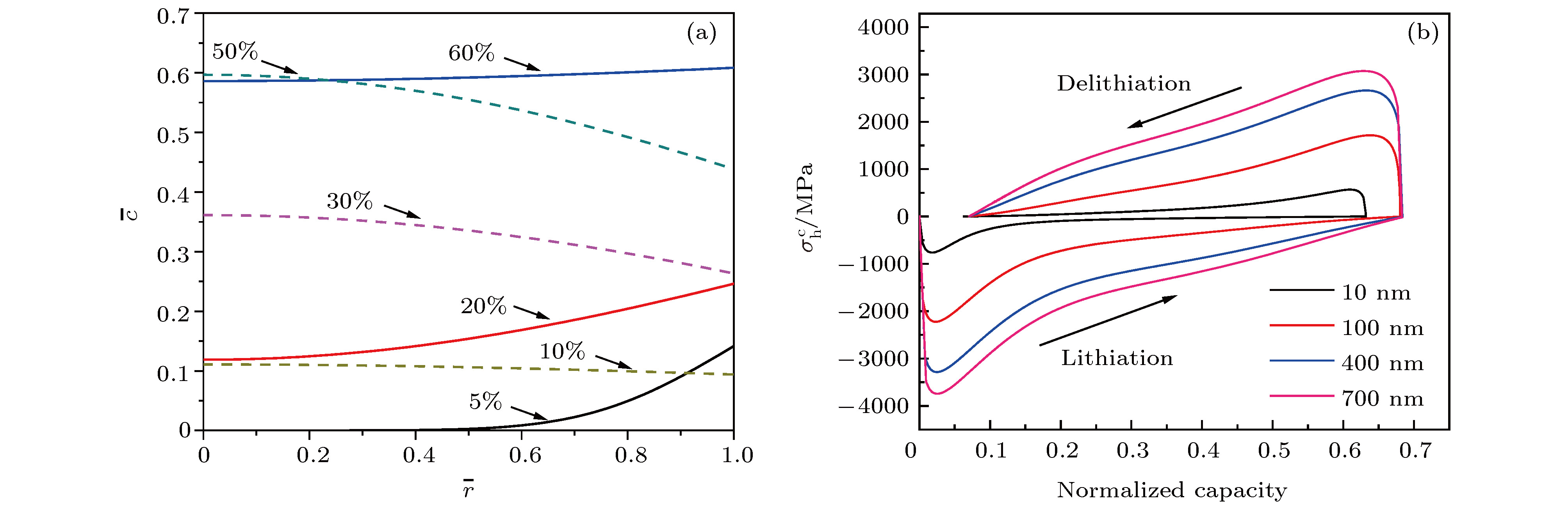
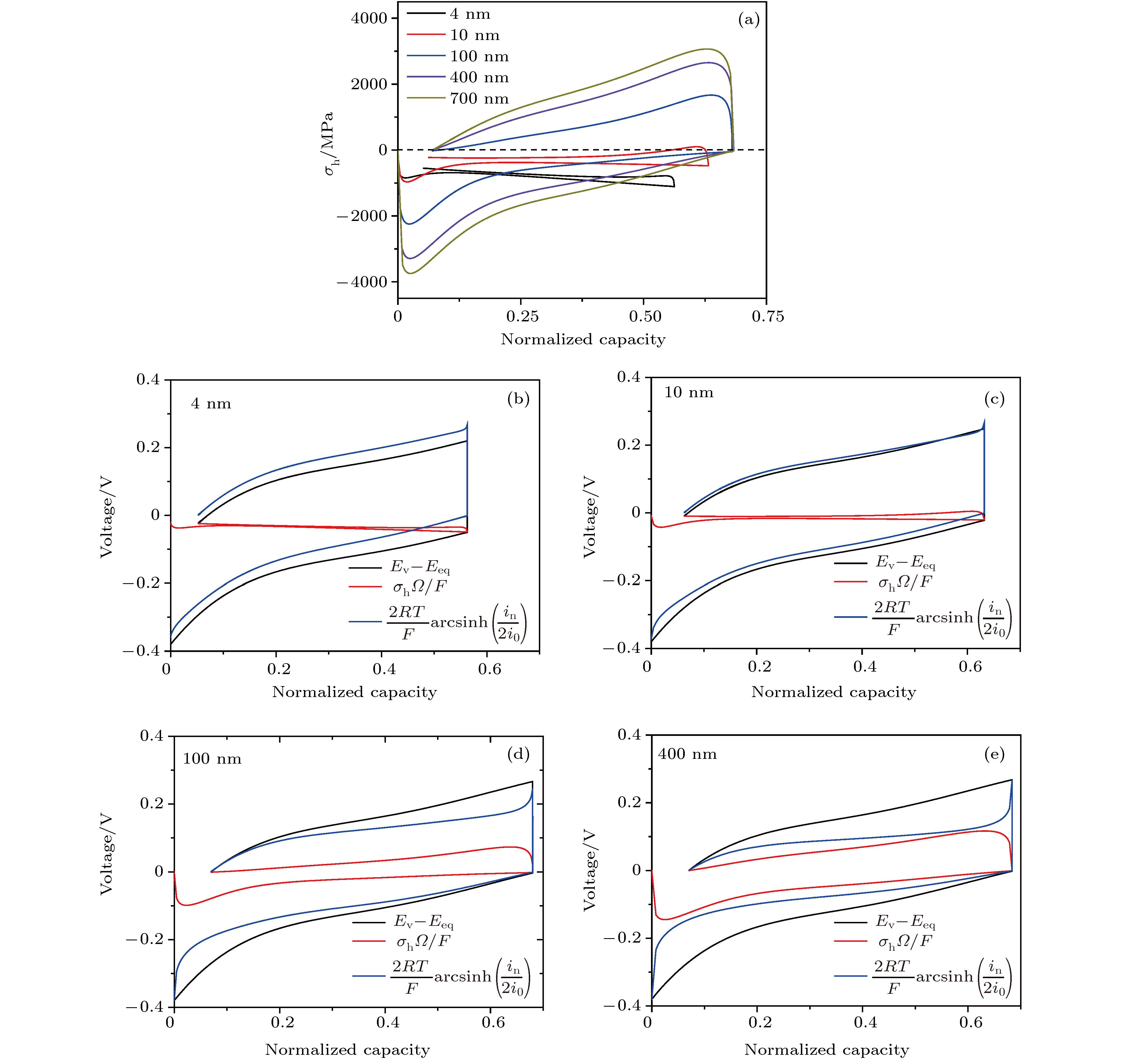
As one of high capacity electrode materials of lithium ion battery, silicon suffers significant stress effects, which further affects the voltage performance of battery. In this paper, a reaction-diffusion-stress coupled model is established, and the stress induced voltage hysteresis with consideration of diffusion induced stress, surface effects and interparticle compression under potentiostatic operation are investigated. It is found that stress and stress induced voltage hysteresis are dependent on particle size. For big particles, the diffusion induced stress is dominant and further aggravates the hysteresis of both stress and the overpotential consumed by it, indicating that more energy dissipates due to the stress effects. For small particles, especially ones with radius of a few nanometers, surface effects play a more prominent role than diffusion induced stress and the stress evolves into the state of compressive stress on the whole, leading the hysteresis of overpotential to be consumed by stress shrink and making the hysteresis plot of overpotential used to drive electrochemical reaction move downward. The electrode potential first reaches a cutoff voltage and finally the capacity of lithium ion battery decays. Therefore, too large or too small particle size in the electrode can both have a negative effect on the performance of lithium ion batteries, which indicates that an optimal size of the electrode particles must be designed in terms of electrode structure. Based on the calculation, particles with around 9 nm in radius are an appropriate option for electrode design in consideration of both diffusion induced stress and surface effect. In addition, for silicon electrodes, the silicon particles inevitably squeeze each other in a charge and discharge cycle. Therefore, interparticle compression is considered in this case. In detail, interparticle compression pushes the plot of stress hysteresis to the compressive state and leads to lower lithiation capacity, which makes the overpotential plot consumed by stress move downward and accordingly the overpotential plot used to drive the electrochemical reaction move upward. Denser electrode would strengthen this effect due to higher particle compression. It is indicated that for electrode design, the minimum of porosity ratio of electrodes should be adopted because higher interparticle compressive stress would reduce the battery capacity. Our results reveal that the voltage hysteresis of lithium ion batteries is related to the active particle size and the porosity ratio of the electrode, which is of great significance for guiding one in designing the lithium ion batteries.