Spintronic devices utilize the spin property of electrons for the storage, transmission, and processing of information, and they possess inherent advantages such as low power consumption and non-volatility, thus attracting widespread attention from both academia and industry. Spin-orbit torque (SOT) is an efficient method of manipulating magnetic moments through using electric current for writing, controlling the spin-orbit coupling (SOC) effect within materials to achieve the mutual conversion between charge current and spin current. Enhancing the efficiency of charge-spin conversion is a critical issue in the field of spintronics. Strontium ruthenate (SRO) in transition metal oxides (TMO) has attracted significant attention as a spin source material in SOT devices due to its large and tunable charge-to-spin conversion efficiency. However, current research on SOT control in SRO primarily focuses on utilizing substrate strain, with limited exploration of other control methods. Crystal orientation can produce various novel physical properties by affecting material symmetry and electronic structure, which is one of the important means to control the properties of TMO materials. Considering the close correlation between the SOT effect and electronic structure as well as surface states, crystal orientation is expected to affect SOT properties by adjusting the electronic band structure of TMO. This work investigates the effect of crystal orientation on the SOT performance of SrRuO
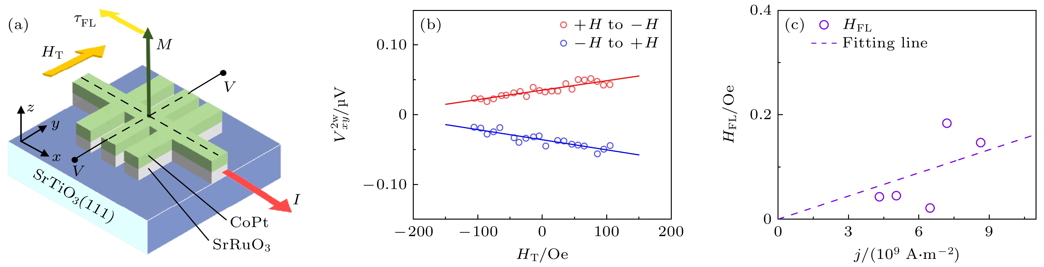
3film and develops a novel approach for SOT control. The (111)-oriented SRO/CoPt heterostructures and SOT devices are prepared by using pulse laser deposition, magnetron sputtering, and micro-nano processing techniques. Through harmonic Hall voltage(HHV) measurements, we find that the SOT efficiency reaches 0.39, and the spin Hall conductivity attains 2.19×10
5
$\hbar $
/2
eΩ
–1·m
–1, which are 86% and 369% higher than those of the (001) orientation, respectively. Furthermore, current-driven perpendicular magnetization switching is achieved in SrRuO
3(111) device at a low critical current density of 2.4×10
10A/m
2, which is 37% lower than that of the (001) orientation. These results demonstrate that the crystal orientation can serve as an effective approach to significantly enhancing the comprehensive performance of SrRuO
3-based SOT devices, thus providing a new idea for developing high-efficiency spintronic devices.