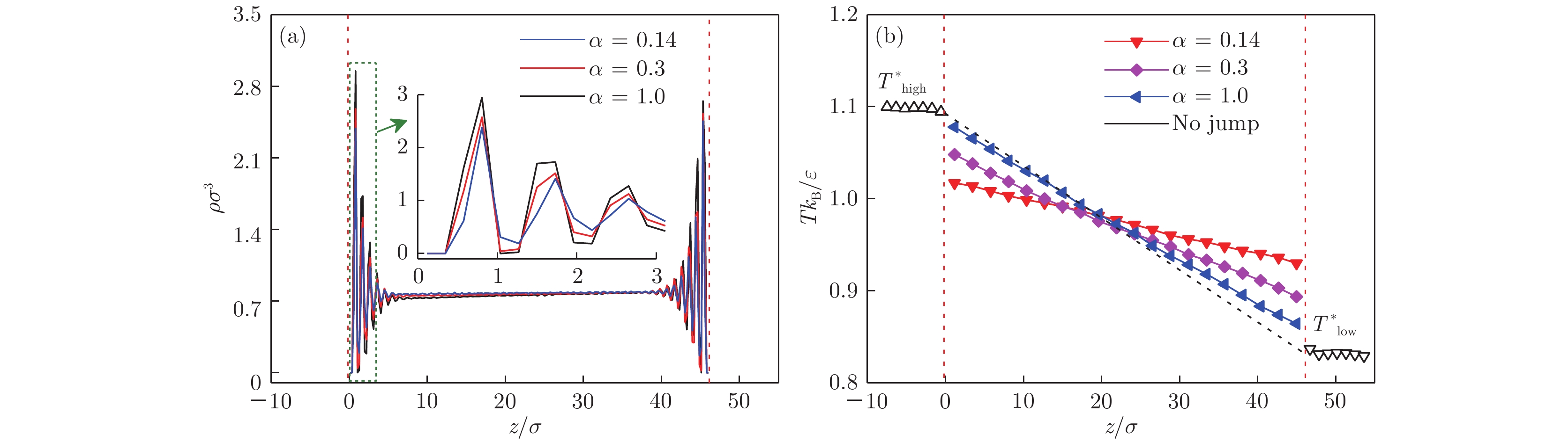
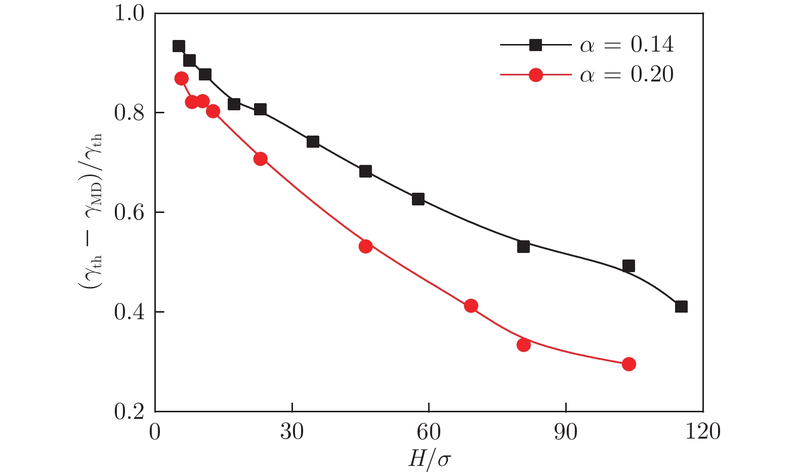
The heat transfer in microchannel has attracted considerable attention due to many important applications in biology, chemistry, physics and engineering. When the fluid size shrinks to nanoscale, the energy transport of micro-system is significantly different from the conventional case. It is of great significance to study the size effect on heat transfer in a micro-system. However, there is a large size gap between existing molecular dynamics simulation and experimental measurement, in which the size effect on solid-liquid interfacial thermal resistance is rarely involved. Non-equilibrium molecular dynamics simulation is performed to investigate the heat transfer through the solid-liquid interface. Simple Lennard-Jones (LJ) fluid is simulated as the ultra-thin liquid film in a non-equilibrium simulation system. The liquid film is confined in a nanochannel composed of two solid surfaces. The potential function between solid and liquid atom is represented by a modified LJ function to control the solid-liquid interfaces of different surface wettabilities. We examine the size effect on temperature jump and thermal resistance at the solid-liquid interface. The fluid number density and temperature distribution in the perpendicular direction of solid wall are evaluated. It is found that the liquid atoms near wall are arranged as a solid-like structure. Particularly in the small channel, liquid atoms confined in the channel are affected by two solid walls. However, with the increase of channel height, the liquid atoms in the middle channel move freely, leading to the decrease of the size effect. The simulation results show that the dependence of thermal resistance on microchannel height exhibits two regimes: (i) monotonically increasing dependence for the small channel and (ii) keeping constant thermal resistance for the large channel. These two distinct trends can be explained by phonon vibrational density of states (VDOS) of solid wall and liquid. For the small channel, a stronger confinement of liquid leads to a weaker mismatch in VDOS of solid wall and liquid, thus resulting in a smaller thermal resistance. Whereas, for the large channel, the vibrational coupling between the solid and the liquid atom remains unchanged and the size effect is negligible. The size thresholds of the two regimes of the thermal resistance are both sensitive to the liquid-solid interaction strength, which decreases with solid-liquid interaction increasing. Furthermore, with the increase of the microchannel height, the temperature jump at the solid-liquid interface monotonically decreases and eventually approaches to the non-jump temperature boundary on a macroscopic scale. These findings may help to understand the mechanism of temperature boundary conditions on a microscopic scale and a macroscopic scale and provide a theoretical support for manufacturing new nano-devices.