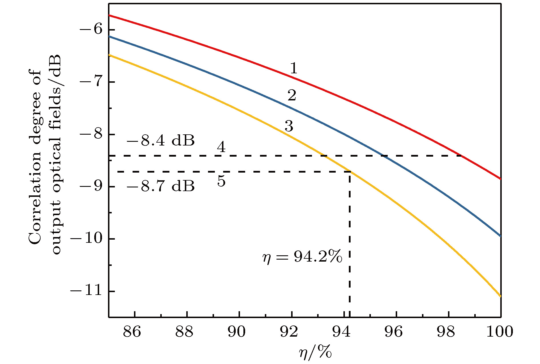
Entanglement source with high entanglement degree is the guarantee for accomplishing the quantum information transmission and process with higher fidelity. Continuous variable Einstein-Podolsky-Rosen (EPR) entangled optical field with quantum correlation of amplitude and phase quadrature is a basic and important quantum resource in the quantum information science area, which can be obtained by a non-degenerate optical parametric amplifier (NOPA) operated below the threshold pump power. Because of the limitation of the imperfect performance of optical components in optical cavity, we should find efficient methods of implementing quantum manipulation to improve the entanglement degree of the entangled state of light. Connecting NOPA1 and NOPA2 in series, the entangled state of light output from the NOPA1 can be manipulated by NOPA2, and the entanglement degree can be enhanced under certain conditions. To improve the entanglement degree to a greater extent, the structure of the NOPA1 is chosen as a half-monolithic standing-wave optical resonator with the triple resonance of the pump and two subharmonic modes. The NOPA1 is able to output the entangled optical fields with an entanglement degree of 8.4 dB, which is the highest entanglement generated by a single device so far. The structure of the NOPA2 can be chosen as a standing-wave optical cavity or a four-mirror ring optical cavity. According to the different structures of the NOPA2, we theoretically design two kinds of optical systems with two cascaded cavities and compare the effects of the two optical systems on the continuous variable EPR entanglement cascaded enhancement in detail. Based on the above contrastive analysis, when the entanglement degree of the input optical fields is 8.4 dB and the transmissivity of the output coupler is lower, the structure of a four-mirror ring optical cavity for NOPA2 cannot enhance the entanglement degree, so the optical system including NOPA2 with standing wave cavity structure and the optical isolator with high transmission efficiency is appropriate. When the transmissivity of the output coupler and transmission efficiency of the optical isolator are higher, the structure of the NOPA2 should be chosen as a standing-wave optical cavity, otherwise the structure of the NOPA2 should be chosen as a four-mirror ring optical cavity. We also theoretically analyze the dependence of the correlation degree of output optical fields on physical parameters. The results show that under the conditions of higher input and output coupling efficiency, higher transmission efficiency and lower intro-cavity loss, the entangled state of light with higher entanglement degree can be obtained experimentally. This provides the reference for obtaining entangled optical fields with higher entanglement degree in the future.