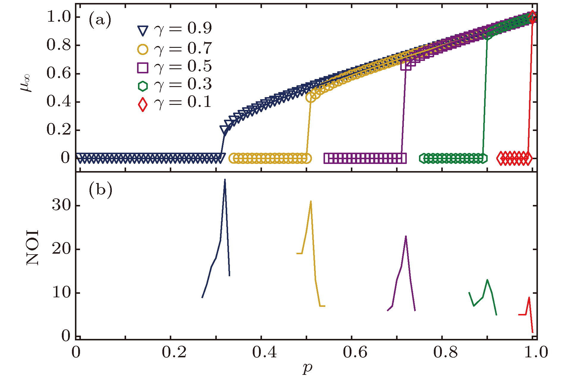
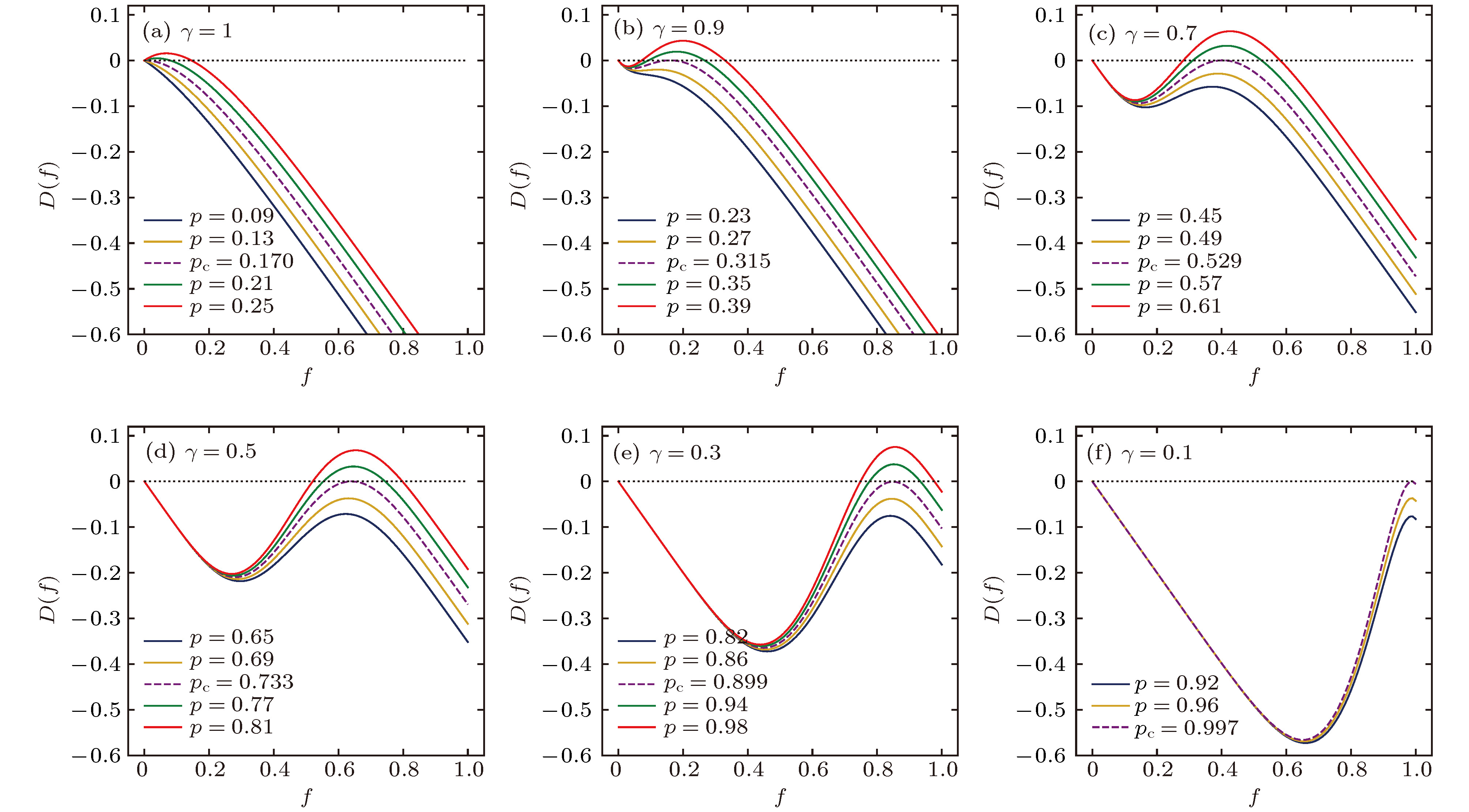
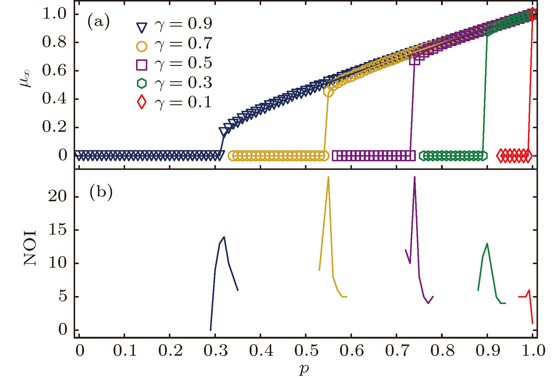
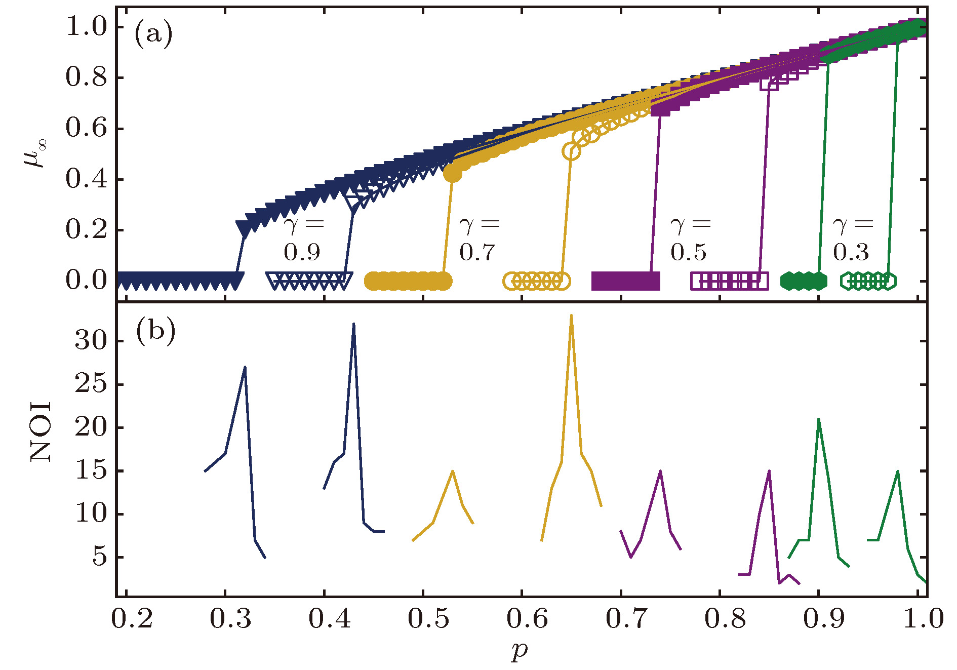
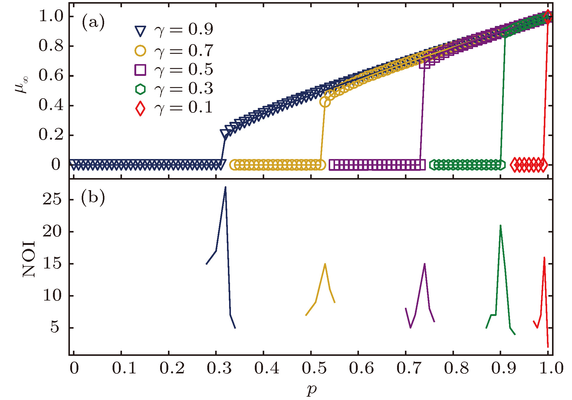
\begin{document}$\gamma $\end{document}时, 依赖节点仍可正常工作. 通过理论分析给出了基于生成函数方法的模型巨分量方程, 仿真结果表明方程理论解与相依网络模拟逾渗值相吻合, 增大\begin{document}$\gamma $\end{document}值和依赖群规模可提高相依网络鲁棒性. 本文模型有助于更好地理解现实网络逾渗现象, 对如何增强相依网络鲁棒性有一定指导作用."> - 必威体育下载

搜索

x

留言板

姓名
邮箱
手机号码
标题
留言内容
验证码

downloadPDF
引用本文:
Citation:

    韩伟涛, 伊鹏

    Percolation of interdependent networks with conditional dependency clusters

    Han Wei-tao, Yi Peng
    PDF
    HTML
    导出引用
    计量
    • 文章访问数:6566
    • PDF下载量:66
    • 被引次数:0
    出版历程
    • 收稿日期:2018-12-24
    • 修回日期:2019-01-31
    • 上网日期:2019-03-23
    • 刊出日期:2019-04-05

      返回文章
      返回