-
免掺杂、非对称异质接触的新型太阳电池由于近几年的飞速发展, 理论转化效率已达到28%, 具有较大的发展空间, 引起了人们的重视. 由于传统晶硅太阳电池产业存在生产设备成本高、原材料易燃易爆等诸多限制, 市场对太阳电池产业低成本、绿色无污染的期待越来越高, 极大地增加了免掺杂、非对称异质接触的新型太阳电池研究和开发的必要性. 为了进一步加快免掺杂、非对称异质接触晶体硅太阳电池的研究进度, 本文对其发展现状进行了综述, 着重讨论了过渡金属氧化物(TMO)载流子选择性运输的基本原理、制备技术以及空穴传输层、电子传输层和钝化层对基于TMO构建的免掺杂、非对称异质接触(DASH)太阳电池性能的影响, 以期对电池的工作机理、材料选择有更深刻的认识, 为新型高效的DASH太阳电池制备提供指导.
-
关键词:
- 免掺杂、非对称异质接触/
- 空穴传输/
- 电子传输/
- 过渡金属氧化物
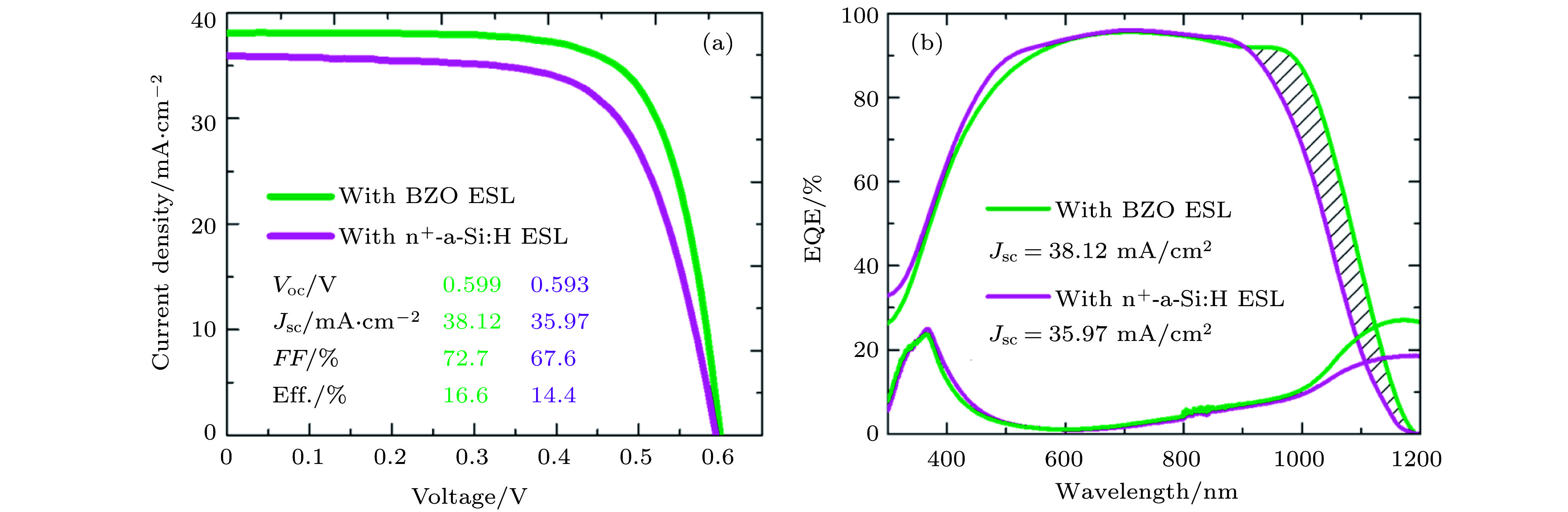
Due to the rapid development of dopant free asymmetric heterogeneous contacts in recent years, the theoretical conversion efficiency can reach 28%, which has large room for development and has attracted one’s attention. With the expectation of low cost and green pollution-free solar cell, the traditional crystalline silicon solar cell has many limitations due to its high equipment cost and flammable and explosive raw materials. It greatly increases the necessity of research and development of new solar cells with no doping and asymmetric heterogeneous contacts. The new solar cell is safe and environmental friendly due to the multi-faceted advantages of dopant-free asymmetric heterogeneous contact (DASH) solar cells constructed by transition metal oxide (TMO): the TMO has been widely studied as an alternative option, because of its wide band gap, little parasitic absorption, as well as repressed auger recombination, and conducing to the increase of the short-circuit current density of the solar cells; the DASH solar cell has high efficiency potential, its theoretical efficiency has reached 28%, and it can be produced by low-cost technology such as thermal evaporation or solution method; it always avoids using flammable, explosive and toxic gases in the manufacturing process. Our group proposed using MoO xas a hole selective contact and ZnO as an electron selective contact to construct a new and efficient DASH solar cell. It has achieved a conversion efficiency of 16.6%. Another device, in which MoO xis used as the hole selective contact and n-nc-Si:H as the electron selective, was fabricated, and its efficiency has reached 14.4%. In order to further speed up the research progress of the dopant-free asymmetric heterogeneous contact crystalline silicon solar cell, the development status is reviewed, and the basic principle and preparation technology of selective transport of transition metal oxide (TMO) carriers are discussed. And the effect of the hole transport layer, the electron transport layer and the passivation layer on the performance of the TMO dopant-free asymmetric heterogeneous contact (DASH) solar cells are discussed in order to have an in-depth understanding of the working mechanism and material selection of the battery, thereby providing guidance in preparing new and efficient DASH solar cells.-
Keywords:
- dopant-free asymmetric heterocontacts/
- hole-selective contacts/
- electron-selective contacts/
- transition metal oxide
[1] [2] [3] [4] [5] [6] [7] [8] [9] [10] [11] [12] [13] [14] [15] [16] [17] [18] [19] [20] [21] [22] [23] [24] [25] [26] [27] [28] [29] [30] [31] [32] [33] [34] [35] [36] [37] [38] [39] [40] [41] [42] [43] [44] [45] [46] [47] [48] [49] [50] [51] [52] [53] [54] [55] [56] [57] [58] [59] [60] [61] [62] [63] [64] [65] [66] [67] [68] -
Device Architecture Jsc/mA·cm-2 Voc/mV FF Efficiency/% Reference(Year) MoOx/nc-Si/n a-Si:H 37.8 580 65 14.3 Battaglia et al.[16](2014) MoOx/i a-Si:H/c-Si/i a-Si:H/n a-Si:H 38.6 725.4 80.36 22.5 Jonas et al.[26](2015) p+-Si/p-c-Si/MoOx 37 616 72 16.4 Bullock et al.[43](2015) p+-Si/n-c-Si/TiO2 39.2 639 79.1 19.8 Yang et al.[44](2015) MoOx/a-Si:H(i)/c-Si/a-Si:H(i)/LiFx 37.07 716.4 73.15 19.42 Bullock et al.[8](2016) MoOx/ia-Si:H/nc-Si/ia-Si:H/n a-Si:H 39.4 711 67.2 18.8 Battaglia et al.[17](2016) V2Ox/c-Si/ n a-Si:H 34.4 606 75.3 15.7 Gerling et al.[15](2016) MoOx/c-Si/ n a-Si:H 34.1 581 68.8 13.6 Gerling et al.[15](2016) WOx/c-Si/ n a-Si:H 33.3 577 65 12.5 Gerling et al.[15](2016) p+-Si/n-c-Si/SiO2/TiO2 39.5 650 80 20.5 Yang et al.[45](2016) V2Ox/Au /V2Ox 38.7 651 75.49 19.02 Wu et al.[11](2017) p+-Si/n-c-Si/MgOx 39.5 628 80.6 20 Wan et al.[46](2017) MoOx/i a-Si:H/c-Si/i a-Si:H/BZO 38.1 599 72.7 16.6 Wang et al.[47](2017) MoOx/a-Si:H(i)/c-Si/a-Si:H(i)/TiOx/LiF 38.4 706 76.2 20.7 Bullock et al.[32](2018) -
[1] [2] [3] [4] [5] [6] [7] [8] [9] [10] [11] [12] [13] [14] [15] [16] [17] [18] [19] [20] [21] [22] [23] [24] [25] [26] [27] [28] [29] [30] [31] [32] [33] [34] [35] [36] [37] [38] [39] [40] [41] [42] [43] [44] [45] [46] [47] [48] [49] [50] [51] [52] [53] [54] [55] [56] [57] [58] [59] [60] [61] [62] [63] [64] [65] [66] [67] [68]
计量
- 文章访问数:10476
- PDF下载量:191
- 被引次数:0












下载:








