The ozone layer in the stratosphere of the earth’s atmosphere, which can be destroyed by CFC-11 molecule, plays a crucial role in human survival because it can absorb most of the harmful radiation from the sun and effectively protect the earth’s biology. Therefore, it is of evident significance to investigate the properties of CFC-11 molecule. By Motivated by this and the adoption of B3LYP complex function at a level of 6-311++g(3df, 3pd) basis set, we carry out a series of theoretical studies of the Freon material CFC-11 (CFCl3) molecules, including the studies of the equilibrium structure, electric dipole moment, total energy, the highest occupied molecular orbital (HOMO) and the lowest unoccupied molecular orbital (LUMO) level, energy gap, infrared and Raman spectrum, C—F dissociation characteristics of CFC-11 molecule, and the effect of the applied electric field on CFC-11 molecule as well. The results show that the maximum error between the theoretical calculation value and the experimental value is less than 2% for an optimized ground state structure; the C—F bond length and C—Cl bond length extend with the increase of electric field intensity, but the degree of change of C—F bond length is much stronger than that of C—Cl; the HOMO energy level and total energy go up and then come down as the external field rises, while the LUMO energy level goes up as the field increases. The energy gap
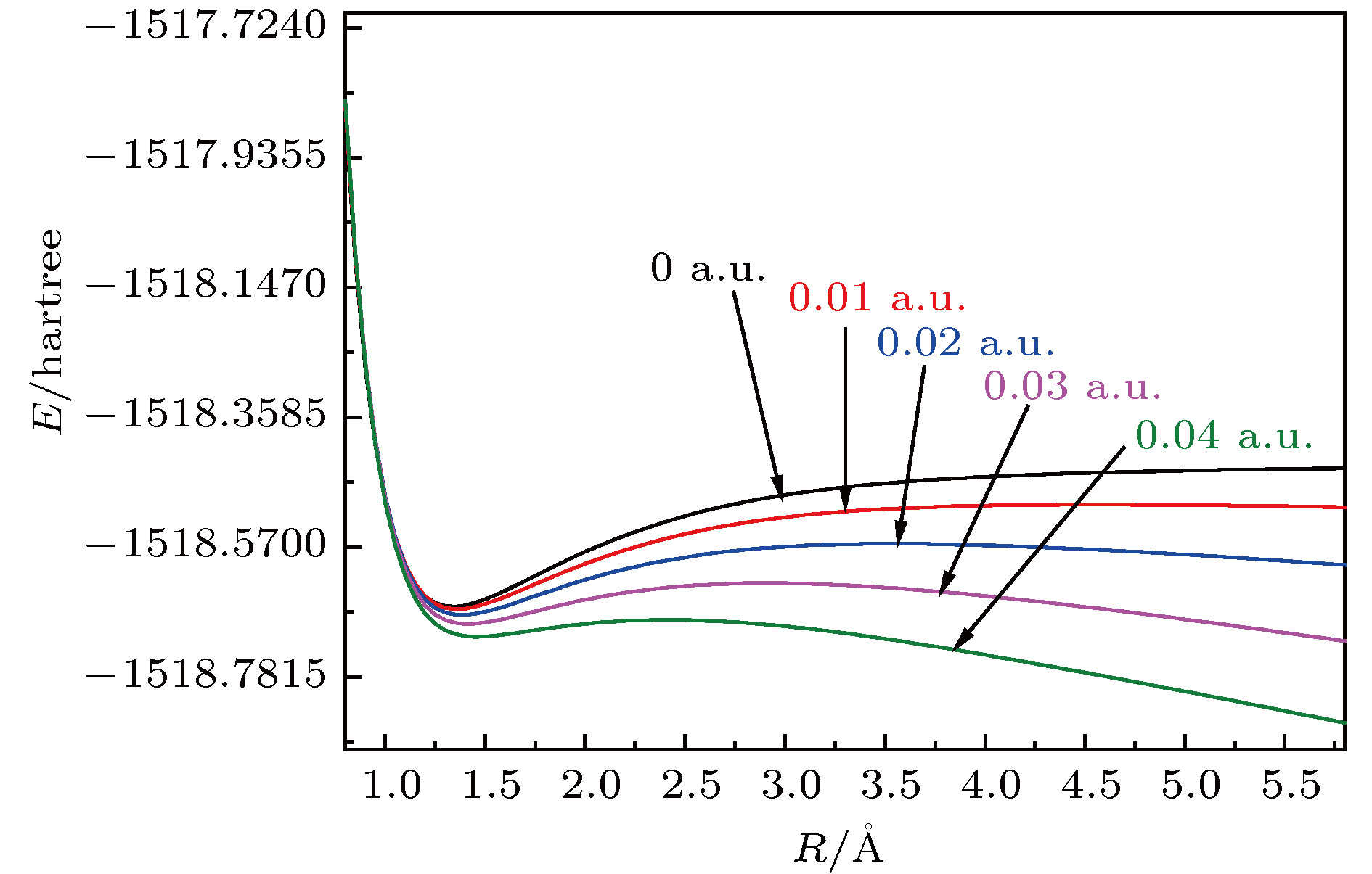
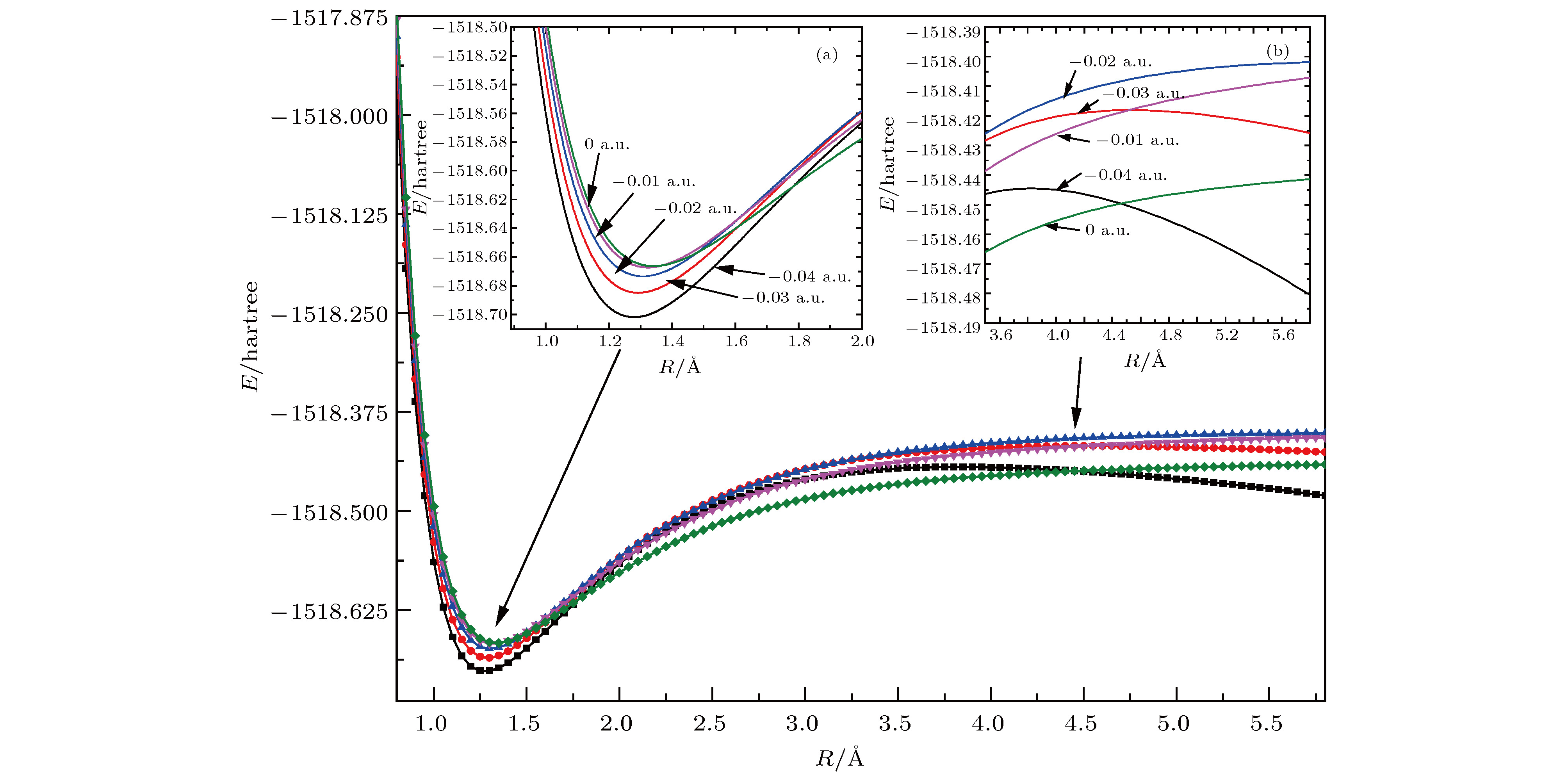
E
gfirst increases and then decreases with the variation of
E
Hand
E
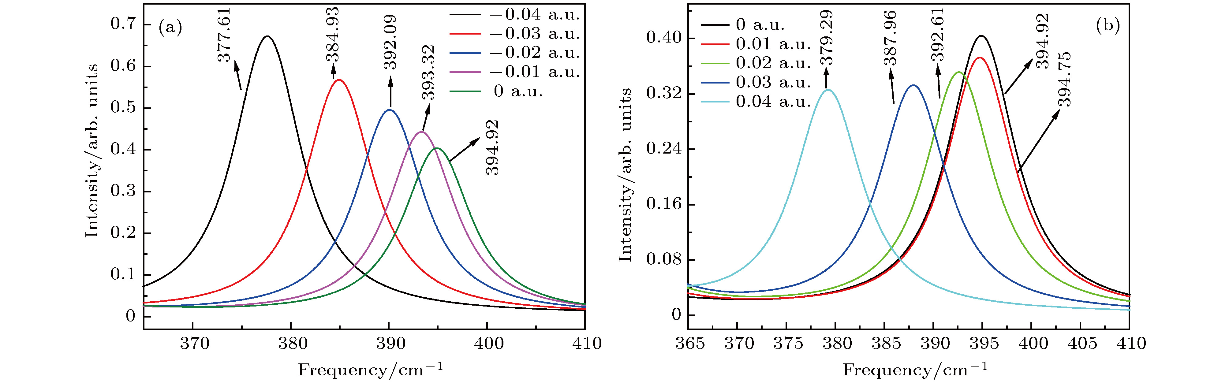
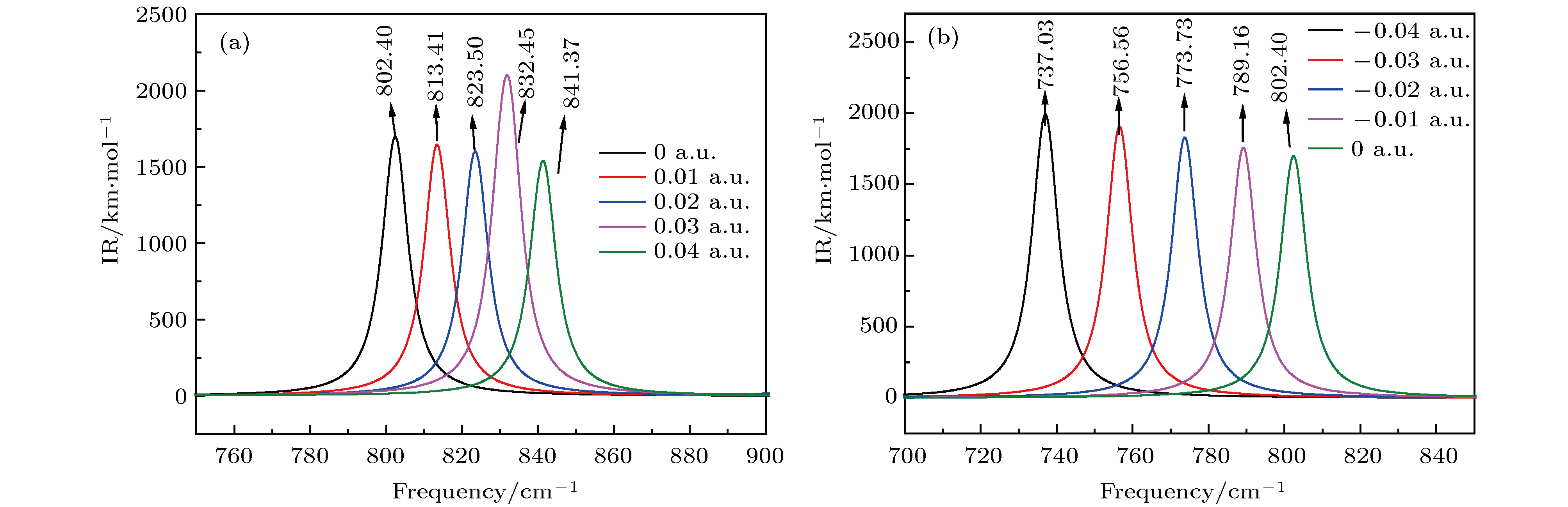
L. The dipole moment without electric field is a minimum value, and the external electric field leads the molecular polarity to increase and the molecular activity to strengthen. The electric field influences the absorption intensity of infrared and Raman spectrum. The infrared and Raman spectrum move toward the long wave under the action of positive electric field, while they move toward the short wave under the action of negative electric field. The red- or blue-shift of infrared and Raman spectrum occur with the change of electric field. The electric field can be adopted as an auxiliary means to separate the overlapping or quasi-overlapping spectral lines. The potential well depth decreases with the increase of the reverse electric field until it vanishes, which causes the bound state ability of C—F bond of CFC-11 molecule to gradually degrade. This paper is expected to provide a feasible and effective tunable means for the final dissociation and degradation of CFC-11 molecules.