-
β-Ga 2O 3是一种新型的超宽禁带氧化物半导体, 禁带宽度约为4.9 eV, 对应日盲区, 对波长大于253 nm的深紫外—可见光具有高的透过率, 是天然的日盲紫外探测及深紫外透明电极材料. 本文介绍了Ga 2O 3材料的晶体结构、基本物性与器件应用, 并综述了 β-Ga 2O 3在深紫外透明导电电极和日盲紫外探测器中的最新研究进展. Sn掺杂的Ga 2O 3薄膜电导率可达到32.3 S/cm, 透过率大于88%, 但离商业化的透明导电电极还存在较大差距. 在日盲紫外探测器应用方面, 基于异质结结构的器件展现出更高的光响应度和更快的响应速度, ZnO/Ga 2O 3核/壳微米线的探测器综合性能最佳, 在–6 V偏压下其对254 nm深紫外光的光响应度达1.3 × 10 3A/W, 响应时间为20
${\text{μ}}{\rm{s}}$ .Gallium oxide (Ga 2O 3), with a bandgap of about 4.9 eV, is a new type of ultra-wide bandgap semiconductor material. The Ga 2O 3can crystallize into five different phases, i.e. α, β, γ, δ, and ε-phase. Among them, the monoclinic β-Ga 2O 3(space group: C2/m) with the lattice parameters of a= 12.23 Å, b= 3.04 Å, c= 5.80 Å, and β= 103.7° has been recognized as the most stable phase. The β-Ga 2O 3can be grown in bulk form from edge-defined film-fed growth with a low-cost method. With a high theoretical breakdown electrical field (8 MV/cm) and large Baliga’s figure of merit, the β-Ga 2O 3is a potential candidate material for next-generation high-power electronics (including diode and field effect transistor) and extreme environment electronics [high temperature, high radiation, and high voltage (low power) switching]. Due to a high transmittance to the deep ultraviolet-visible light with a wavelength longer than 253 nm, the β-Ga 2O 3is a natural material for solar-blind ultraviolet detection and deep-ultraviolet transparent conductive electrode. In this paper, the crystal structure, physical properties and device applications of Ga 2O 3material are introduced. And the latest research progress of β-Ga 2O 3in deep ultraviolet transparent conductive electrode and solar-blind ultraviolet photodetector are reviewed. Although Sn doped Ga 2O 3thin film has a conductivity of up to 32.3 S/cm and a transmittance greater than 88%, there is still a long way to go for commercial transparent conductive electrode. At the same time, the development history of β-Ga 2O 3solar-blind ultraviolet photodetectors based on material type (nanometer, single crystal and thin film) is described in chronological order. The photodetector based on quasi-two-dimensional β-Ga 2O 3flakes shows the highest responsivity (1.8 × 10 5A/W). The photodetector based on ZnO/Ga 2O 3core/shell micron-wire has a best comprehensive performance, which exhibits a responsivity of 1.3 × 10 3A/W and a response time ranging from 20${\text{μ}}{\rm{s}}$ to 254 nm light at –6 V. We look forward to applying the β-Ga 2O 3based solar-blind ultraviolet photodetectors to military (such as: missile early warning and tracking, ultraviolet communication, harbor fog navigation, and so on) and civilian fields (such as ozone hole monitoring, disinfection and sterilization ultraviolet intensity monitoring, high voltage corona detection, forest fire ultraviolet monitoring, and so on).-
Keywords:
- gallium oxide/
- ultra-wide bandgap semiconductor/
- solar-blind photodetector/
- ultraviolet transparent electrode
[1] [2] [3] [4] [5] [6] [7] [8] [9] [10] [11] [12] [13] [14] [15] [16] [17] [18] [19] [20] [21] [22] [23] [24] [25] [26] [27] [28] [29] [30] [31] [32] [33] [34] [35] [36] [37] [38] [39] [40] [41] [42] [43] [44] [45] [46] [47] [48] [49] [50] [51] [52] [53] [54] [55] [56] [57] [58] [59] [60] [61] [62] [63] [64] [65] [66] [67] [68] [69] [70] [71] [72] [73] [74] [75] [76] [77] [78] [79] [80] [81] [82] [83] [84] [85] [86] [87] [88] [89] [90] [91] [92] [93] [94] [95] [96] [97] [98] [99] [100] [101] [102] [103] [104] [105] [106] [107] [108] [109] [110] [111] [112] [113] [114] [115] [116] [117] [118] [119] [120] [121] [122] [123] [124] [125] [126] [127] [128] [129] [130] [131] [132] [133] [134] [135] [136] [137] [138] [139] [140] [141] [142] [143] [144] [145] [146] [147] [148] [149] [150] [151] [152] [153] [154] [155] [156] [157] [158] [159] [160] [161] [162] [163] [164] [165] [166] [167] [168] [169] [170] [171] [172] [173] [174] [175] [176] [177] [178] [179] [180] [181] -
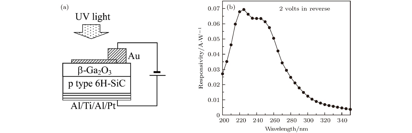
材料 Si GaAs GaP 4H-SiC ZnO GaN ß-Ga2O3 Diamond AlN MgO 带隙Eg/eV 1.1 1.43 2.27 3.3 3.35 3.4 4.2—4.9 5.5 6.2 7.8 迁移率${\text{μ}}$/cm2·Vs–1 1400 8500 350 1000 200 1200 300 2000 135 击穿电场强度Eb/MV·cm–1 0.3 0.6 1.0 2.5 3.3 8 10 2 相对介电常数ε 11.8 12.9 11.1 9.7 8.7 9 10 5.5 8.5 9.9 导热率/W·cm–1·K–1 1.5 0.55 1.1 2.7 0.6 2.1 0.23[010] 0.13[100] 10 3.2 巴利加优值/$\varepsilon {\text{μ}} {E_{\rm{b}}}^3$ 1 15 340 870 3444 24664 薄膜类型 电导率/S·cm–1 面电阻/Ω·sq–1 载流子浓度/cm–3 迁移率/cm2·V–1·s–1 透过率/% 参考文献 Ga2O3薄膜 7.6 - - - 85 [80] Sn:Ga2O3薄膜 1 - 1.4 × 1019 0.44 80 [78] Sn:Ga2O3薄膜 8.2 - - < 0.44 80 [24] Sn:Ga2O3薄膜 8.3 - - 12.03 85 [81] Sn:Ga2O3薄膜 32.3 - 2.4 × 1020 0.74 88 [82] Sn:Ga2O3单晶 23.4 - 2.3 × 1018 64.7 85 [79] (Ga, In)2O3薄膜 1.72 × 103 - 5 × 1020 - > 95 [83] Ga2O3/ITO薄膜 - 164 - - > 94 [84] Ga2O3/ITO薄膜 - 49 - - 93.8 [85] Ag/Ga2O3薄膜 - 42 - - 91 [86] Ga2O3/Cu/ITO - 50 - - 86 [87] 通信类别 非视距通信 抗干扰、防窃听 相对运动信号接收 传播距离调控 受环境气候时间影响 无线电通信 是 易被干扰和窃听 是 很差 受环境影响 激光通信 否 抗干扰、防窃听 否 较差 受环境影响 红外通信 否 较易干扰、防窃听 否 较差 受环境时间影响 紫外通信 是 抗干扰、防窃听 是 很好 很小、全天候 光电探测器类型 光响应度/A·W–1 量子效率/% 暗电流/A 光暗比 响应时间/s 参考文献 Ga2O3纳米线 - - 10–12 ≈ 2 × 103 2.2 × 10–1 [91] Ga2O3纳米线 - - < 10–12 3 × 104 < 2 × 10–2 [88] Ga2O3纳米线 8.0 × 10–4 0.39 2.4 × 10–10 ≈ 102 - [92] Ga2O3纳米线 3.4 × 10–3 1.37 - ≈ 102 - [93] ZnO/Ga2O3核壳微米线 1.3 × 103(–6 V) - 10–10 ≈ 106 2 × 10–5 [100] ZnO/Ga2O3核壳微米线 9.7 × 10–3(0 V) - 10–10 ≈ 7 × 102 10–4 [101] Ga2O3纳米线 6 × 10–4 - 10–11 ≈ 102 6.4 × 10–5 [102] Ga2O3纳米线 3.77 × 102 2.0 × 105 10–11 103 0.21 [107] 石墨烯/Ga2O3纳米线 1.85 × 10-1 - 10–5 - 8 × 10–3 [108] Ga2O3纳米片 3.3 1.6 × 103 10–9 10 3 × 10–2 [96] Ga2O3纳米花(γ) - - 10–9 2.2 × 102 10–1 [97] Ga2O3纳米带 3.37 × 101 1.67 × 104 10–13 4.0 × 102 8.6 × 101 [94] Ga2O3纳米带 8.51 × 102 4.2 × 103 10–13 ≈ 103 < 3 × 10–1 [98] Ga2O3纳米带 1.93 × 101 9.4 × 103 10–10 ≈ 104 < 2 × 10–2 [99] In:Ga2O3纳米带 5.47 × 102 2.72 × 105 10–13 9.1 × 102 1 [95] Ga2O3微米带 1.8 × 105(–30 V) 8.8 × 105 10–6 2.57 0.67 [103] Ga2O3微米带 - - 10–4 - 1.4 [104] Ga2O3微米带 1.68 - 10–13 1.9 × 103 0.53 [105] 石墨烯/Ga2O3微米带 2.98 × 101 - 10–13 ≈ 104 - [106] Ga2O3单晶 2.6—8.7 - 10–10 ≈ 103 - [109] Ga2O3单晶 3.7 × 10–2 1.8 × 101 10–10 1.5 × 104 9 × 10–3 [89] Ga2O3单晶 103 - 10–10 ≈ 106 - [110] Ga2O3单晶 4.3 2.1 × 101 10–11 105 - [111] 石墨烯/Ga2O3单晶 3.93 × 101 1.96 × 104 10–6 103 2.2 × 102 [112] Ga2O3单晶 5 × 10–2 - 10–5 102 2.4 × 10–1 [160] Ga2O3单晶 3 × 10–3 - 10–8 101 1.4 × 10–1 [113] Ga2O3薄膜 8 × 10–5 - - - - [116] Ga2O3薄膜 3.7 × 10–2 1.8 × 101 10–9 - - [90] Ga2O3薄膜 4.53 × 10–1 > 102 10–10 105 - [117] Ga2O3薄膜 ≈ 101 - 10–10 103 - [118] Ga2O3薄膜 ≈ 101 - 10–7 103 - [119] Ga2O3薄膜 ≈ 102 - 10–10 102 - [120] Ga2O3薄膜 - - 10–11 105 - [122] Ga2O3薄膜 7.6 × 10–1 - 10–10 6 5 × 10–2 [152] Ga2O3薄膜 1.7 × 101 8.2 × 103 10–9 8.5 × 106 - [153] Ga2O3薄膜 - - 10–11 102 8 × 10–1 [154] Ga2O3薄膜 9.03 × 10–1 - 10–11 105 - [155] Ga2O3薄膜 2.59 × 102 7.9 × 104 10–10 104 4 × 10–1 [156] Ga2O3薄膜 - - 10–7 15 - [157] Ga2O3薄膜/晶体 1.8 8.7 × 102 10–6 36.9 - [158] a-GaOx非晶薄膜 7.0 × 101 - 10–10 1.2 × 105 2 × 10–2 [159] Ga2O3薄膜 4.2 - 10–11 1.6 × 104 4 × 10–2 [159] Ga2O3薄膜 9 × 10–3 - 10–5 101 1.8 × 10–1 [160] Al:Ga2O3薄膜 1.5 7.8 × 102 - - - [164] Si:Ga2O3薄膜 6 × 101 3 × 104 - 9 - [166] Si:Ga2O3薄膜 3.6 × 101 1.75 × 104 - 9 - [167] Zn:Ga2O3薄膜 2.1 × 102 - 10–11 5 × 104 1.4 [168] Ga2O3非晶薄膜 1.9 × 10–1 - 10–12 106 1.9 × 10–5 [169] Ga2O3非晶薄膜 4.5 × 101 - 10–10 104 2.97 × 10–6 [171] Ga2O3薄膜 1.5 - 10–9 103 - [175] Ga2O3薄膜 0.29 1.34 10–8 1.6 × 103 0.1 [173] Ga2O3薄膜 0.11 - 10–9 3.5 × 103 0.45 [174] Ga2O3薄膜 0.14 - 10–11 1.4 × 106 0.2 [174] Ga2O3薄膜 1.5 - 10–8 103 - [173] Ga2O3薄膜 2.6 × 101 - 10–8 104 0.18 [176] 石墨烯/Ga2O3薄膜 1.28 × 101 - 10–8 - 2 × 10–3 [177] Ga2O3薄膜 9.6 × 101 4.76 × 104 10–6 - - [180] Ga2O3薄膜 5.86 × 10–5 - 10–9 1.8 × 101 0.1 [181] Ga2O3薄膜 1.5 × 102 7 × 104 10–11 105 1.3 [165] Ga2O3薄膜 1 × 10–1 - 10–8 - - [178] Ga2O3薄膜 - - 10–8 6 8.6 × 10–1 [123] Ga2O3薄膜 - - 10–9 1.3 × 101 6.2 × 10–1 [126] Ga2O3/Ga/Ga2O3薄膜 2.854 - 10–11 8×105 - [170] Mn:Ga2O3薄膜 7 × 10–2 3.6 × 101 10–9 6.7 × 101 2.8 × 10–1 [127] α-Ga2O3薄膜 1.5 × 10–2 7.39 10–9 3 × 101 - [137] α-Sn:Ga2O3薄膜 9.6 × 10–2 - 10–9 1.4 × 102 1.08 [132] α-Sn:Ga2O3薄膜 - - 10–7 4 8.73 [131] ε-Sn:Ga2O3薄膜 6.05 × 10–3 3.02 10–9 46.46 - [133] β-Sn:Ga2O3薄膜 3.61 × 10–2 - 10–8 19 1.37 [166] Zn:Ga2O3薄膜 - - 10–9 2 1.23 [134] Er:Ga2O3薄膜 - - 10–9 2.5 1.6 × 10–1 [76] Au NPs/Ga2O3薄膜 102 - 10–6 > 2 × 102 - [139] Ga2O3/p-Si异质结 3.7 × 102 1.8 × 105 10–8 9.4 × 102 1.8 [143] Ga2O3/ZnO异质结 3.5 × 10–1 1.7 × 102 10–10 1.5 × 101 6.2 × 10–1 [144] Ga2O3/NSTO异质结 4.3 × 101 2.1 × 104 10–6 2 × 101 7 × 10–2 [142] Ga2O3/Ga:ZnO异质结 7.6 × 10–4 - 10–9 2.6 × 102 2.7 × 10–1 [145] p-Si/i-SiC/n-Ga2O3 - - 10–8 5.4 × 103 - [148] 石墨烯/Ga2O3/SiC 1.8 × 10–1 - 10–5 6.3 × 101 1.7 [149] 石墨烯/Ga2O3/石墨烯 9.66 - 10–9 8.3 × 101 0.96 [138] Ga2O3/SiC/Al2O3 - - 10–9 7.7 - [141] Ga2O3/Al2O3 1.4 - 10–7 9.04 1.26 [140] Ga2O3/SiC异质结 7 × 10–2 - 10–10 - 9 × 10–3 [121] Ga2O3/GaN异质结 5.4 × 10–2 - 10–6 1.5 × 102 8 × 10–2 [146] Sn:Ga2O3/GaN异质结 3.05 - 10–11 104 1.8 × 10–2 [147] α-Ga2O3/ZnO异质结 1.1 × 104(–40 V) - 10–12 - 2.4 × 10–4 [172] Ga2O3/金刚石异质结 2 × 10–4 - 10–9 3.7 × 101 - [179] -
[1] [2] [3] [4] [5] [6] [7] [8] [9] [10] [11] [12] [13] [14] [15] [16] [17] [18] [19] [20] [21] [22] [23] [24] [25] [26] [27] [28] [29] [30] [31] [32] [33] [34] [35] [36] [37] [38] [39] [40] [41] [42] [43] [44] [45] [46] [47] [48] [49] [50] [51] [52] [53] [54] [55] [56] [57] [58] [59] [60] [61] [62] [63] [64] [65] [66] [67] [68] [69] [70] [71] [72] [73] [74] [75] [76] [77] [78] [79] [80] [81] [82] [83] [84] [85] [86] [87] [88] [89] [90] [91] [92] [93] [94] [95] [96] [97] [98] [99] [100] [101] [102] [103] [104] [105] [106] [107] [108] [109] [110] [111] [112] [113] [114] [115] [116] [117] [118] [119] [120] [121] [122] [123] [124] [125] [126] [127] [128] [129] [130] [131] [132] [133] [134] [135] [136] [137] [138] [139] [140] [141] [142] [143] [144] [145] [146] [147] [148] [149] [150] [151] [152] [153] [154] [155] [156] [157] [158] [159] [160] [161] [162] [163] [164] [165] [166] [167] [168] [169] [170] [171] [172] [173] [174] [175] [176] [177] [178] [179] [180] [181]
计量
- 文章访问数:29366
- PDF下载量:959
- 被引次数:0












下载:



























