-
相互作用可控、相干时间较长的中性单原子体系具备在1 mm 2的面积上提供成千上万个量子比特的规模化集成的优势, 是进行量子模拟、实现量子计算的有力候选者. 近几年中性单原子体系在实验上取得了快速的发展, 完成了包括50个单原子的确定性装载、二维和三维阵列中单个原子的寻址和操控、量子比特相干时间的延长、基于里德伯态的两比特量子门的实现和原子态的高效读出等, 这些工作极大地推动了该体系在量子模拟和量子计算方面的应用. 本文综述了该体系在量子计算方面的研究进展, 并介绍了我们在其中所做的两个贡献: 一是实现了“魔幻强度光阱”, 克服了光阱中原子退相干的首要因素, 将原子相干时间提高了百倍, 使得相干时间与比特操作时间的比值高达10 5; 二是利用异核原子共振频率的差异建立了低串扰的异核单原子体系, 并利用里德伯阻塞效应首次实现了异核两原子的量子受控非门和量子纠缠, 将量子计算的实验研究拓展至异核领域. 最后, 分析了中性单原子体系在量子模拟和量子计算方面进一步发展面临的挑战与瓶颈.As an important candidate for quantum simulation and quantum computation, a microscopic array of single atoms confined in optical dipole traps is advantageous in controlled interaction, long coherence time, and scalability of providing thousands of qubits in a small footprint of less than 1 mm 2. Recently, several breakthroughs have greatly advanced the applications of neutral atom system in quantum simulation and quantum computation, such as atom-by-atom assembling of defect-free arbitrary atomic arrays, single qubit addressing and manipulating in two-dimensional and three-dimensional arrays, extending coherence time of atomic qubits, controlled-NOT (C-NOT) gate based on Rydberg interactions, high fidelity readout, etc.In this paper, the experimental progress of quantum computation based on trapped single neutral atoms is reviewed, along with two contributions done by single atom group in Wuhan Institute of Physics and Mathematics of Chinese Academy of Sciences. First, a magic-intensity trapping technique is developed and used to mitigate the detrimental decoherence effects which are induced by light shift and substantially enhance the coherence time to 225 ms which is 100 times as large as our previous coherence time thus amplifying the ratio between coherence time and single qubit operation time to 10 5. Second, the difference in resonant frequency between the two atoms of different isotopes is used to avoid crosstalking between individually addressing and manipulating nearby atoms. Based on this heteronuclear single atom system, the heteronuclear C-NOT quantum gate and entanglement of an Rb-85 atom and an Rb-87 atom are demonstrated via Rydberg blockade for the first time. These results will trigger the quests for new protocols and schemes to use the double species for quantum computation with neutral atoms. In the end, the challenge and outlook for further developing the neutral atom system in quantum simulation and quantum computation are also reviewed.
[1] [2] [3] [4] [5] [6] [7] [8] [9] [10] [11] [12] [13] [14] [15] [16] [17] [18] [19] [20] [21] [22] [23] [24] [25] [26] [27] [28] [29] [30] [31] [32] [33] [34] [35] [36] [37] [38] [39] [40] [41] [42] [43] [44] [45] [46] [47] [48] [49] [50] [51] [52] [53] [54] [55] [56] [57] [58] [59] [60] [61] [62] [63] [64] [65] [66] [67] [68] [69] [70] [71] [72] [73] [74] [75] [76] [77] [78] [79] [80] [81] [82] [83] [84] [85] [86] [87] [88] [89] [90] [91] [92] -
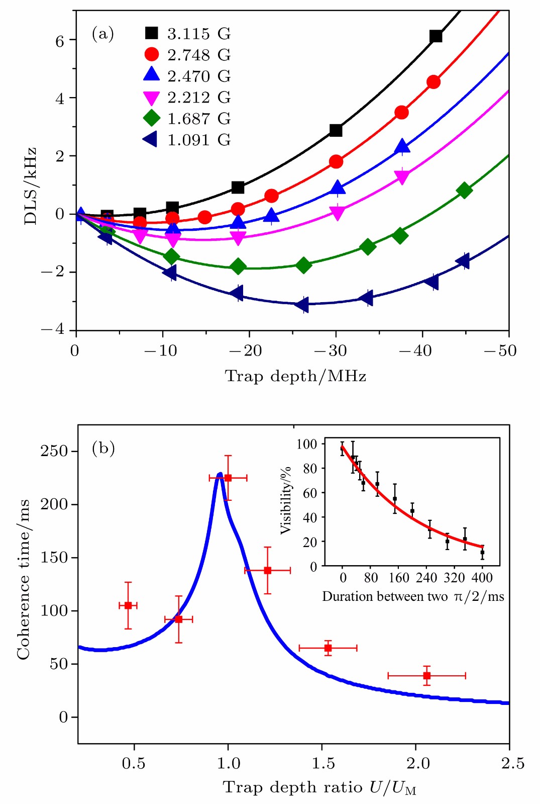
87Rb 退相干机制 参数 无转移时$T_2 $ 转移后$T_2 $ 均匀退相时间$T'_{2} $
(Homogeneous dephasing time)磁场起伏 $ \sigma_B=0.019 $% 300 ms 300 ms 偶极光功率起伏 $ \sigma_I=0.0015 $ 200 s 200 s 偶极光重合及指向抖动 $ \sigma_{\rm{point}}=0.06 $ — 30 s 微波频率起伏 $ \sigma_{\rm MW} < 1 $ mHz $ > 300 $ s $ > 300 $ s 原子加热 2 μK/s 34 s 34 s 非均匀退相时间$T^{*}_{2} $
(Inhomogeneous dephasing time)原子热运动 约8 μK 2 s — 转移引起的加热 $ < 10\;{\text{μ}}{\rm K} $ — $ > 1.2 $ s 自旋翻转时间$T_{1} $ 偶极光引起的自旋翻转 0.66 $ {\rm s}\cdot {\rm mK}$ 4 s 4 s 总的退相干时间T $ T=1/(1/T_{1}+1/T^{*}_{2}+1/T^{'}_{2}) $ — 约242 ms 约222 ms 实验值 约200 ms 约200 ms -
[1] [2] [3] [4] [5] [6] [7] [8] [9] [10] [11] [12] [13] [14] [15] [16] [17] [18] [19] [20] [21] [22] [23] [24] [25] [26] [27] [28] [29] [30] [31] [32] [33] [34] [35] [36] [37] [38] [39] [40] [41] [42] [43] [44] [45] [46] [47] [48] [49] [50] [51] [52] [53] [54] [55] [56] [57] [58] [59] [60] [61] [62] [63] [64] [65] [66] [67] [68] [69] [70] [71] [72] [73] [74] [75] [76] [77] [78] [79] [80] [81] [82] [83] [84] [85] [86] [87] [88] [89] [90] [91] [92]
计量
- 文章访问数:14930
- PDF下载量:660
- 被引次数:0












下载:







