-
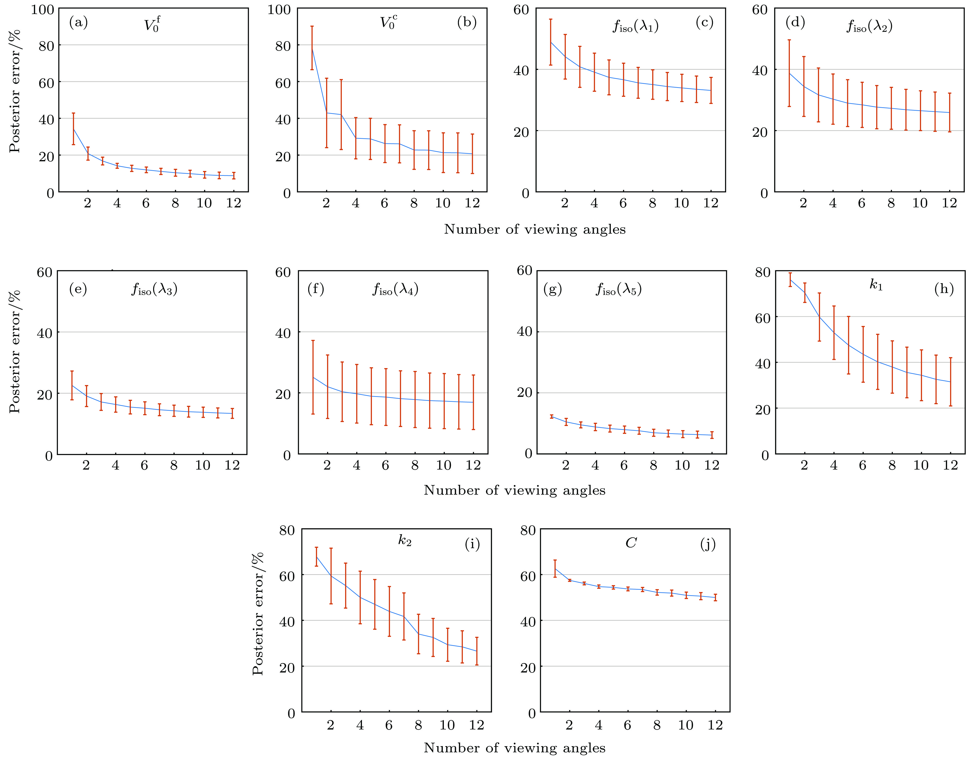
多角度偏振相机(directional polarimetric camera, DPC)随高分五号卫星已经成功发射并持续获取全球观测数据. 针对DPC在陆地气溶胶反演领域的应用需求, 本研究基于多参数最优化估计反演框架, 引入信息量和后验误差分析工具, 讨论了DPC观测信息量对角度的依赖, 给出了地表和气溶胶参数的后验误差, 并分析了后验误差的影响因素. 研究表明: 1)卫星观测信息量随观测角度个数的增加显著提升, DPC多角度观测比单角度观测的总DFS(degree of freedom for signal)平均提高了5.45; 2)气溶胶反演比地表更依赖于卫星观测几何, 散射角覆盖范围越大, 观测包含的气溶胶信息量越多; 3)反演参数的后验误差随观测角度个数的增加显著降低, 而气溶胶模型误差对后验误差的影响并不显著. 总体来说, 观测误差是影响反演结果不确定性的主要因素. 本研究对DPC多角度偏振观测的反演能力以及反演不确定性进行了系统的定量评估, 为DPC在轨测试及反演算法开发提供参考.Data from the directional polarimetric camera (DPC) instrument onboard Chinese Gaofen-5 satellite dedicated to aerosol monitoring have been available recently. By measuring the spectral, angular and polarization properties of the radiance at the top of atmosphere (TOA), a DPC provides the aerosol optical depths (AODs) as well as partial microphysical aerosol properties. In order to evaluate the capability and the retrieval uncertainty of DPC sensor systematically, the information content and a posteriori error analysis are applied to the synthetic data of DPC multi-angle observation in this paper, which inherits from the optimal estimate theoretical framework. The forward simulation is conducted by the unified linearized vector radiative transfer model (UNL-VRTM), and the Jacobians of four Stokes elements with respect to aerosol and surface model parameters can be obtained simultaneously. Firstly, the error influences of surface parameter on the TOA measurements are simulated. The results indicate that a 10% relative error of parameter k 1in the improved BRDF model results in about 4.65% error of the TOA reflectance, while the error of TOA polarized reflectance caused by the same error of parameter Cin BPDF model is negligibly small. Secondly, the multi-angle dependence of total information content in DPC measurements is investigated. It is shown that the information content increases significantly with the number of viewing angles, especially for the measurements of the first 9 angles. The DPC multi-angle observation can provide extra 5 degrees of freedom for signal (DFS) for the retrieval of aerosol and surface parameters, in which the retrieval of aerosol parameters is more sensitive to observation geometries than the retrieval of surface parameters in most cases. In addition, the total aerosol DFS increases with the range extension of scattering angle under the same number of viewing angles. After that, the DFS of each retrieved aerosol and surface parameter are given. For the aerosols, the volume concentration, real-part refractive index and effective radius show a high DFS (greater than 0.8). For the surfaces, the mean DFS of each parameter is greater than 0.5, which indicates the well capability of DPC in the surface retrieval. Finally, the a posteriori error of each aerosol, surface parameter and corresponding vary with the number of viewing angles, and the observation error and aerosol model error are discussed. The a posteriori error decrease significantly with the number of viewing angles, and the influence of the aerosol model error on the a posteriori error is not remarkable. In general, the observation error is the main influence factor on the uncertainty of the inversion results.
-
Keywords:
- directional polarimetric camera/
- optimal estimation inversion/
- information content analysis/
- a posteriori error
[1] [2] [3] [4] [5] [6] [7] [8] [9] [10] [11] [12] [13] [14] [15] [16] [17] [18] [19] [20] [21] [22] [23] [24] [25] [26] [27] [28] [29] [30] [31] [32] [33] [34] [35] [36] [37] [38] [39] [40] [41] [42] [43] -
设备参数 值 观测角度个数 ≤12 波段/nm 443, 490(P), 565, 670(P), 763, 765, 865(P), 910 相应带宽/nm 20, 20, 20, 20, 10, 40, 40, 20 观测量 I,Q,U 辐射定标误差 ≤ 5% 偏振定标误差 ≤ 0.02 符号 参数名称 情形1 情形2 x b x b V0f,V0c 气溶胶细、粗模态体积柱浓度/(μm3·μm-2) √ √ refff,reffc 气溶胶细、粗模态有效半径/(μm) √ √ vefff,veffc 气溶胶细、粗模态有效方差 √ √ mrf,mrc, 气溶胶细、粗模态复折射指数实部 √ √ mif,mic 气溶胶细、粗模态复折射指数虚部 √ √ fiso(${\lambda _1}$),…,
fiso(${\lambda _5}$)地表BRDF朗伯项参数 √ √ k1,k2 地表BRDF几何项和体积项参数 √ √ C 地表BPDF参数 √ √ 气溶胶模型1 V0f/μm3·μm–2 V0c/μm3·μm–2 V0/μm3·μm–2 FMFV AOD(550 nm) 细粒子主导 0.0745(100%) 0.0186(100%) 0.093 0.8 0.5 粗粒子主导 0.0493(100%) 0.197(100%) 0.246 0.2 0.5 mr mi reff/μm veff 细模态 1.44(0.15, 0.025) 0.011(0.01, 50%) 0.21(80%, 15%) 0.25(80%, 15%) 粗模态 1.55(0.15, 0.04) 0.003(0.005, 50%) 1.90(80%, 35%) 0.41(80%, 35%) 地表模型2 fiso($\lambda $) k1 k2 C NDVI 裸土 0.0705(0.0215),
0.1006(0.0224),
0.1720(0.0466),
0.2427(0.0207),
0.3253(0.2119)0.547(80%) 0.158(80%) 6.9(80%) 0.03 植被 0.0325(0.0425),
0.0347(0.0495),
0.0737(0.0777),
0.0395(0.0917),
0.3809(0.0792)0.668(80%) 0.087(80%) 6.57(80%) 0.62 1气溶胶模型参数mr,mi,reff,veff括号内的值分别为该参数作为x和b时的误差;
2地表模型参数fiso($\lambda $)的值依次对应443, 490, 565, 670和865 nm. -
[1] [2] [3] [4] [5] [6] [7] [8] [9] [10] [11] [12] [13] [14] [15] [16] [17] [18] [19] [20] [21] [22] [23] [24] [25] [26] [27] [28] [29] [30] [31] [32] [33] [34] [35] [36] [37] [38] [39] [40] [41] [42] [43]
计量
- 文章访问数:10342
- PDF下载量:120
- 被引次数:0












下载:









