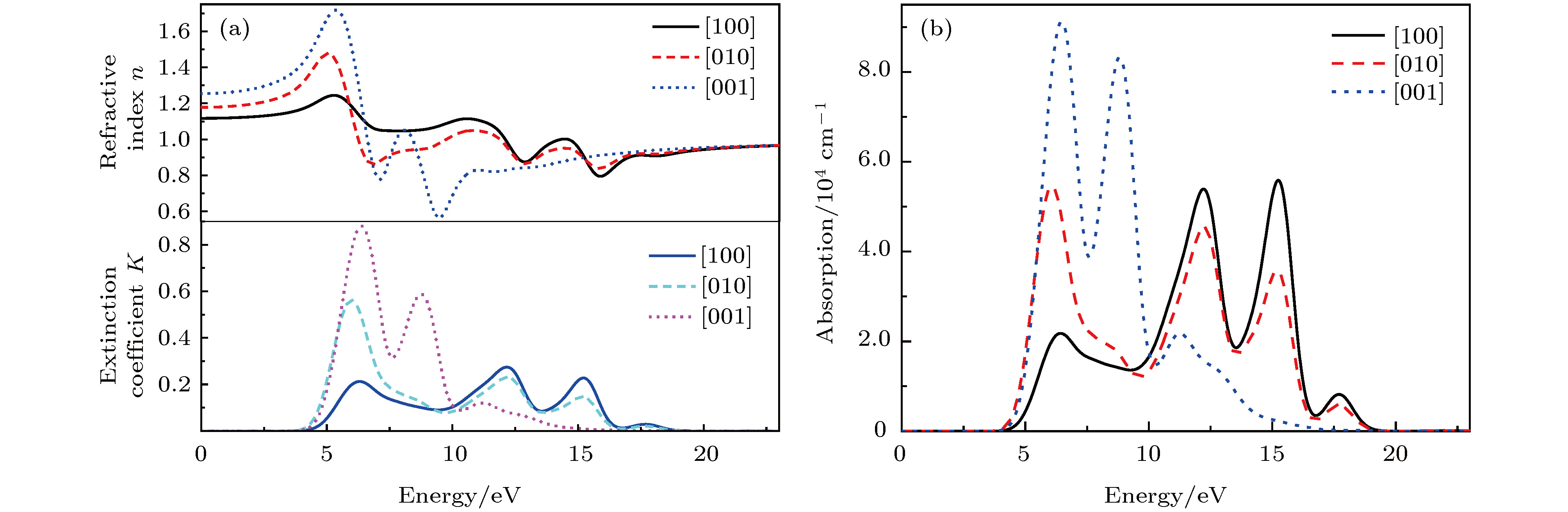
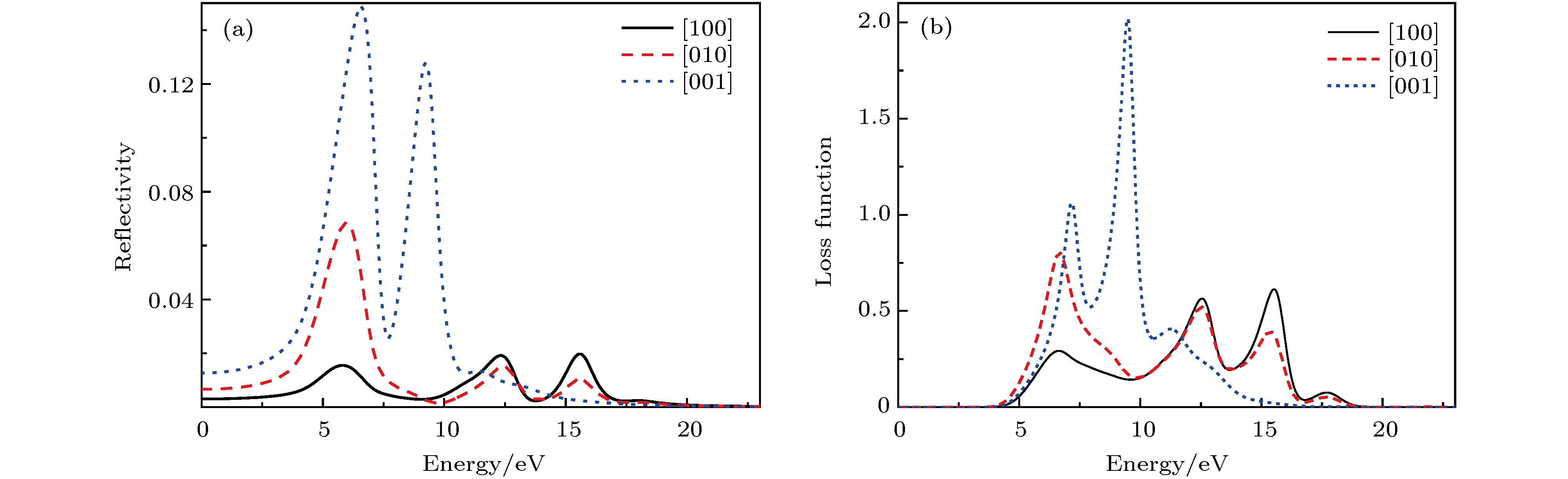
L-arginine phosphate monohydrate (LAP) crystal is an excellent nonlinear optical material, its effective nonlinear optical coefficient is about 2−3.5 times that of potassium dideuterium phosphate (KDP) crystal, and its conversion efficiency can achieve up to 90%. The deuterated crystal of LAP has a very high laser damage threshold. Thus, once it was considered as a preferred material to replace KDP crystal for laser inertial confinement fusion and other fields. In addition, the LAP crystal has a much higher stimulated Brillouin scattering (SBS) reflectivity than quartz crystal and also has a lower SBS threshold. Moreover, it exhibits a special reversible phase-change in the variable temperature process, and shows an ultra-long spin-lattice relaxation time at solid-state NMR. In a word, the LAP crystal has shown its uniqueness under the action of energy such as light, heat and magnetic field. However, for these special phenomena, there is no reasonable explanation. Phosphate arginine is responsible for the biological energy storage and transfer in invertebrates as an important phosphorus source, which has a similar chemical composition to that of LAP crystal. The special electrostatic or hydrogen bonding interaction between guanidine and phosphate plays an important role in protein molecule interaction and their biochemical functions. Moreover, the conformational transitions of L-arginine molecule in phosphoric acid solution at different energies have been reported, and the fluorescence emission of L-arginine molecule aggregates can be changed by the interaction between phosphoate and guanidine group. The interaction between phosphoate and guanidine group in crystal structure is also studied as a model of biomolecular interaction. In order to further study the mechanism of interaction between phosphoate and guanidine group and the crystal macroscopic properties, phosphate bis-guanidinoacetate (PBGA) crystal containing the similar phosphoate and guanidine groups has been synthesized and reported. In this paper, the geometry parameters, band structure, electronic density of states, and optical properties of PBGA crystal are investigated by first-principles based the density functional theory. The energy gap of PBGA crystal is 4.77 eV, much smaller than 5.96 eV of KDP crystal. Therefore, the photon transition becomes easier and the corresponding photon absorption is relatively large in PBGA crystal. The top states of crystal valence band are mainly composed of the N-2p of guanidine and the O-2p of carboxyl and phosphate groups. There exists the electron interaction among guanidine, carboxyl and phosphate groups. The optical properties of PBGA crystal are similar in the [100] and [010] orientation, whose linear optical properties are better than those of [001] when the incident photon energy is less than 10 eV. The strong energy loss peak at 9.46 eV in the [001] orientation is due to the electronic transition of N-2p on guanidine group in the valence band, and its distribution is narrow. Thus the optical properties of [001] orientation are limited. The present research establishes a good foundation for further understanding and studying the intergroup interactions and optical properties in PBGA crystal.