文章访问数: 549
- PDF下载量: 9
- 被引次数: 0








下载: